Влияние температуры и срока хранения на качество семян трех видов рода Hypericum (Hypericaceae)
- Авторы: Левицкая Г.Е.1
- 
							Учреждения: 
							- Институт биофизики клетки РАН
 
- Выпуск: Том 60, № 2 (2024)
- Страницы: 59-74
- Раздел: СТАТЬИ
- URL: https://journal-vniispk.ru/0033-9946/article/view/277561
- DOI: https://doi.org/10.31857/S0033994624020049
- EDN: https://elibrary.ru/PYMNDB
- ID: 277561
Цитировать
Полный текст
Аннотация
Изучено влияние длительного хранения при разной температуре на семена трех видов рода Hypericum L. (Hypericaceae): H. perforatum L., H. maculatum Crantz. и H. hirsutum L. Качество семян оценивали по лабораторной всхожести и динамике прорастания — исходной, после кратковременной криоконсервации в течение 1 мес. при –196 °C (в жидком азоте) и далее 1 раз в 3 г. до 18 лет хранения при температуре 5, −20 и −196 °C. После 9 лет хранения семян и далее наблюдали развитие проростков. На примере H. hirsutum оценили влияние продолжительности предварительного пребывания семян в комнатных условиях на их старение при дальнейшем длительном хранении при указанных температурах. Кратковременная криоконсервация не ухудшила качество семян всех изученных видов. После 18 лет хранения посевные качества лучше всего сохранили семена всех 3 видов, хранившиеся при температуре –196, хуже всего — при температуре −20 °С. Всхожесть семян, находившихся при всех указанных температурах, изменилась незначительно; скорость прорастания снизилась в результате хранения при температуре −20 и 5 °С. В результате длительного хранения семян изученных видов при температуре −20 °С уменьшились размеры проростков; у H. hirsutum также значительно уменьшилось количество проростков, развивающихся после проклевывания корня. Увеличение продолжительности предварительного пребывания семян в комнатных условиях привело к ускорению старения семян, хранящихся как при 5, так и при −20 °С. Хранение при температуре −196 °С обеспечило сильное снижение скорости старения семян независимо от длительности их предварительного пребывания в теплых условиях. Семена после хранения при −196 °C были более чувствительны к условиям набухания и проращивания, чем семена, хранившиеся при 5 и −20 °С. Устойчивость к высыханию и старению у семян H. hirsutum ниже, чем у семян H. perforatum и H. maculatum. Разработаны рекомендации по длительному хранению и мониторингу качества семян исследованных видов рода Hypericum.
Полный текст
Сохранение генофонда лекарственных растений вызывает все больший интерес. Создание банков семян является наиболее эффективным методом сохранения генетических ресурсов растений ex situ. Долгосрочное хранение семян имеет большое значение для сохранения генетических ресурсов растений в таких банках. Банки семян стремятся оптимизировать условия хранения, чтобы как можно больше отсрочить старение семян. Поскольку большинство таких генетических банков имеют относительно короткую историю, эмпирических данных о долговечности семян при хранении ex situ мало. Экспериментальных данных по результатам длительного хранения семян при ультранизких температурах (в жидком азоте или его парах) пока совсем мало, и они неоднозначны [1, 2]. Для прогнозирования всхожести семян после определенных сроков хранения на основе исходной жизнеспособности, температуры, влажности, времени хранения и информации о видах были разработаны модели долговечности семян [3]. Однако сравнение результатов долгосрочных экспериментов с прогнозируемой всхожестью показало, что наблюдаемые значения были намного ниже, чем прогнозируемые [4, 5].
Для определения качества семян культурных растений используют показатели всхожести за определенный срок и энергии прорастания, определяемой как процент проросших семян за короткий срок. Для семян дикорастущих растений в банках семян установить сроки для определения всхожести и энергии прорастания невозможно по причине их высокой внутривидовой изменчивости [6, 7] и изменения динамики прорастания в результате длительного хранения.
Род Hypericum, включающий около 500 видов, является одним из самых политипных родов растений среди покрытосеменных [8]. Представители рода распространены практически на всех континентах, за исключением полюсов, пустынь и низкогорных тропических областей [9].
В России надземная часть (трава) зверобоя (H. perforatum, H. maculatum, H. hirsutum) издавна широко используется в народной медицине при ревматизме, туберкулезе, гастрите, заболеваниях печени, кровотечениях, различного рода воспалительных процессах, фурункулезе, стоматите [10, 11]. В Западной Европе H. perforatum — народное средство для лечения депрессии [12].
Зверобой включен в Британскую фармакопею лекарственных растений [13], Американскую фармакопею лекарственных растений [14], Европейскую фармакопею [15], Государственную фармакопею Российской Федерации [16]. В соответствии с последней лекарственным сырьем является собранная в фазу цветения и высушенная надземная часть (трава) дикорастущих и культивируемых многолетних представителей этого рода: H. perforatum и H. maculatum.
Многие представители рода Hypericum известны как продуценты фармакологически важных поликетидов, а именно нафтодиантронов и флороглюцинолов [12]. Экстракты H. perforatum и отдельные вещества из его состава (гиперицин, гиперфорин, аментофлавон и др.) проявляют антидепрессивную, нейропротекторную, ноотропную, анксиолитическую активность, обладают антибактериальным, цитотоксическим и противовоспалительным свойствами, оказывают анальгезирующее и гипогликемическое действие [17, 18]. Изучение компонентного состава, лекарственных свойств и механизмов терапевтического действия различных видов рода Hypericum, в том числе H. perforatum и H. hirsutum, активно продолжается [18—20].
Основными задачами нашей работы были:
- оценить влияние длительного хранения при различной температуре (–196, —20, 5 °С) на семена трех видов рода Hypericum (зверобой продырявленный — H. perforatum , зверобой пятнистый — H. maculatum Crantz., зверобой волосистый — H. hirsutum L.);
- разработать рекомендации по мониторингу качества семян этих видов при их длительном хранении.
МАТЕРИАЛ И МЕТОДЫ
Плод видов рода Hypericum — септицидная коробочка; семена мелкие, цилиндрические с коротким оттянутым носиком, с крупным прямым зародышем. Эндосперм редуцирован до 1—2 слоев клеток.
Семена трех видов рода Hypericum (H. perforatum, H. maculatum, H. hirsutum) были собраны в сентябре 2001 г. в природных ценопопуляциях на территории городского округа Пущино Московской обл. Ценопопуляции всех трех видов произрастают по правому борту долины р. Оки: H. perforatum и H. hirsutum — на остепненном лугу (ценопопуляции граничат друг с другом), H. maculatum — на сыром лугу в полукилометре от них. С момента сбора до помещения в условия длительного хранения семена находились 18 мес. в комнатных условиях при температуре 18—24 °С (2 мес. до 30 °С) и относительной влажности воздуха 25—60%. Искусственное подсушивание семян не применяли. Перед закладкой семян на длительное хранение были определены их размеры (среднее 30 шт.), масса (среднее трех взвешиваний 100 шт.), влажность (высушиванием при 105 °С, среднее трех проб).
