The impact of clear-cutting on the plant biodiversity of middle-taiga spruce forests
- Authors: Likhanova N.V.1,2, Bobrov Y.A.1
-
Affiliations:
- Pitirium Sorokin Syktyvkar State University
- Syktyvkar Forest Institute – branch of St. Petersburg State Forest Technical University named after S. M. Kirov
- Issue: Vol 61, No 1 (2025)
- Pages: 35-49
- Section: Biology of Resource Species
- URL: https://journal-vniispk.ru/0033-9946/article/view/287996
- DOI: https://doi.org/10.31857/S0033994625010033
- EDN: https://elibrary.ru/EHBFGA
- ID: 287996
Cite item
Full Text
Abstract
The effect of principal felling in mature middle taiga Siberian spruce forests (Piceetum myrtillosum, Piceetum polytrichoso-sphagnosum) on the number of undergrowth and the species composition of the herb-dwarf shrub and moss-lichen layers was studied. It was found that on 4-year-old spruce clear-cuts the average density of undergrowth varies from 7.0 to 8.8 thousand ind.·ha-1. The ground cover composition completely or almost completely lacks the most typical species of mature spruce forests such as Oxalis acetosella, Gymnocarpium dryopteris, Deschampsia flexuosa, Galium boreale, Lycopodium clavatum, and L. annotinum. An extensive spread of the light-demanding pioneer species Chamaenerion angustifolium is observed. A comparative assessment of the projective cover and species diversity showed that successional processes occur in the living ground cover.
Full Text
Рубки главного пользования – значимый антропогенный фактор, приводящий к созданию ценозов, неспособных в полном объеме осуществлять функции, аналогичные таковым в природных лесных экосистемах. Как правило, изменение экологической обстановки, в результате промышленных рубок, приводит к преобразованию почвенного покрова и как следствие, к изменению состава и структуры сообществ еловых лесов [1, 2]. Изменения состава растений лесных сообществ после рубок древостоев освещены во многих работах [3–9 и др.]. Достаточно полно охарактеризованы процессы естественного возобновления древесных растений на вырубках [10–13 и др.] и сукцессии растений нижних ярусов сообществ [3, 5, 14–16 и др.].
Однако сведения по биоразнообразию растений и его сохранению на вырубках ельников недостаточны для проектирования и организации грамотного природопользования с экологической точки зрения [17]. В последние годы уделяется большое внимание вопросам сохранения и восстановления биологического разнообразия растений после лесозаготовительных мероприятий. Изучение сукцессий после сплошнолесосечных рубок среднетаежных ельников необходимы для оценки процесса восстановления исходных биоценозов. Выявление на вырубках видового биоразнообразия растений нижних ярусов и сравнение этого показателя с видовым разнообразием исходных еловых лесов, оценка количества недоруба и подроста на вырубках, а также характеристика состояния подроста позволят установить закономерности восстановительных процессов в исследуемых сообществах.
Цель исследований – оценка влияния сплошнолесосечных рубок на видовое разнообразие среднетаежных ельников.
МАТЕРИАЛ И МЕТОДЫ
Исследования выполнены на территории Чернамского лесного стационара Института биологии Коми НЦ УрО РАН в подзоне средней тайги (62°01' с. ш., 52°28' в. д.). Изучаемые объекты – спелые ельники черничный влажный (Piceetum myrtillosum) и долгомошно-сфагновый (Piceetum polytrichoso-sphagnosum) и фитоценозы, сформировавшиеся на их месте на 4-летний вырубке. Характеристика древостоев изученных еловых лесов приведена в работе [18]. В 2009 г. работы продолжены на вырубках этих ельников [19].
Ельник черничный влажный. Состав древостоя по запасу – 7Е2Б1С (Picea obovata Ledeb., Betula pubescens Ehrh., B. pendula Roth, Pinus sylvestris L.), возраст деревьев –70–210 лет, бонитет – V, запас стволовой древесины – 265 м3га–1. Средняя высота ели сибирской составляет 12 м, средний диаметр – 14 см. Подлесок представлен единичными экземплярами ивы (Salix sp.), рябины (Sorbus aucuparia L.) и шиповника (Rosa sp.). Еловый подрост равномерно расположен по всей территории пробной площади, его плотность составляет 2.08 экз. га–1. Общее проективное покрытие травяно-кустарничкового яруса – 50–60%. Сформирован черникой (Vaccinium myrtillus L.), брусникой (V. vitis-idaea L.), морошкой (Rubus chamaemorus L.), хвощом лесным (Equisetum sylvaticum L.), папоротником (Dryopteris sp.), кислицей (Oxalis acetosella L.), майником двухлистным (Majanthemum bifolium (L.) F. Schmidt), седмичником европейским (Trientalis europaeа L.), линней северной (Linnaea borealis L.), геранью лесной (Geranium sylvaticum L.) и гудайерой ползучей (Goodyera repens (L.) R. Br.). Мохово-лишайниковый ярус имеет общее покрытие 90–95%, основные доминанты яруса: Hylocomium splendens (Hedw.) B. S. G., Pleurozium schreberi (Brid.) Mitt. и Dicranum polysetum Hedw., пятнами встречаются Polytrichum commune Hedw. и сфагновые мхи (Sphagnum sp.).
Ельник долгомошно-сфагновый. Состав древостоя – 6Е3Б1С (Picea obovata, Betula pubescens, B. pendula, Pinus sylvestris), древостой разновозрастный (70–200 лет), бонитет – V, запас – 223 м3га–1. Средний диаметр ели – 13 см, средняя высота – 11 м. Подлесок образован редкими кустами рябины, ивы и шиповника. Подрост (99Е1С) в количестве 1.85 экз. га-1, в основном находится в удовлетворительном состоянии. Общее проективное покрытие травяно-кустарничкового яруса – около 40%. В его составе представлены: черника, брусника, линнея северная, хвощ лесной, осока шаровидная (Carex globularis L.), морошка. В хорошо развитом моховом ярусе доминируют сфагновые мхи, участвуют политриховые и зеленые мхи.