Качество семян оценивали по их лабораторной всхожести и динамике прорастания. Динамика прорастания семян выборки (скорость прорастания и ее изменения за время прорастания) является более чувствительным параметром старения семян по сравнению с их всхожестью. Методика проращивания и определения качества семян была одинаковой для трех видов. Семена проращивали в чашках Петри на ватно-бумажных матрасиках. Увлажняли водопроводной водой с жесткостью около 8 мг/л. Чашки Петри размещали в комнатных условиях на подоконнике окна восточной экспозиции. Температуру проращивания отслеживали. Проросшими считали проклюнувшиеся семена с корнем не менее половины длины семени. Прорастание проверяли 3 раза в неделю до прорастания всех жизнеспособных семян.
Лабораторную всхожесть семян определяли на выборке по 50 шт. в одной чашке Петри в 4-кратной повторности. Для оценки скорости прорастания использовали параметр Т⁵⁰ — время, за которое прорастает 50% семян выборки; соответственно, чем больше Т⁵⁰, тем меньше скорость прорастания. Достоверность различий значений оценивали по критерию Стьюдента с уровнем достоверности 0.95.
Непосредственно перед помещением семян на длительное хранение исследовали влияние на них кратковременной, в течение 1 мес., криоконсервации в жидком азоте (ЖА). Определяли всхожесть и динамику прорастания семян. Значение всхожести в контроле к этому опыту является исходным для дальнейшего мониторинга.
Для хранения семена расфасовали порционно, чтобы избежать размораживания всего образца при отборе пробы. Упаковка — пластиковые пробирки с пробками. Пробирки с семенами помещали в емкость с ЖА с температурой –196 °С, в морозильник — −20 ± 2 °С, в холодильник — 5 ± 1 °С. Замораживание до –196 °С выполняли непосредственным погружением пробирок с семенами в ЖА.
Пробы для оценки качества семян отбирали 1 раз в 3 года до 18 лет хранения. При мониторинге учитывали сезонность прорастания. Пробы семян, хранившихся в ЖА, отбирали в парах азота. Оттаивали семена в комнатных условиях. После указанных сроков хранения определяли лабораторную всхожесть и динамику прорастания семян по той же, что и до хранения, методике. Обращали внимание на температуру, при которой набухают семена (1 сут. после увлажнения), так как в это время идет регидратация и репарация поврежденных клеточных структур, успешность которых, как известно [21], сильно зависит от температуры. Так как семена проращивали в комнатных условиях, освещенность и температура проращивания в разные годы могли различаться. Кроме того, после 6 лет хранения для ускорения прорастания после 6 часов набухания семян при 20 °С применили холодную стратификацию при температуре 3 ± 1 °С в течение 12 дней. Пробы семян трех видов зверобоя, хранившиеся в разных условиях определенный срок, проращивали одновременно в одинаковых условиях.
Начиная с 9 и до 18 лет хранения, после проклевывания наблюдали дальнейшее развитие проростков до ювенильной стадии онтогенеза. Проростки развивались в комнатных условиях в чашках Петри на ватно-бумажных матрасиках, увлажненных водопроводной водой. Определяли долю развивающихся после проклевывания корня проростков. Сравнивали по вариантам хранения семян размер проростков на стадии появления первой пары настоящих листьев.
Семена H. hirsutum повторно собрали в сентябре 2008 г. в той же, что и ранее, ценопопуляции. С момента сбора они 5 мес. находились в комнатных условиях (температура 20—22 °С, относительная влажность воздуха 25—60%), затем были помещены на длительное хранение при различных температурах (−196, −20 ± 2, 5 ± 1 °С). Часть семян этого образца оставили в комнатных условиях при температуре 20—24 °С (летом до 30 °С) и относительной влажности воздуха 25—60%. Исходное качество семян этого образца определили весной 2009 г. и далее 1 раз в 3 г. до 12 лет хранения по выше описанной методике одновременно с ранее собранными образцами семян видов рода Hypericum.
Все наблюдения проводил один специалист.
РЕЗУЛЬТАТЫ И ОБСУЖДЕНИЕ
Размеры и масса семян трех исследованных видов Hypericum существенно различаются между собой (табл. 1). Влажность образцов семян (табл. 1) примерно соответствует рекомендованной для длительного хранения в банках семян (5—7%) [22, 23].
Таблица 1. Характеристики семян трех видов рода Hypericum
Table 1. Seed characteristics of three Hypericum species
| Вид Species | № образца Sample № | Длительность пребывания в комнатных условиях* до эксперимента, мес. Duration of pre-experimental storage at room conditions*, months | Длина, мм Length, mm | Диаметр, мм Diametre, mm | Масса 100 шт., мг 100 seed weight, mg | Влажность, % Humidity, % | 
| H. perforatum L. | 1 | 18 | 1.1 | 0.5 | 11.8 | 6.0 | 
| H. maculatum Crantz. | 1 | 18 | 0.8 | 0.3 | 4.0 | 5.8 | 
| H. hirsutum L. | 1 | 18 | 1.0 | 0.4 | 7.0 | 6.5 | 
| 2 | 5 | 1.0 | 0.4 | 7.6 | 7.4 | 
Примечание. * — Температура 18—24 °С (летом краткосрочно до 30 °С) и относительная влажность воздуха 25—60%.
Note. * — Temperature 18—24 °С (in summer, up to 30 °С in some days) and relative air humidity 25—60%.
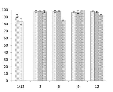
Всхожесть и показатель Т⁵⁰ (время, за которое прорастает 50% семян в выборке) семян H. perforatum после разных сроков хранения при различных температурах (−196, −20, 5 °С) представлены на рис. 1а и в табл. 2 соответственно. Динамика прорастания семян H. perforatum после 18 лет хранения при различных температурах представлена на рис. 2а. После кратковременной, в течение 1 мес., криоконсервации в ЖА, семена H. perforatum показали такую же всхожесть и скорость прорастания, как в контроле. После 3-х лет хранения при различных температурах набухание семян происходило при температуре 14 °С, и далее их проращивали в диапазоне температур от 14 до 20 °С. Всхожесть семян сохранилась на исходном уровне во всех трех вариантах. Скорость прорастания во всех вариантах существенно снизилась, что было явно связано с низкой температурой набухания и проращивания, так как семена не прорастали, пока температура не поднялась до 18 °С.