В зимний период 2005–2006 гг. в исследуемых ельниках проведена сплошнолесосечная рубка с сохранением подроста с применением технологии хлыстовой заготовки древесины. Исследования проведены на следующих технологических элементах вырубок: пасека – часть делянки (лесосеки), на которой выполняются первоначальные лесозаготовительные операции (валка, обрезка сучьев, раскряжевка) и с которой поваленные деревья (хлысты) трелюют по одному трелевочному волоку, пасечный трелевочный волок – территория для трелевки леса с двух соседних пасек, между которыми он проходит. Ширина пасек вырубок составляла 30 м, ширина волока – 10 м [20].
В ельнике черничном влажном после зимней рубки количество не спиленных деревьев составляет 400 экз. га–1, их запас равен 1.1 м3 га–1. Подрост, в том числе самосев, составляющий 8.3 экз. га–1, имеет состав 6Е3Б1РбедСОс. В травяно-кустарничковом ярусе пасечных участков вырубки присутствуют следующие виды растений: черника, брусника, линнея северная, майник двулистный, осока шаровидная, хвощ лесной, луговик извилистый (Avenella flexuosa (L.) Drei.) Мохово-лишайниковый покров формируют Pleurozium schreberi и сфагновые мхи, пятнами встречаются Polytrichum commune и Hylocomium splendens, редко Dicranum polysetum. В травяно-кустарничковом ярусе волочного участка доминируют брусника, линнея северная, майник, ожика волосистая (Luzula pilosa (L.) Willd.) с участием хвоща, луговика извилистого, кипрея узколистного (Epilobium angustifolium L.), иван-чая (Chamaenerion angustifolium L.). В мохово-лишайниковом ярусе представлены Polytrichum commune и сфагновые мхи (Sphagnum wulfianum, S. girgensohnii, S. russowii), а также Pleurozium schreberi, в меньшей степени Dicranum polysetum.
На вырубке ельника долгомошно-сфагнового оставлены тонкомерные деревья ели, сосны обыкновенной, березы в количестве 588 экз. га–1 с запасом древесины 38 м3 га–1. Подрост имеет состав 7Б3Е, представлен в количестве 6.8 экз. га–1. На пасечных участках вырубки ельника господствуют черника, брусника, линнея северная, осока шаровидная, хвощ, луговик извилистый, иван-чай. Моховый покров состоит из Polytrichum commune, Sphagnum wulfianum, S. girgensohnii, S. russowii, встречаются мелкие пятна Dicranum polysetum. Травяно-кустарничковый ярус волока представлен брусникой, линнеей северной, хвощом, луговиком извилистым и иван-чаем. В моховом ярусе преобладает Polytrichum commune в сочетании с Sphagnum angustifolium, S. russowii, S. girgensohnii и редко зелеными мхами. Ельники черничный влажный и долгомошно-сфагновый и сообщества вырубок этих ельников развиваются на иллювиально-гумусово-железистом глееватом подзоле.
На вырубках ельников проанализировано 20 учетных площадок размером 0.25 м2 (50 × 50 см), которые располагались с учетом технологических элементов вырубок. Выявлен видовой состав и проективное покрытие сосудистых растений и мхов. Перечет подроста проводили по ступеням толщины 1–2 см или ступеням высоты 0.2–0.5 м. Подрост распределяли по высотам: самосев до 0.2 м; мелкий 0.21–0.5 м; средний 0.51–1.5 м; крупный – более 1.5 м. Одновременно осуществляли учет состояния подроста (здоровый, сомнительный и усыхающий). Учет покрытия растений при оценке обилия использовали шкалу Браун-Бланке: 1 балл – покрытие менее 5%; 2 – от 5 до 25%; 3 – от 26 до 50%; 4 – от 51 до 75%; 5 баллов – от 76 до 100%.
Для оценки видового разнообразия использовали индекс Шеннона и меру его выравненности. Расчет Индекса Шеннона осуществлялся по формуле:
, 1
где: S – общее число видов, i – порядковый номер вида, ni – число особей i-го вида, N – общее число особей.
Мера выравненности (индекс Пиелу, E) определялась по формуле:
, 2
где – индекс Шеннона, Hmax – максимальная величина индекса Шеннона, S – общее число видов.
Для оценки бета-разнообразия нами применен индекс Жаккара, индекс Коха и мера Ружички. Расчет индекса Жаккара (Ij) производили по формуле:
, 3
где: с – количество общих видов, а – количество видов на первой площадке, b – количество видов на второй площадке.
Индекс Коха (IK) вычисляли по следующей формуле:
, 4
где: n – число сравниваемых точек (списков), S – общее число видов на изучаемой территории, τ – сумма видов на всех сравниваемых точках (S1 + S2 + … + Sn).
Мера Ружички (KR) была вычислена, как:
, 5
где: KR – мера Ружички, S – общее число видов, i – порядковый номер вида, Ai – обилие i-го вида на первой площадке, Bi – обилие i-го вида на второй площадке.
Экологические шкалы для составления спектров изученных сообществ взяты из базы данных «Флора сосудистых растений Центральной России» (https://www.impb.ru/eco/).
Все расчеты выполняли в среде R (пакеты “base”, “utils”, “graphics”, “stats”, “pvclust”) с оболочкой RStudio на основе собственного кода. В статье представлены дендрограммы по каждому исследуемому индексу для визуализации биологического разнообразия. Анализ микроклиматических условий на изученных площадках производился стандартным образом.