Рис. 1. Лабораторная всхожесть* семян трех видов рода Hypericum в зависимости от температуры и срока хранения, %.
a — H. perforatum, b — H. maculatum, c — H. hirsutum.
По горизонтали — срок хранения, г.; по вертикали — всхожесть, %.
Температура хранения:
▄ исходное значение
▄ −196 °C (жидкий азот)
▄ –20 °C
▄ 5 °C
* — среднее арифметическое значение выборки 4×50 шт. ± стандартная ошибка среднего.
Fig. 1. Seed laboratory germination (%)* of three Hypericum species depending on the storage temperature and time.
a — H. perforatum, b — H. maculatum, c — H. hirsutum.
X-axis — storage time, years; y-axis — laboratory germination (%).
Storage temperature:
▄ initial value
▄ –196 °C (liquid nitrogen)
▄ –20 °C
▄ 5 °C
*– arithmetic mean for 4×50 seeds ± standard error of mean.
Таблица 2. Время, за которое прорастает 50% выборки семян (Т⁵⁰) Hypericum perforatum после разных сроков хранения при различной температуре, дни
Table 2. Time to 50% germination (Т50) of Hypericum perforatum seed samples after storage for different time at different temperatures, days
| Срок хранения, г. Storage time, years | Температура набухания, °С Swelling temperature, °С | Температура проращивания, °С Germination temperature, °С | Исходное значение Initial value | Температура хранения, °С Storage temperature, °С | ||
| −196* | −20 | 5 | ||||
| — | 20 | 19—21 | 7.25 ± 0.25 | — | ||
| 1/12 | 20 | 19—21 | — | 6.75 ± 0.48 | — | |
| 3 | 14 | 14—21 | 12.50 ± 0.65 | 11.25 ± 0.25 | 13.00 ± 0.58 | |
| 6 | 22 | 22—26** | 5.00 ± 0 | 8.75 ± 0.25 | 7.00 ± 0.41 | |
| 9 | 22 | 20—26 | 8.25 ± 0.63 | 11.00 ± 0.41 | 8.50 ± 0.25 | |
| 12 | 24 | 21—24 | 7.25 ± 0.67 | 15.00 ± 0.91 | 10.75 ± 0.25 | |
| 15 | 22 | 22—26 | 6.75 ± 0.48 | 16.50 ± 0.50 | 11.25 ± 0.25 | |
| 18 | 23 | 20—26 | 7.25 ± 0.25 | 21.50 ± 0.87 | 16.25 ± 1.03 | |
Примечание. * — в жидком азоте; ** — после стратификации при температуре 2—4 °С 12 дней.
Note. * — in liquid nitrogen; ** — after stratification at 2—4 °С for 12 days.
Рис. 2. Динамика прорастания семян трех видов рода Hypericum после 18 лет хранения при различной температуре.
По горизонтали — время проращивания, дни; по вертикали — всхожесть, %.
Температура хранения: 1 — -196 °C (в жидком азоте), 2 — -20 °C, 3—5 °C.
Fig. 2. Seed germination dynamics of three Hypericum species after 18 years of storage at different temperatures.
X-axis — germination time, days; y-axis — germination, %.
Storage temperature: 1 — -196 °C (in liquid nitrogen), 2 — -20 °C, 3—5 °C.
После 6 лет хранения для ускорения прорастания семян H. perforatum мы применили холодную стратификацию. На скорость прорастания семян, хранившихся при −20 и 5 °С стратификация не повлияла, у семян, хранившихся в ЖА, скорость прорастания была выше исходной. Всхожесть семян не различалась по вариантам хранения и была на исходном уровне. Далее — после 9, 12, 15 и 18 лет хранения, температура набухания семян (в течение 1 суток после увлажнения) и диапазон температур проращивания в разные годы мало различались. После хранения в ЖА в указанные сроки семена сохранили всхожесть и скорость прорастания на исходном уровне. Всхожесть семян, хранившиеся при −20 °С в течение 15 лет была ниже, чем хранившихся в ЖА и при 5 °С. Скорость прорастания снизилась после 9 лет хранения и снижалась далее. После 18 лет хранения значение показателя Т⁵⁰ было в 3 раза больше исходного. Семена, хранившиеся 18 лет при 5 °С, сохранили всхожесть на исходном уровне. После 6-летнего хранения скорость прорастания сохранялась на уровне исходной. Далее она постепенно снижалась. После 18 лет хранения значение показателя Т⁵⁰ было в 2.3 раза выше исходного значения, то есть скорость прорастания семян сильно снизилась.
Более 90% проростков всех трех температурных вариантов после 9 лет хранения семян развивались нормально. В дальнейшем после хранения 12, 15, 18 лет проростки из семян, хранившихся при −20 °С, были мельче проростков из семян, хранившихся при температуре −196 и 5 °С (рис. 3а). Оценивая комплексно всхожесть, динамику прорастания и развитие проростков, можно утверждать, что за 18 лет хранения лучше всего посевные качества сохранили семена H. perforatum, хранившиеся при температуре −196 °С, хуже всего — при −20 °С.
Рис. 3. Развитие проростков трех видов Hypericum после 18 лет хранения семян при различной температуре.
a — H. perforatum, b — H. maculatum, c — H. hirsutum.
Температура хранения: 1 — -196 °C (в жидком азоте), 2 — -20 °C, 3—5 °C.
Fig. 3. Seedlings development of three Hypericum species after 18 years of seed storage at different temperatures.
a — H. perforatum, b — H. maculatum, c — H. hirsutum.
Storage temperature: 1 — -196 °C (in liquid nitrogen), 2 — -20 °C, 3—5 °C.
Всхожесть и величина показателя Т⁵⁰ после разных сроков хранения семян H. maculatum при различных температурах представлены на рис. 1в и в табл. 3 соответственно. Динамика прорастания семян H. maculatum после 18 лет хранения представлена на рис. 2в. Кратковременная криоконсервация в ЖА не повлияла на всхожесть и немного увеличила скорость прорастания семян H. maculatum. Увеличение скорости прорастания может быть связано с растрескиванием семенной кожуры при оттаивании. После 3 лет хранения при всех испытуемых температурах семена практически не прорастали, пока температура проращивания не поднялась с 14 до 18 °С. По-видимому, оптимальная температура набухания и прорастания семян этого образца около 22 °С (табл. 3). Увеличение температуры набухания семян с 20 до 22 °С вело к ускорению прорастания, но повышение с 22 до 24 °С вело к снижению скорости прорастания. После 6 лет хранения при близких температурах проращивания семян, значения скорости прорастания по всем трем вариантам (5, −20 и −196 °С) достоверно не различались, после 9 лет хранения — скорость прорастания семян в вариантах −20 и 5 °С была ниже, чем в варианте −196 °С. Холодная стратификация после 6 лет хранения семян практически не повлияла на скорость прорастания.