РЕЗУЛЬТАТЫ И ИХ ОБСУЖДЕНИЕ
В спелых ельниках проведена сплошнолесосечная рубка, т. е. древостой на лесосеке вырублен в один прием. Рубка предусматривает последующее естественное лесовозобновление путем сохранения подроста. Как правило, технологические схемы рубок с сохранением подроста основываются на принципе ограничения движения лесозаготовительной техники по зоне лесосеки и скопления на малой площади наиболее трудоемких лесозаготовительных работ – трелевка и погрузка древесины [21]. Мониторинговыми исследованиями на вырубках разных регионов России отмечена определенная зависимость темпов и характера формирования подроста от лесорастительных условий [2, 10, 22]. Количество подроста и недоруба на вырубках представлено на рис. 1. На вырубке ельника черничного влажного подрост ели как предварительного, так и последующего возобновления, представлен категориями мелкого и среднего. Береза послерубочного происхождения относится по высоте к мелкой категории.
Рис. 1. Количество подроста и недоруба на вырубках ельника черничного влажного (Piceetum myrtillosum) (1) и долгомошно-сфагнового (Piceetum polytrichoso-sphagnosum) (2)
Fig. 1. The amount of undergrowth (left) and undercut (right) on the clear-cuts of Piceetum myrtillosum (1) and Piceetum polytrichoso-sphagnosum (2).
Y-axis: amount of undergrowth and undercut, ind. ha–1
На вырубках сухой или усыхающий подрост ели составляет 9–18%, сомнительный – 9% от общего количества (рис. 2). Растения подлеска на вырубках ельников черничного влажного и долгомошно-сфагнового представлены различными видами ивы (Salix sp.), рябиной (Sorbus aucuparia) и шиповником (Rosa aciculаris). На вырубке ельника черничного влажного видовое разнообразие подлесочных растений несколько больше, чем на вырубке ельника долгомошно-сфагнового.
Рис. 2. Состояние подроста ели на вырубках ельника черничного влажного (A) и долгомошно-сфагнового (B).
Fig. 2. The state of Siberian spruce undergrowth on the clear-cuts of Piceetum myrtillosum (A) and Piceetum polytrichoso-sphagnosum (B).
Blue – healthy, orange – uncertain, grey – dying off.
На 4-х летних вырубках ельников не срубленные деревья (недоруб) ели сибирской, сосны обыкновенной, березы пушистой (Betula pubescens) и березы повислой (B. pendula) составляют 400–588 экз. га–1 (рис. 1). Процесс формирования древостоев в сообществах Piceetum myrtillosum и Piceetum polytrichoso-sphagnosum до смыкания крон, независимо от присутствия подроста проходит стадию производного елово-лиственного ценоза. Известно, что леса таежной зоны после промышленных рубок восстанавливаются через смену коренных ельников производными мягколиственными лесами [22–24]. По имеющимся данным [10], на пасеках вырубок с малонарушенными участками растительного покрова и оставшимся еловым тонкомером и подростом, ель сохраняет свое доминирующее положение в структуре производного биоценоза. В условиях Республики Коми автор выделил три характерные зоны разрушения почв и лесовозобновления. На значительном участке вырубок (59–70%) в межволочном пространстве главенствующее положение занимают береза и осина, встречается подрост хвойных пород. При средней степени техногенного нарушения (трелевочные волока, заезды техники) на 18–29% площади вырубки формируются высокополнотные и производительные лиственные древостои, под пологом которых начинает возобновляться ель. На участках с полностью разрушенными верхними горизонтами почвы или отличающимися захламленностью древесными остатками (магистральные волока, стоянки сучкорезных машин, погрузочные площадки и др.), занимающих 6–15% площади вырубок среди чисто лиственного куртинного подроста возрастает до 40% доля ивы, рябины, ольхи серой.
На развитие растений напочвенного покрова существенное влияние оказывает численность и густота подроста. Валка и трелевка деревьев, воздействие лесозаготовительной техники вызывают значительные повреждения и резкое снижение проективного покрытия травяно-кустарничкового и мохово-лишайникового ярусов. Кроме того, в процессе рубки происходит отмирание некоторых лесных видов растений напочвенного покрова и внедрение луговой растительности [22]. Значительные изменения в фитоценозах отмечаются в течении 3–6 лет после рубки, и только к 10–14 годам видовой состав растений напочвенного покрова приближается к исходному [15].
В ходе сплошнолесосечных рубок спелых древостоев ельников происходит разрушение структуры сообществ, нарушаются и частично уничтожаются отдельные ярусы и разрываются ценотические связи между сохранившимися компонентами экосистем [25]. При исследовании особый интерес представляет развитие растений нижних ярусов и создаваемый им «фитогенный» микроклимат, который в немалой степени определяет процесс естественного возобновления и темпы сукцессий растительности на вырубках. Лесозаготовки в обоих исследуемых ельниках проводились в зимний период, в связи с чем изменения состава и структуры травяно-кустарничкового и мохово-лишайникового ярусов технологических элементов вырубок выражены меньше, чем при рубках в отсутствии снежного покрова. Согласно имеющимся данным [26], на зимних вырубках ельников мохово-лишайниковый и травяно-кустарничковый ярусы целиком уничтожается лишь на 2–3%, редко на 5% площади. Растительный покров этих участков испытывает сильное воздействие осветления после рубки. Нашими наблюдениями установлено, что на необлесенных вырубках ельника черничного влажного и долгомошно-сфагнового поселяется иван-чай узколистный. На вырубке ельника черничного влажного повышается обилие ожики волосистой на волоке и осоки шаровидной на пасечных участках (табл. 1). Отмечено также, что на вырубках ельников под защитой пней с меньшим обилием сохраняется Maianthemum bifolium. Изменения обилия факультативных гелиофитов (Carex globularis и Equisetum sylvaticum) в большей степени связаны с изменением условий увлажнения [27, 28].