Таблица 3. Время, за которое прорастает 50% выборки семян (Т⁵⁰) Hypericum maculatum после разных сроков хранения при различной температуре, дни
Table 3. Time to 50% germination (Т50) of Hypericum maculatum seed samples after storage for different time at different temperatures, days
| Срок хранения, г. Storage time, years | Температура набухания, °С Swelling temperature, °С | Температура проращивания, °С Germination temperature, °С | Исходное значение Initial value | Температура хранения, °С Storage temperature, °С | ||
| −196* | −20 | 5 | ||||
| — | 20 | 19—21 | 8.25 ± 0.48 | — | ||
| 1/12 | 20 | 19—21 | — | 7.00 ± 0 | — | |
| 3 | 14 | 14—21 | 17.50 ± 0.65 | 17.25 ± 0.63 | 17.50 ± 0.29 | |
| 6 | 22 | 22—26** | 5.00 ± 0 | 5.50 ± 0.29 | 6.50 ± 0.29 | |
| 9 | 22 | 20—26 | 5.50 ± 0.29 | 7.50 ± 0.29 | 7.00 ± 0 | |
| 12 | 24 | 21—24 | 7.75 ± 0.48 | 11.25 ± 0.63 | 10.00 ± 0 | |
| 15 | 22 | 22—26 | 4.50 ± 0.29 | 9.25 ± 0.25 | 7.00 ± 0.41 | |
| 18 | 23 | 20—26 | 5.75 ± 0.48 | 9.75 ± 0.85 | 12.25 ± 0.48 | |
Примечание. * — в жидком азоте; ** — после стратификации при температуре 2—4 °С в течение 12 дней.
Note. * — in liquid nitrogen; ** — after stratification at 2—4 °С for 12 days.
После 18 лет хранения семян в ЖА скорость прорастания не снизилась, а после того же срока хранения при −20 и 5 °С она снизилась существенно — значение Т⁵⁰ по сравнению с 6 годами хранения выросло в 1.5 и 2 раза соответственно. Всхожесть семян H. maculatum, хранившихся в ЖА и при −20 °С, по данным 18-летнего мониторинга была на уровне исходного значения и выше, тогда как при 5 °С такая же картина была после 15 лет хранения, но после 18 лет всхожесть была на 14% ниже по сравнению со значением предыдущего (15 лет хранения) теста. Проростки семян, находившихся в ЖА и при 5 °С 18 лет, нормально развивались, а при −20 °С после 9 и более лет хранения семян, они были заметно мельче, чем в двух других температурных вариантах эксперимента (рис. 3в).
Таким образом, у H. maculatum за 18 лет хранения лучше всего сохранили посевные качества семена, хранившиеся в ЖА. У семян, хранившиеся при 5 °С были ниже скорость прорастания и всхожесть, у хранившихся при −20 °С снизилась скорость прорастания, при сохранении всхожести, но проростки были мельче, чем на других вариантах. Учитывая маленькие размеры семян (табл. 1), именно этот параметр — размер проростков может стать «слабым звеном» при грунтовом посеве.
Всхожесть и показатель Т⁵⁰ после разных сроков хранения семян H. hirsutum при различных температурах представлены на рис. 1с и в табл. 4 соответственно. Динамика прорастания семян после 18 лет хранения при различных температурах представлена на рис. 2с. Кратковременная криоконсервация снизила всхожесть семян H. hirsutum на 10%, при этом скорость прорастания снизилась сильнее — значение показателя Т⁵⁰ увеличилось в 1.6 раза. При проращивании семян после 3 лет хранения до того, как температура поднялась до 18 °С, семена не прорастали. Соответственно значение показателя Т⁵⁰ для семян, хранившихся при −20 и 5 °С было вдвое больше исходного; для семян, хранившихся в ЖА — в 1.5 больше, чем после кратковременной криоконсервации и почти в 3 раза больше исходного значения. Всхожесть семян, находившихся при 5 и −20 °С, осталась на исходном уровне, а после хранения в ЖА, снизилась на 18%.
Таблица 4. Время, за которое проросло 50% выборки семян (Т⁵⁰) Hypericum hirsutum (1-й образец) после разных сроков хранения семян при различной температуре, дни.
Table 4. Time to 50% germination (Т50) of Hypericum hirsutum seeds (sample 1) after storage for different time at different temperatures, days.
| Срок хранения, г. Storage time, years | Температура набухания, °С Swelling temperature, °С | Температура проращивания, °С Germination temperature, °С | Исходное значение Initial value | Температура хранения, °С Storage temperature, °С | ||
| −196* | −20 | 5 | ||||
| — | 20 | 19—21 | 7.25 ± 0.25 | — | ||
| 1/12 | 20 | 19—21 | — | 12.50 ± 1.44 | — | |
| 3 | 14 | 14—21 | 19.75 ± 0.25 | 15.25 ± 0.75 | 17.75 ± 0.63 | |
| 6 | 22 | 22—26** | *** | 19.25 ± 1.31 | 9.25 ± 0.25 | |
| 9 | 22 | 20—26 | 17.25 ± 0.25 | 17.00 ± 0 | 12.00 ± 0.71 | |
| 12 | 24 | 21—24 | 12.00 ± 0.41 | 39.50 ± 2.53 | 15.25 ± 0.63 | |
| 15 | 22 | 22—26 | 12.00 ± 1.53 | 40.75 ± 3.82 | 22.25 ± 3.09 | |
| 18 | 23 | 20—26 | 11.25 ± 1.03 | 46.00 ± 3.11 | 16.25 ± 0.85 | |
Примечание. * — в жидком азоте; ** — после стратификации при температуре 2—4 °С в течение 12 дней; *** — Т50 невозможно определить, так как всхожесть < 50%.
Note. * — in liquid nitrogen; ** — after stratification at 2—4 °С for 12 days; *** — Т50 cannot be determined, since the germination is < 50%.