Таблица 1. Обилие и встречаемость видов травяно-кустарничкового и мохово-лишайникового ярусов в изученных еловых лесах и на вырубках
Table 1. Abundance and occurrence of the species in the herb-shrub and moss-lichen layers of the studied spruce forests and clear-cuts
Жизненная форма, вид Life form, species | Черничный влажный Piceetum myrtillosum | Долгомошно-сфагновый Piceetum polytrichoso-sphagnosum | ||||||||||
до рубки before felling | 4-х летняя вырубка 4-year-old clear-cut | до рубки before felling | 4-х летняя вырубка 4-year-old clear-cut | |||||||||
волок skidding roads | пасека forest swath | волок skidding roads | пасека forest swath | |||||||||
обилие, балл abundance, score | встречаемость, % occurrence, % | обилие, балл abundance, score | встречаемость, % occurrence, % | обилие, балл abundance, score | встречаемость, % occurrence, % | обилие, балл abundance, score | встречаемость, % occurrence, % | обилие, балл abundance, score | встречаемость, % occurrence, % | обилие, балл abundance, score | встречаемость, % occurrence, % | |
1 | 2 | 3 | 4 | 5 | 6 | 7 | 8 | 9 | 10 | 11 | 12 | 13 |
Кустарнички / Dwarf shrubs: | ||||||||||||
Vaccinium myrtillus | 5 | 100 | – | – | 4 | 80 | 4 | 80 | – | – | 5 | 100 |
V. vitis-idaea | 2 | 45 | 3 | 75 | 4 | 80 | 2 | 40 | 3 | 75 | 3 | 75 |
Linnea borealis | 3 | 75 | 2 | 35 | 2 | 45 | 1 | 20 | 2 | 45 | 2 | 45 |
Травы / Herbs | ||||||||||||
Maianthemum bifolium | 4 | 80 | 3 | 75 | 2 | 45 | – | – | – | – | – | – |
Trientalis europaea | 2 | 40 | – | – | – | – | 2 | 40 | – | – | – | – |
Oxalis acetosella | 3 | 40 | – | – | – | – | – | – | – | – | – | – |
Gymnocarpium dryopteris | 3 | 70 | – | – | – | – | 1 | 20 | – | – | – | – |
Rubus saxalis | – | – | – | – | – | – | 1 | 20 | – | – | – | – |
Geranium sylvaticum | + | – | – | – | – | – | + | – | – | – | – | – |
Luzula pilosa | + | – | 3 | 75 | – | – | – | – | – | – | – | – |
Deschampsia flexuosa | + | – | – | – | – | – | – | – | – | – | – | – |
Carex globularis | 1 | 18 | – | – | 2 | 40 | 1 | 30 | – | – | 3 | 75 |
Equisetum sylvaticum | 3 | 65 | 2 | 30 | 3 | 75 | 4 | 80 | 2 | 40 | 3 | 60 |
Galium boreale | – | – | – | – | – | – | + | – | – | – | – | – |
Rubus chamaemorus | – | – | – | – | – | – | + | 10 | – | – | – | – |
Chamaenerionan gustifolium | – | – | 3 | 75 | – | – | – | – | 3 | 75 | – | – |
Lycopodium clavatum | + | – | – | – | – | – | + | – | – | – | – | – |
L. annotinum | 1 | 6 | – | – | – | – | 1 | 13 | – | – | – | – |
Avenella flexuosa | + | – | 5 | 80 | 4 | 80 | 2 | 55 | 5 | 100 | 5 | 100 |
Мхи / Mosses: | ||||||||||||
Polytrichum commune | 2 | 40 | 3 | 75 | 3 | 75 | 5 | 100 | 4 | 80 | 4 | 80 |
Pleurozium schreberi | 3 | 75 | 2 | 40 | 5 | 100 | 2 | 30 | 3 | 75 | 3 | 75 |
Dicranum polysetum | 3 | 60 | 2 | 40 | 2 | 40 | – | – | – | – | – | – |
Hylocomium splendens | 5 | 100 | – | – | 3 | 75 | 2 | 30 | 3 | 75 | 3 | 75 |
Sphagnum wulfianum | 1 | 8 | 4 | 80 | 4 | 80 | – | – | – | – | – | – |
S. girgensohnii | + | – | – | – | – | – | 1 | 15 | 3 | 75 | 5 | 100 |
S. russowi | 2 | 40 | 4 | 80 | 5 | 100 | 2 | 40 | 3 | 75 | 5 | 100 |
S. angustiflolium | – | – | – | – | – | – | 2 | 40 | 3 | 75 | 5 | 100 |
Лишайники / Lichens: | ||||||||||||
Cladina arbuscula | – | – | – | – | – | – | + | – | – | – | – | – |
C. rangiferina | + | – | – | – | – | – | + | – | – | – | – | – |
Peltigera aphtosa | + | – | – | – | – | – | + | – | – | – | – | – |
Примечание. (–) – вид отсутствует, (+) – единично.
Note. (–) – species is absent, (+) – single.
Обилие лесных видов (Linnea borealis, Vaccinium myrtillus, V. vitis-idaea) почти не изменяется. В мохово-лишайниковом покрове доминирующая роль принадлежит представителям родов Polytrichum и Sphagnum, которые лучше переносят повышение интенсивности солнечной радиации и сохраняют свою жизнеспособность в изменившихся экологических условиях [9]. При отсутствии материнского древостоя на вырубках наблюдается увеличение не только освещенности, но и испарения воды с поверхности почвы, в результате чего изменяется влажность верхних почвенных горизонтов; кроме того, происходит увеличение скорости ветровых потоков и возрастает диапазон колебания температур [29]. Проективное покрытие зеленых мхов (Pleurozium schreberi, Hylocomium splendens) на разреженных пасечных участках сокращается в 2 раза, полностью исчезают лишайники Cladina arbuscula, C. rangiferina, Peltigera aphtosa.