Холодная стратификация семян, хранившихся 6 лет при 5 °С, не увеличила скорость прорастания семян по сравнению с исходной и их всхожесть осталась на прежнем уровне. Ранее для этого вида отмечали совсем небольшое повышение всхожести и уменьшение срока прорастания после холодной стратификации в течение 15 дней при температуре 2—4 °С [24]. Скорость прорастания семян, хранившихся при −20 °С, после холодной стратификации снизилась в 2.5 раза по сравнению с исходной, всхожесть снизилась на 11%. Скорость прорастания семян, хранившихся в ЖА, после холодной стратификации оценить по показателю Т⁵⁰ было невозможно, поскольку их всхожесть была около 40%. Скорее всего, время набухания семян при 20 °С (6 ч. до начала холодной стратификации) было недостаточно для репарации повреждений клеточных структур в результате хранения при отрицательной и, особенно, ультранизкой температуре.
Специальными исследованиями показано, что повреждение семян при хранении обусловлено накоплением активных форм кислорода, способных реагировать практически со всеми биологическими молекулами, включая липиды, ДНК и белки. Переход от состояния покоя к прорастанию связан с быстрым поглощением воды, гидратацией макромолекул, репарацией мембран, белков и нуклеиновых кислот. Это сопровождается усиленным образованием Н2О2. Перепроизводство активных форм кислорода (представляющих собой в значительной степени свободные радикалы) приводит к усилению перекисного окисления липидов, что может привести к разрушению клеточных мембран [25]. Экспериментально выявлено, что длительное набухание семян Arabidopsis thaliana при низкой температуре приводит к дополнительному повреждению ДНК из-за повышенного окислительного стресса в этих условиях [26].
После 9 лет хранения семена H. hirsutum при всех температурных вариантах хранения показали всхожесть на уровне исходной, но скорость прорастания семян, хранившихся при −20 и −196 °С была в 1.4 раза ниже, чем семян, хранившихся при 5 °С. Наблюдая дальнейшее развитие проростков, мы обнаружили, что из семян, хранившихся в ЖА, после проклевывания корня развивается только 9% проростков, из семян хранившихся при −20 °С — 4% проростков, из семян хранившихся при 5 °С — 33% от общего количества, составляющего 200 шт. Так как в данном случае мы увлажняли семена через 1—2 часа после отбора с хранения, а относительная влажность воздуха в лаборатории была низкой (30%), мы предположили, что низкая скорость прорастания и малое количество нормально развивающихся проростков связаны с повреждением мембран в клетках меристем зародышевого корня и эпикотиля из-за большого градиента влажности, возникающего, как известно [21], при увлажнении сухих семян водой.
Ранее наш опыт по «мягкому» увлажнению семян на воздухе с высокой влажностью показал, что, если экспонировать семена после их извлечения из ЖА и морозильной камеры в более влажном воздухе и дольше, скорость прорастания (проклевывания) семян, хранившихся при отрицательных температурах, значительно возрастает; количество нормально развивающихся проростков из семян, хранившихся в ЖА кратно увеличивается [27]. Однако на развитие проростков из семян, хранившихся при −20 °С, такое экспонирование существенного влияния не оказало (рис. 4). Поскольку «мягкое» увлажнение в парах воды семян H. hirsutum после хранения при −20 °С не привело к улучшению развития проростков, следует предположить, что, нарушения в клеточных структурах меристемы эпикотиля произошли во время сухого хранения. Это объясняется сохранением и усилением перекисного окисления липидов до температуры около −25 °С [28]. Что касается семян, хранившихся в ЖА, их повреждения связаны с неблагоприятными условиями регидратации и репарации (высокий градиент влажности, невысокая температура). Соответственно, при дальнейшем мониторинге качества семян (после 12 и более лет хранения) мы увлажняли их водой не ранее, чем через 1 сутки после отбора проб с хранения. В течение этого времени пробы семян находились в комнатных условиях при температуре около 22 °С и относительной влажности воздуха 30—40%.
Рис. 4. Развитие проростков Hypericum hirsutum (1-й образец) после 9 лет хранения семян при различной температуре и разных условиях регидратации после хранения.
Температура хранения: 1 — -196 °C (в жидком азоте), 2 — -20 °C, 3 — 5 °C.
Условия регидратации после хранения: а — увлажнение водой при температуре 24 °C через 1 час после отбора с хранения; в — на воздухе с относительной влажностью 65% и температурой 24 °C в течение трех суток.
Fig. 4. Seedlings development of Hypericum hirsutum (sample 1) after 9 years of seed storage at different temperatures followed by different rehydration methods.
Storage temperature: 1 — -196 °C (in liquid nitrogen), 2 — -20 °C, 3 — 5 °C.
Post-storage rehydration methods: a — humidification with water at 24 °C one hour after removal from storage; b — in air at 24 °C and relative humidity of 65% for 3 days.
Определение качества семян H. hirsutum после 12 и 15 лет хранения показало, что всхожесть семян, хранившихся при 5 °С, снизилась на 15 и 17% соответственно, но после 18 лет она была на уровне исходного значения; скорость прорастания была ниже, чем после 6 и 9 лет хранения; проростки после проклевывания корня нормально развивались. Всхожесть семян, хранившихся при −20 °С, снизилась на 19—22%, скорость прорастания снизилась максимально по сравнению с другими вариантами хранения — в среднем в 6 раз по сравнению с исходной. Проростки после 12 и 15 лет хранения семян при −20 °С были мельче, чем в других температурных вариантах опыта, а после 18 лет хранения — не развивались после проклевывания корня (рис. 3с).
Семена, находившиеся при –196 °С 18 лет, сохранили всхожесть, их скорость прорастания была такой же, как после кратковременной криоконсервации. Проростки из этих семян после 12 и 15 лет хранения нормально развивались, по размеру были равными проросткам из семян, хранившихся при 5 °С, но после 18 лет хранения развивалось только около 1/3 проростков, и они были мельче, чем в варианте хранения семян при 5 °С. Такое резкое уменьшение количества развивающихся проростков и их маленькие размеры скорее связаны не с большим на 3 года сроком хранения семян, а с каким-то неучтенным фактором, повлиявшим на семена сразу после их извлечения из ЖА. Вероятно, таким фактором могла быть конденсация воды в холодной не плотно закрытой пробирке с семенами сразу после извлечения, так как регидратация биомембран в жидкой среде при низкой температуре ведет к их нарушениям [21].
По результатам 18-летнего хранения семян H. hirsutum было выявлено, что температура –20 °С неприемлема для длительного хранения семян этого вида. При температуре 5 °С семена хранятся довольно хорошо, так как скорость прорастания снижается медленно. При хранении семян H. hirsutum в ЖА всхожесть и скорость прорастания сохранились на исходном уровне. Однако нахождение семян этого вида при ультранизкой температуре сильно повышает их чувствительность к условиям регидратации, набухания и проращивания.
Второй образец семян H. hirsutum до закладки на длительное хранение находился в комнатных условиях 5 мес. Кратковременная криоконсервация семян немного снизила их всхожесть (на 8%) и скорость прорастания (рис. 5, табл. 5). Необходимо отметить, что набухание семян происходило при температуре 18 °С, проращивание в диапазоне температур 18—21 °С, что ниже температур оптимальных для набухания и проращивания семян этого вида. После 3 лет хранения семян при различных температурах (–196, —20 и 5 °С) всхожесть и скорость прорастания семян были даже выше исходного значения, что, вероятно, связано с более высокой температурой проращивания (табл. 5). Особенно сильное повышение скорости прорастания (в 2 раза) было у семян, хранившихся при 5 °С, что может быть связано с выходом из состояния неглубокого физиологического покоя, характерного для семян этого вида [29]. Дальнейший мониторинг качества семян до 12 лет хранения показал неизменность всхожести семян при всех используемых в опыте температурах хранения (рис. 5). Скорость прорастания у семян, находившихся при −196 и −20 °С, сохранилась на том уровне, который наблюдался после трёх лет хранения, а у семян, хранившихся при 5 °С, скорость прорастания снизилась почти вдвое (табл. 5). После 9 и 12 лет хранения проростки семян всех температурных вариантов хранения нормально развивались и не различались по размерам.
Рис. 5. Лабораторная всхожесть* семян Hypericum hirsutum (2-й образец) в зависимости от температуры и срока хранения,%.
По горизонтали — срок хранения, г.; по вертикали — всхожесть, %.
Температура хранения:
исходное значение,
−196 °C (жидкий азот),
−20 °C,
5 °C.
* — определена на выборке 4×50 шт. ± стандартная ошибка среднего.
Fig. 5. Laboratory germination (%)* of Hypericum hirsutum seeds (sample 2) depending on the storage temperature and time.
X-axis — storage time, years; y-axis — laboratory germination, %.
Storage temperature:
initial value,
−196 °C (liquid nitrogen),
−20 °C,
5 °C.
* — arithmetic mean for 4×50 seeds ± standard error of mean.
Таблица 5. Время, за которое проросло 50% выборки семян (Т⁵⁰) Hypericum hirsutum (2-й образец) после разных сроков хранения семян при различной температуре, дни
Table 5. Time to 50% germination (Т50) of Hypericum hirsutum seeds (sample 2) after storage for different time at different temperatures, days
| Срок хранения, г. Storage time, years | Температура набухания, °С Swelling temperature, °С | Температура проращивания, °С Germination temperature, °С | Исходное значение Initial value | Температура хранения, °С Storage temperature, °С | |||
| −196* | −20 | 5 | Комнатные условия** Room conditions** | ||||
| — | 18 | 18—21 | 10.25 ± 0.25 | — | |||
| 1/12 | 18 | 18—21 | — | 12.00 ± 0.71 | — | ||
| 3 | 20 | 20—26 | 8.00 ± 0 | 7.75 ± 0.48 | 5.25 ± 0.25 | 10.75 ± 0.25 | |
| 6 | 24 | 21—24 | 8.75 ± 0.25 | 9.75 ± 0.25 | 11.75 ± 0.63 | 15.75 ± 0.63 | |
| 9 | 22 | 22—26 | 8.25 ± 0.25 | 7.50 ± 0.29 | 8.00 ± 0.41 | *** | |
| 12 | 23 | 20—24 | 8.00 ± 0.41 | 8.00 ± 0.58 | 11.00 ± 0.71 | *** | |
Примечание. * — в жидком азоте; ** — 20—24 °С (летом 2 мес. до 28 °С); *** — Т⁵⁰ невозможно определить, так как всхожесть < 50%.
Note. * — in liquid nitrogen; ** — 20—24 °С (in summer, two months up to 28 °С); *** — T⁵⁰ cannot be determined, since the germination is < 50%.
В комнатных условиях всхожесть семян этого образца сохранялась на исходном уровне в течение 6-ти лет хранения (~97%), после 9 лет хранения она сильно снизилась (10%), после 12 лет — была полностью утрачена. Скорость прорастания семян уже после 3 лет хранения была значительно ниже, чем у семян, хранившихся при низких температурах.
Наши эксперименты показали, что мониторинг качества длительно хранящихся семян только по показателю их лабораторной всхожести, определяемой по проклевыванию корня, может давать необъективную информацию о качестве семян. Семена всех трех видов рода Hypericum после больших сроков хранения при –20 °С сохраняют способность к прорастанию, но у H. hirsutum снижается количество проростков, нормально развивающихся после проклёвывания корня, а у H. perforatum и H. maculatum проростки были мельче, чем проростки из семян, хранившихся при –196 и 5 °С. Это говорит о том, что меристема эпикотиля при –20 °С стареет быстрее меристемы зародышевого корня. M. Wawrzyniak [30], изучавший влияние хранения на семена лесных плодовых деревьев, пришел к выводу, что показатель грунтовой всхожести (появление всходов) более чувствителен к влиянию условий хранения и, следовательно, лучше отражает качество семян по сравнению с тестом на лабораторную всхожесть. Это подтверждает наш вывод о меньшей устойчивости к длительному хранению меристемы эпикотиля; следовательно, для оценки качества семян в банках необходим контроль развития проростков после проклевывания корня.
Для определения качества длительно хранящихся семян необходимо помимо значения всхожести отслеживать динамику прорастания; как минимум, оценивать скорость прорастания по показателю Т⁵⁰ — времени, за которое прорастает 50% семян. Для семян с низкой всхожестью можно назначить какой-либо промежуточный репер, например Т25 — время, за которое проросло 25% семян.
При сравнении результатов длительного хранения двух образцов семян из одной ценопопуляции H. hirsutum, хранившихся после сбора в комнатных условиях в течение разного срока (18 и 5 мес.), выявлено, что продолжительность такого предварительного хранения существенно влияет на скорость старения семян, хранящихся как при 5 °С, так и при −20 °С. Влияние на долговечность качества семян условий окружающей среды после их созревания до помещения в контролируемые условия хранения отмечалось ранее для культурных и дикорастущих видов [2, 31, 32]. По-видимому, при комнатной температуре «запускаются» процессы старения, которые продолжаются при дальнейшем хранении семян как при температуре 5 °С, так и –20 °С. Вероятно, в этих условиях происходит накопление активных форм кислорода, которые при дальнейшем хранении семян при указанных температурах могут реагировать практически со всеми биологическими молекулами.