На вырубке ельника черничного влажного на волоке общее проективное покрытие травяно-кустарничкового яруса составляет 50–60%, а мохово-лишайникового – 20–30%. Пасечный участок имеет общее покрытие травяно-кустарничкового яруса – 60%, мохово-лишайникового – 80–90% (табл. 2). На вырубке ельника долгомошно-сфагнового на волоке общее проективное покрытие травяно-кустарничкового и мохово-лишайникового ярусов повышается до 70 и 60 %, соответственно. На пасечном участке вырубки общее проективное покрытие травяно-кустарничкового яруса составляет 70%, моховый покров почти сплошной (95–100%). По сравнению с ельниками на трелевочном волоке вырубок наблюдается снижение общего проективного покрытия мохово-лишайникового яруса и незначительное повышение общего проективного покрытия травяно-кустарничкового яруса. Эти изменения в меньшей степени выражены на пасечных участках вырубок исследуемых ельников.
Таблица 2. Характеристика напочвенного покрова в изученных сообществах до и после рубки
Table 2. Characteristics of the ground vegetation in the studied communities before and after clear-cutting
Сообщество Community | Общее проективное покрытие, % Total projective cover, % | Число видов Number of species | Индекс Шеннона Shannon index | Мера выравненности (индекс Пиелу) Pielou evenness index | ||
травяно-кустарничковый ярус herb-dwarf shrub layer | мохово-лишайниковый ярус moss-lichen layer | |||||
Черничный влажный / Piceetum myrtillosum | ||||||
До рубки Before felling | 40–50 | 90–95 | 24 | 2.61 | 0.94 | |
4-летняя вырубка / 4-year-old clear-cut | волок / skidding roads | 50–60 | 20–30 | 12 | 2.44 | 0.98 |
пасека / forest swath | 60 | 80 | 12 | 2.51 | ||
Долгомошно-сфагновый / Piceetum polytrichoso-sphagnosum | ||||||
До рубки Before felling | 40 | 95–100 | 23 | 2.64 | 0.93 | |
4-летняя вырубка / 4-year-old clear-cut | волок / skidding roads | 70 | 60 | 11 | 2.30 | 0.99 |
пасека / forest swath | 70 | 95–100 | 12 | 2.41 | ||
Одним из показателей состояния растительного сообщества является его видовое разнообразие. Как правило, для оценки альфа-разнообразия используют Индекс Шеннона, который находится в пределах от 1.5 до 4.0. Чем выше значение этого показателя, тем большим разнообразием отличается объект исследования. Напочвенный покров исследованных еловых сообществ характеризуется средним видовым богатством и достаточно высокой выравненостью участия видов (рис. 3). Индекс Шеннона в ельнике черничном влажном (VM_1) составляет 2.61 при индексе выравненности 0.94, в ельнике долгомошно-сфагновом (SM_1) – 2.64 при индексе выравненности 0.93. Эти сообщества закономерно богаче видами по сравнению с теми, которые сформировались на их вырубках. На вырубке ельника черничного влажного индекс Шеннона снижается до 2.43 на волоке (VM_4_1) и до 2.52 на пасечном участке (VM_4_2); на вырубке ельника долгомошно-сфагнового – до 2.37 на волоке (SM_4_1) и до 2.46 на пасеке (SM_4_2). Интересно, что одновременно, равномерность распределения показателей обилия видов в пострубочных сообществах увеличивается до 0.98–0.99. На наш взгляд, это можно объяснить снятием после рубки воздействия древесного яруса, вызывавшего формирование мозаичности напочвенного покрова. Не менее интересно и то, что в обеих типах ценозов, разнообразие на волочных участках вырубки меньше, чем на пасечных.
Рис. 3. Ординация изученных еловых сообществ и вырубок в осях значений индекса Шеннона и индекса выравненности Пиелу.
VM – Piceetum myrtillosum; SM – Piceetum polytrichoso-sphagnosum; VM_4_1 и VM_4_2 – волок и пасека на 4-летней вырубке Piceetum myrtillosum; SM_4_1 и SM_4_2 – волок и пасека на 4-летней вырубке Piceetum polytrichoso-sphagnosum.
Fig. 3. Ordination of the studied Siberian spruce communities and clear-cuts along the axes of the Shannon index and Pielou evenness index values.
VM – Piceetum myrtillosum; SM – Piceetum polytrichoso-sphagnosum; VM_4_1 and VM_4_2 – skidding road and forest swath on the 4-year-old clear-cut of Piceetum myrtillosum; SM_4_1 and SM_4_2 – skidding road and forest swath on the 4-year-old clear-cut of Piceetum polytrichoso-sphagnosum.
X-axis – Shannon index; y-axis – Pielou evenness index.