То, что мы использовали для эксперимента семена трех видов рода Hypericum, которые до этого уже хранились в комнатных условиях 18 мес., позволило выявить наиболее чувствительный к температурным условиям хранения, регидратации, набухания и проращивания семян вид — H. hirsutum. После хранения в комнатных условиях 18 мес. старение семян разных видов зверобоя при −20 °С происходило с разной скоростью, наибольшей — у H. hirsutum. Когда же на хранение при −20 °С были заложены относительно свежие семена этого вида (после 5 мес. комнатного хранения), старение не проявилось после 12 лет. Семена H. hirsutum сильнее других реагировали на условия регидратации, набухания и проращивания, особенно сильно после хранения при ультранизкой температуре. По-видимому, восстановление семян после кратковременной криоконсервации в неоптимальных условиях можно использовать в качестве теста на их устойчивость к высыханию и длительному хранению. Однако при оптимальных условиях регидратации, набухания и проращивания семена H. hirsutum после длительного нахождения в ЖА сохранили всхожесть и скорость прорастания на уровне исходных значений. После 15 лет хранения семян при −196 °С проростки нормально развивались.
Молекулярной основой устойчивости семян к высыханию и старению является накопление протекторов — белков позднего эмбриогенеза (LEA), малых белков теплового шока (sHSP), невосстанавливающихся олигосахаридов группы рафинозы (RFO) и низкомолекулярные антиоксиданты — глутатион, токоферолы и каротиноиды [25]. Наблюдавшаяся нами реакция длительно хранившихся семян H. hirsutum на условия регидратации, набухания и проращивания свидетельствует о том, что они существенно отличаются по компонентному составу от семян H. perforatum и H. maculatum, вероятно, в основном пониженным содержанием антиоксидантов.
ЗАКЛЮЧЕНИЕ
Комплексный анализ результатов изучения всхожести, динамики прорастания и развития проростков семян трех видов рода Hypericum L. (Hypericaceae): H. perforatum L., H. maculatum Crantz. и H. hirsutum L., хранившихся 18 лет при температуре –196 (в жидком азоте), —20 ± 2 и 5 ± 1 °С показал следующее.
При температуре 5 °С семена H. perforatum сохраняют свои качества 6 лет, H. maculatum — 15 лет, даже если на длительное хранение закладывались несвежесобранные семена. Хранившиеся при температуре –20 °С семена H. perforatum и H. maculatum не снижали своего качества до 6 лет. При температуре –196 °С семена этих видов сохранили посевные качества в течение всего периода мониторинга — 18 лет.
У семян H. hirsutum, которые до закладки на длительное хранение находились в комнатных условиях 18 мес., через 6 лет хранения при 5 °С и особенно при –20 °С ухудшилось качество. В том случае, когда на длительное хранение закладывались более свежие (после 5 мес. в комнатных условиях) семена H. hirsutum, при 5 °С они не теряли качества 9 лет, при –20 °С — 12 лет (весь период мониторинга). В ЖА семена обоих образцов этого вида демонстрировали способность длительно сохранять свои качества. Таким образом, хранение семян при температуре −196 °С, в отличие от температуры 5 и −20 °С, обеспечило существенное снижение скорости старения семян, в том числе, находившихся в комнатных условиях значительное время после сбора. При этом семена, хранившиеся при ультранизкой температуре более чувствительны к условиям регидратации, набухания и проращивания, чем семена, хранившиеся при 5 и −20 °С.
Рекомендации по длительному хранению и мониторингу качества семян Hypericum perforatum, H. maculatum и H. hirsutum:
- Для длительного хранения следует использовать свежие семена, которые находились в комнатных условиях (температура воздуха до 24 °С, относительная влажность до 60%) не более полугода после сбора. Если семена находились в подобных условиях дольше, то далее длительно хранить их можно только при ультранизкой температуре.
- Влажность семян, составляющая 6—7.5%, приемлема для их закладки на длительное хранение при указанных температурах.
- Периодичность мониторинга качества семян, хранящихся при температуре 5 и −20 °С, допустима 1 раз в 10 лет. Для семян, хранящихся в жидком азоте, этот срок может быть увеличен.
- После извлечения семян из ЖА их оттаивание должно проходить в условиях, исключающих конденсацию на них влаги из воздуха.
- С целью мониторинга качества семена perforatum и H. maculatum после извлечения из ЖА до их увлажнения водой для проращивания следует экспонировать на воздухе в комнатных условиях не менее 1 суток для того, чтобы регидратация мембран проходила при низком градиенте влажности. В течение такого же срока рекомендуется экспонировать в комнатных условиях семена, хранившиеся при отрицательных и низких положительных температурах, для стабилизации внутриклеточных компонентов в теплых условиях. Семена H. hirsutum, как более чувствительные к условиям регидратации, следует экспонировать не менее 2 суток.
- Так как семена изученных видов имеют хорошую исходную всхожесть, выборка для определения всхожести и динамики прорастания 4×50 шт. является достаточной.
- Холодная стратификация для проращивания семян всех изученных видов не требуется. Оптимальная температура набухания семян ~22 °С, прорастания — 20—24 °С.
- Для определения качества семян необходимо отслеживать помимо значения всхожести динамику прорастания или, как минимум, оценивать скорость прорастания по показателю Т⁵⁰ — времени, за которое проросло 50% семян выборки. Проверять прорастание следует не менее трёх раз в неделю.
- Так как меристема эпикотиля стареет быстрее меристемы зародышевого корня, для определения качества семян в генных банках необходим контроль развития проростков.
Об авторах
Г. Е. Левицкая
Институт биофизики клетки РАН
							Автор, ответственный за переписку.
							Email: levitskaya_g@mail.ru
				                					                																			                												                	Россия, 							г. Пущино						
Список литературы
- Walters C., Wheeler L. M., Stanwood P. C. 2004. Longevity of cryogenically stored seeds. — Cryobiol. 48(3): 229—244. https://doi.org/10.1016/j.cryobiol.2004.01.007
- Левицкая Г. Е. 2015. Влияние температуры хранения на жизнеспособность семян дикорастущих видов. 2. Семена с физиологическим покоем на примере видов рода Campanula (Campanulaceae). — Раст. ресурсы. 51(1): 38—51. https://elibrary.ru/item.asp?id=22740094
- Ellis R. H., Roberts E. H. 1980. Improved equations for the prediction of seed longevity. — Ann. Bot. 45(1): 13—30. https://doi.org/10.1093/oxfordjournals.aob.a085797
- Treuren R., Bas N., Kodde J., Groot S. P. C., Kik C. 2018. Rapid loss of seed viability in ex situ conserved wheat and barley at 4 °C as compared to –20 °C storage. — Conserv. Physiol. 6(1): coy033. https://doi.org/10.1093/conphys/coy033
- Solberg S. Ø., Yndgaard F., Andreasen C., Bothmer R., Loskutov I. G., Asdal Å. 2020. Long-Term Storage and Longevity of Orthodox Seeds: A Systematic Review. — Front Plant Sci. 11: 1007. https://doi.org/10.3389/ fpls.2020.01007
- Walsh D. G. F., Waldren S., Martin J. R. 2003. Monitoring seed viability of fifteen species after storage in the Irish threatened plant genebank. — Biol. Environ. 103B(2): 59—67. https://doi.org/10.1353/bae.2003.a809883
- Pérez-García F., Huertas M., Mora E., Peña B., Varela F., González-Benito M. E. 2006. Hypericum perforatum L. seed germination: interpopulation variation and effect of light, temperature, presowing treatments and seed desiccation. — Genet. Resour. Crop Evol. 53(6): 1187—1198. https://doi.org/10.1007/s10722-005-2012-3
- Nürk N. M., Blattner F. R. 2010. Cladistic analysis of morphological characters in Hypericum (Hypericaceae). — Taxon. 59(5): 1495—1507. https://doi.org/10.1002/tax.595014
- Robson N. K. B. 1996. Studies in the genus Hypericum L. (Guttiferae). 6. Sections 20. Myriandra to 28. Elodes. — Bull. Br. Museum Nat. Hist. 26(2): 75—271. https://www.biodiversitylibrary.org/page/2349861
- Лекарственные растения: справ. пособие. 1992. М. 398 с.
- Губанов И. А., Киселева К. В., Новиков В. С. 1993. Дикорастущие полезные растения. 2-е изд. М. 300 с.
- Bruňáková K., Čellárová E. 2016. Conservation Strategies in the Genus Hypericum via Cryogenic Treatment. — Front. Plant Sci. 7: 558. https://doi.org/10.3389/fpls.2016.00558
- British Herbal Pharmacopoeia. 4th edition. Surrey. 212 p.
- Upton R., Cott J., Williamson E., Graff A. St. 1997. St. John’s wort. Hypericum perforatum. Quality control, analytical and therapeutic monograph. American Herbal Pharmacopoeia and Therapeutic Compendium. Texas. 32 p.
- European Pharmacopoeia. 2008. European Pharmacopoeia, 6th Edn. Strasbourg: Council of Europe.
- Зверобоя трава. Hyperici herba. ФС.2.5.0015.15. 2018. — В: Государственная фармакопея Российской Федерации XIV. Т. IV. М. С. 6074—6083. https://pharmacopoeia.regmed.ru/pharmacopoeia/izdanie-14/2/2-5/zveroboya-trava-hyperici-herba/
- Akgӧz J. 2015. The effects of Hypericum (Hypericaceae) species on microorganisms. A review. — Int. Res. J. Pharm. 6(7): 390—399. https://doi.org/10.7897/2230-8407.06781
- Буданцев А. Л., Приходько В. А., Варганова И. В., Оковитый С. В. 2021. Биологическая активность Hypericum perforatum L. (Hypericaceae): обзор. — Фармация и фармакология. 9(1): 17—31. https://doi.org/10.19163/2307-9266-2021-9-1-17-31
- Левашова О. Л., Гапоненко В. П. 2016. Полісахаридний комплекс звіробою шорсткого (Hypericum hirsutum L.). — Теоретичні та практичні аспекти дослідження лікарських рослин: матеріали ІІ міжнар. наук.-практ. Internet-конф., м. Харків, 21—23 берез. 2016. Харкiв. С. 149—150. http://dspace.nuph.edu.ua/handle/123456789/9391
- Ņivković M. Z., Radulović N. S. 2018. The chemical composition of the essential oil of Hypericum hirsutum L. from Suva planina (SE Serbia). — FU Phys. Chem. Tech. 16(1): 155. http://casopisi.junis.ni.ac.rs/index.php/FUPhysChemTech/article/view/4341
- Хукстра Ф. А., Головина Е. А. 1999. Поведение мембран при дегидратации и устойчивость ангидробиотических организмов к обезвоживанию. — Физиология растений. 46(3): 347—361.
- Genebank Standards. 1994. Food and Agriculture Organization of the United Nations, Rome, International Plant Genetic Resources Institute, Rome. 13 p. https://www.fao.org/3/aj680e/aj680e.pdf
- Buitink J., Leprince O., Hemminga M. A., Hoekstra F. A. 2000. Molecular mobility in the cytoplasm: An approach to describe and predict lifespan of dry germplasm. — PNAS. 97(5): 2385—2390. https://doi.org/10.1073/pnas.040554797
- Мельникова Т. М. 1969. К биологии прорастания семян некоторых видов зверобоя. — Бюлл. ГБС АН СССР. 73: 87—90. https://www.gbsad.ru/doc/biulleten_gbs_1969_073.pdf
- Smolikova G., Leonova T., Vashurina N., Frolov A., Medvedev S. 2021. Desiccation Tolerance as the Basis of Long-Term Seed Viability. — Int. J. Mol. Sci. 2(1): 101. https://doi.org/10.3390/ijms22010101
- Waterworth W. M., Masnavi G., Bhardwaj R. M., Jiang Q., Bray C. M., West C. E. 2010. A plant DNA ligase is an important determinant of seed longevity. — Plant J. 63(5): 848—860. https://doi.org/10.1111/j.1365-313X.2010.04285.x
- Левицкая Г. Е. 2014. Влияние температуры хранения на жизнеспособность семян дикорастущих видов. 1. Семена с вынужденным покоем и неглубоким физиологическим покоем. — Раст. ресурсы. 50(4): 30—44. https://elibrary.ru/item.asp?id=22260668
- Белоус А. М., Грищенко В. И. 1994. Криобиология. Киев. 430 с.
- Николаева М. Г., Разумова М. В., Гладкова В. Н. 1985. Справочник по проращиванию покоящихся семян. Л. 348 с.
- Wawrzyniak M., Michalak M., Chmielarz P. 2020. Effect of different conditions of storage on seed viability and seedling growth of six European wild fruit woody plants. — Ann. Forest Sci. 77: 58. https://doi.org/10.1007/s13595-020-00963-z
- Попцов А. В., Некрасов В. И., Иванова И. А. 1981. Очерки по семеноведению. М. 112 с.
- Probert R., Adams J., Coneybeer J., Crawford A., Hay F. 2007. Seed quality for conservation is critically affected by pre-storage factors. — Aust. J. Bot. 55(3): 326—335. https://doi.org/10.1071/BT06046
Дополнительные файлы
 
				
			 
						 
						 
						 
					 
						 
									
 
  
  
  Отправить статью по E-mail
			Отправить статью по E-mail 