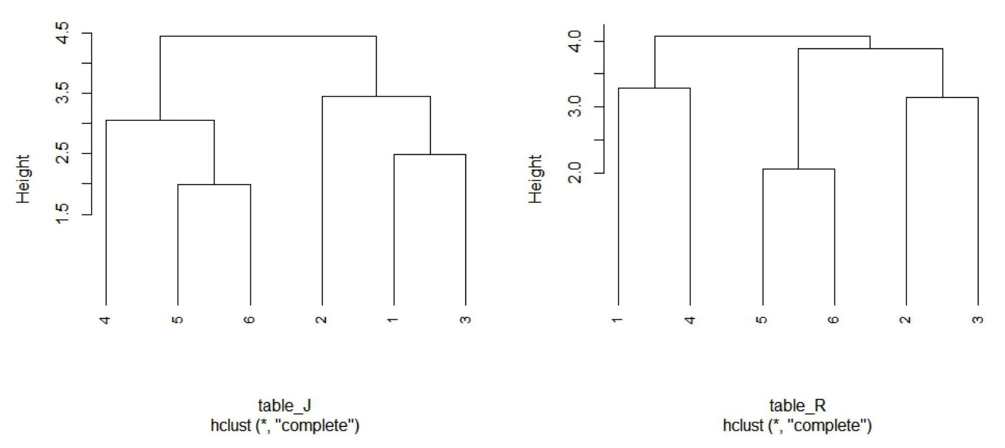
Видовое богатство двух ельников достаточно сходно (индекс Жаккара составляет 0.57). При этом (рис. 4), пасечный участок вырубки ельника черничного влажного (0.71) более похож на дорубочное сообщество, чем волок и пасека вырубки ельника долгомошно-сфагнового – 0.77. Общее сходство, оцененное по индексу Коха, в первой группе сообществ среднее (0.56), во второй – средневысокое (0.67).
Рис. 4. Дендрограмма сходства исследованных сообществ (Евклидово расстояние, метод полной связи) на основе индекса Жаккара (слева) и меры Ружички (справа)
1 – Piceetum myrtillosum до рубки; 2 – 4-летняя вырубка Piceetum myrtillosum (волок); 3 – 4-летняя вырубка Piceetum myrtillosum (пасека); 4 – Piceetum polytrichoso-sphagnosum до рубки; 5 – 4-летняя вырубки Piceetum polytrichoso-sphagnosum (волок); 6 – 4-летней вырубки Piceetum polytrichoso-sphagnosum (пасека).
Fig. 4. Similarity dendrogram of the studied communities (Euclidean distance, complete linkage) based on Jaccard index (left) and Ruzicka measure (right).
1 – Piceetum myrtillosum before felling; 2 – 4-year-old clear-cut of Piceetum myrtillosum (skidding roads); 3 – 4-year-old clear-cut of Piceetum myrtillosum (forest swath); 4 – Piceetum polytrichoso-sphagnosum before felling; 5 – 4-year-old clear-cut of Piceetum polytrichoso-sphagnosum (skidding roads); 6 – 4-year-old clear-cut of Piceetum polytrichoso-sphagnosum (forest swath).
Отмечено, что сходства видового состава исходных сообществ и волочных участков вырубки чуть меньше среднего (индекс Жаккара равен 0.47) для ельника черничного влажного и чуть выше (0.56) – для ельника долгомошно-сфагнового, но в обоих случаях оно меньше, чем сходство между исходными сообществами и пасеками (0.71). Примерно такое же сходство (0.53 и 0.67) показывают волочные и пасечные участки вырубок между собой. Интересно, что по количественным показателям (мера Ружички) исходные сообщества оказываются более похожими (имея закономерно более низкое сходство – 0.39), чем производные (рис. 4). Производные сообщества отличаются бóльшим внутренним сходством: волок и пасека вырубки ельника черничного влажного (0.53) и волок и пасека вырубки ельника долгомошно-сфагнового (0.67). Однако в целом результаты количественной оценки сходства несущественно отличаются от итогов качественной.
Микроклимат ельников и их вырубок нами не исследован в полном объеме, однако некоторые тенденции все же можно отметить. Наблюдаются изменения состава видов, отличающихся по отношению к свету: исчезают сциофиты (Oxalis acetosella, Gymnocarpium dryopteris), выпадают (частично или в полностью) некоторые виды факультативных гелиофитов (Avenella flexuosa, Galium boreale, Lycopodium clavatum, L. annotinum и др.) на технологических элементах вырубок ельников. Преобладают относительно тенелюбивые растения, предпочитающие средне увлажненные бедные почвы (с сохранением этого уровня более или менее постоянным в течение сезона) (рис. 5, 6). По отношению к влажности почвы остаются в обоих случаях виды влажнолесолуговой и сыроватолесолуговой экологических групп, хотя на вырубке ельника долгомошно-сфагнового отмечается незначительное их уменьшение на волоке. Богатство почвы элементами минерального питания остается стабильным (почвы были и остались небогатыми), хотя их обеспеченность азотом немного падает: с уровня «бедные» (исходные сообщества) до уровня «очень бедные» (пасечный участок вырубки ельников). Интересно при этом, что в обоих типах ельников несколько повышается степень кислотности почвы в исходных сообществах pH составляет 4.5–5.5, на волоке и пасеке вырубки 3.5–4.5. Несколько увеличивается освещенность, оставаясь, в целом, более или менее стабильной на уровне полуоткрытых пространств/светлых лесов, и одновременно устанавливается более стабильный уровень увлажнения: оно со слабо переменного переходит к относительно устойчивому (рис. 5, 6).
Рис. 5. Участие (%) видов разных экологических групп в составе сообщества Piceetum myrtillosum до рубки (голубой цвет), после рубки на волоках (оранжевый цвет) и пасеках (серый цвет).
Экологические группы:
A – по влажности почвы: 1 – сухолесолуговая, 2 – свежелесолуговая 3 – влажнолесолуговая, 4 – сыроватолесолуговая, 5 – сыролесолуговая, 6 – мокролесолуговая;
B – по богатству почвы минеральными солями: 1 – семиолиготрофная, 2 – субмезотрофная, 3 – мезотрофная, 4 – пермезотрофная, 5 – семиэвтрофная;
C – по богатству почвы азотом: 1 – субанитрофильная, 2 – геминитрофильная, 3 – субнитрофильная;
D – по реакции почвенного раствора: 1 – перацидофильная, 2 – мезоацидофильная, 3 – субацидофильная, 4 – нейтрофильная;
E – по освещенности экотопа: 1 – полянная, 2 – кустарниковая, 3 – разреженнолесная, 4 – светлолесная, 5 – густосветлолесная;
F – по переменности увлажнения экотопа: 1 – константофильная, 2 – субконстантофильная, 3 – гемиконтрастофильная.
Fig. 5. The share (%) of the species of different ecological groups in Piceetum myrtillosum community before felling (blue), after felling on skidding roads (orange) and forest swaths (gray).
Ecological groups according to:
A – soil moisture: 1 – dry forest-meadow, 2 – fresh forest-meadow, 3 – humid forest-meadow, 4 – slightly damp forest-meadow, 5 – damp forest-meadow, 6 – wet forest-meadow;
B – soil richness in mineral salts: 1 – semioligotrophic, 2 – submesotrophic, 3 – mesotrophic, 4 – permesotrophic, 5 – semieutrophic;
C – soil richness in nitrogen: 1 – subanitrophic, 2 – geminitrophic, 3 – subnitrophic;
D – soil solution reaction: 1 – peracidophilic, 2 – mesoacidophilic, 3 – subacidophilic, 4 – neutrophilic;
E – ecotope illumination: 1 – clearing, 2 – shrubs, 3 – sparse forest, 4 – open forest, 5 – dense open forest;
F – ecotope moisture variability: 1 – constantophilic, 2 – subconstantophilic, 3 – hemicontrastophilic.
Рис. 6. Участие (%) видов разных экологических групп в составе сообщества Piceetum polytrichoso-sphagnosum до рубки (голубой цвет), после рубки на волоках (оранжевый цвет) и пасеках (серый цвет).
Экологические группы:
A – по влажности почвы: 1 – сухолесолуговая, 2 – свежелесолуговая 3 – влажнолесолуговая, 4 – сыроватолесолуговая, 5 – сыролесолуговая, 6 – мокролесолуговая;
B – по богатству почвы минеральными солями: 1 – семиолиготрофная, 2 – субмезотрофная, 3 – мезотрофная, 4 – пермезотрофная, 5 – семиэвтрофная, 6 – субэвтрофная;
C – по богатству почвы азотом: 1 – субанитрофильная, 2 – геминитрофильная, 3 – субнитрофильная;
D – по реакции почвенного раствора: 1 – перацидофильная, 2 – мезоацидофильная, 3 – субацидофильная, 4 – нейтрофильная, 5 – субалкалифильная;
E – по освещенности экотопа: 1 – полянная, 2 – кустарниковая, 3 – разреженнолесная, 4 – светлолесная, 5 – густосветлолесная;
F – по переменности увлажнения экотопа: 1 – константофильная, 2 – субконстантофильная, 3 – гемиконтрастофильная, 4 – субконтрастофильная.
Fig. 6. The share (%) of the species of different ecological groups in Piceetum polytrichoso-sphagnosum community before felling (blue), after felling on skidding roads (orange) and forest swaths (gray).
Ecological groups according to:
A – soil moisture: 1 – dry forest-meadow, 2 – fresh forest-meadow, 3 – humid forest-meadow, 4 – slightly damp forest-meadow, 5 – damp forest-meadow, 6 – wet forest-meadow;
B – soil richness in mineral salts: 1 – semioligotrophic, 2 – submesotrophic, 3 – mesotrophic, 4 – permesotrophic, 5 – semieutrophic, 6 – subeutrophic;
C – soil richness in nitrogen: 1 – subanitrophilic, 2 – geminitrophilic, 3 – subnitrophilic;
D – reaction of soil solution: 1 – peracidophilic, 2 – mesoacidophilic, 3 – subacidophilic, 4 – neutrophilic, 5 – subalkaliphilic;
E – illumination of the ecotope: 1 – clearing, 2 – shrubs, 3 – sparse forest, 4 – open forest, 5 – dense open forest;
F – variability of ecotope moistening: 1 – constantophilic, 2 – subconstantophilic, 3 – hemicontrastophilic, 4 – subcontrastophilic.
ЗАКЛЮЧЕНИЕ
В результате иследований, выполненных на территории Чернамского лесного стационара Института биологии Коми НЦ УрО РАН в подзоне средней тайги в спелых ельниках черничном влажном и долгомошно-сфагновом и на сформировавшихся на их месте 4-летних вырубках показано, что средняя густота подроста через 4 года после рубки составляет 7.0–8.8 тыс. экз. га–1. На волоке вырубок ельников наблюдается снижение общего проективного покрытия мохово-лишайникового яруса и незначительное повышение покрытия травяно-кустарничкового яруса по сравнению с исходными ельниками. Эти изменения в меньшей степени выражены на пасечных участках вырубок исследованных еловых лесов. В результате стресса (вырубки) претерпевает изменение видовой состав мохово-лишайникового яруса; из состава травяно-кустарничкового яруса полностью или частично выпадают наиболее типичные для еловых лесов виды – Oxalis acetosella, Gymnocarpium dryopteris, Avenella flexuosa, Galium boreale, Lycopodium clavatum, L. annotinum, происходит заселение светолюбивого вида Chamaenerion angustifolium. На вырубках ельников по сравнению с исходными сообществами видовое разнообразие снижается, равномерность распределения покрытий видов увеличивается.
About the authors
N. V. Likhanova
Pitirium Sorokin Syktyvkar State University; Syktyvkar Forest Institute – branch of St. Petersburg State Forest Technical University named after S. M. Kirov
Author for correspondence.
Email: lihanad@mail.ru
Russian Federation, Syktyvkar; Syktyvkar
Y. A. Bobrov
Pitirium Sorokin Syktyvkar State University
Email: lihanad@mail.ru
Russian Federation, Syktyvkar
References
- Dymov A. A. 2017. The impact of clearcutting in boreal forests of Russia on soils: A review. — Eurasian Soil Sci. 50(7): 780–790. https://doi.org/10.1134/S106422931707002X
- Ulanova N. G. 2012. [Mechanisms of succession of vegetation on clear-cutting in spruce forests of CFSBNR]. — In: [Long-term processes in natural complexes of Russian reserves]. Velikie Luki. P. 152–157. (In Russian)
- Burova N. V., Yushmanova M. P. 2009. [Impact of clear-fellings on forest phytocoenoses]. — In: [Environmental problems of the North]. Arkhangelsk. Vol. 12. P. 71–74. (In Russian)
- Degteva S. V. 1996. [On the biodiversity studies of the secondary small-leaved forests of the middle taiga subzone of the Republic of Komi]. — In: [Biodiversity of anthropogenically transformed landscapes in the North-East of European Russia]. Syktyvkar. P. 90–101. (In Russian)
- Ivleva T. Yu., Leonova N. B. 2019. Spatial-functional heterogeneity of post-cutting communities in the Central Forest State Biosphere Reserve. — Ecosystems: Ecology and Dynamics. 3(4): 24–52. http://ecosystemsdynamic.ru/wp-content/uploads/2019/12/2-Ivleva-rus-articel.pdf (In Russian)
- Likhanova I. A., Genrikh E. A., Perminova E. M., Zheleznova G. V., Kholopov Yu. V., Lapteva E. M. 2023. The effects of clear-cutting on the biodiversity of middle taiga blueberry spruce forests in the North-East of European Russia. — Theor. Appl. Ecol. 2: 56–65. https://doi.org/10.25750/1995-4301-2023-2-056-065 (In Russian)
- Rai E. A., Burova N. V., Slastnikov S. I. 2012. The effect of leaving the trees after clear-cutting on floristic diversity. — Vestnik Severnogo (Arkticheskogo) Federalnogo Universiteta. Estestvennye Nauki. 3: 54–58. https://www.elibrary.ru/plpsrx (In Russian)
- Ulanova N. G., Kuksina N. V. 2001. [Results of the study of the vegetation dynamics in clearcuts of southern taiga forests: 16-year observations at permanent sample plots]. — In: [Forest stationary studies: methods, results, and prospects]. Tula. P. 249–251. (In Russian)
- Chertovskoy V. G. 1963. [Felling sites in haircap-moss forests, their formation and reforestation]. Moscow. 134 p. (In Russian)
- Larin V. B., Pautov Yu. A. 1989. [Development of young coniferous forests on the logging sites of the North-East of the European part of the USSR]. Leningrad. 144 p. (In Russian)
- Rybalchenko N. G., Tsaregradskiy P. V. 2011. [Clear-cutting and forest regeneration on clearcuts]. — Lesnoy Vestnik. 3: 4–7. https://www.elibrary.ru/nujoud (In Russian)
- Fedorchuk V. N., Kuznetsova M. L. 1995. Indicator changes of characteristics in forest biogeocenoses at the initial stages of regenerative succession after clear cutting based on the results of regular observations. — Bulletin of Moscow Society of Naturalists. Biological series. 100(2): 85–99. (In Russian)
- Chindyaeva L. N., Belanova A. P., Kiseleva T. I. 2018. Patterns of natural regeneration of alien species of woody plants in Novosibirsk. — Russ. J. Biol. Invasions. 11(2): 90–107. https://www.elibrary.ru/xrqmup (In Russian)
- Pobedinskij A. V. 1973. [Felling and regeneration in the taiga forests of the USSR]. Moscow. 200 p. (In Russian)
- Fedorchuk V. N., Neshatayev V. Yu., Kuznetsova M. L. 2005. Forest ecosystems of the North-Western regions of Russia: Typology, dynamics, forest management features. St. Petersburg. 382 p. (In Russian)
- Tsvetkov V. F., Anikeeva V. A., Artemyev A. I. 1991. [Environmental studies in the forests of the European North of Russia]. Arkhangelsk. 158 p. (In Russian)
- Burova N. V., Torbik D. N., Feklistov P. A. 2010. [Changes in floristic diversity following selective felling in bilberry spruce forests]. — Lesnoy Vestnik. 5: 49–52. https://www.elibrary.ru/ncrgav (In Russian)
- [Virgin spruce forests of the North: biodiversity, structure, functions]. 2006. St. Petersburg. 337 p. (In Russian)
- Bobkova K. S., Likhanova N. V. 2012. Losses of carbon and mineral nutrients in clear cuttings of spruce forests in the middle taiga. — Russ. J. For. Sci. (Lesovedenie). 6: 44–54. https://www.elibrary.ru/phfzvl (In Russian)
- [Forestry rules and regulations of Chernamsky station of “Tsentrlesproekt” № 6, April 23, 2007]. 2007. Syktyvkar. 72 p. (In Russian)
- Obydyonnikov V. I. 1989. [Formation of fellings and initial stages of forest regrowth in relation to using multi-functional logging machinery]. — In: [Dynamic forest typology]. Moscow. P. 116–129. (In Russian)
- Kryshen A. M. 2005. [On the diversity of plant communities of cuttings in Karelia]. — In: [Problems of forest studies and forest management. Proceedings of 3rd I. S. Melikhov conference]. Arkhangelsk. P. 24–27. (In Russian)
- Leonova N. B., Goryainova I. N. 2011. [Long-term data on the regeneration of forest vegetation on cleracuts of the middle taiga of the Arkhangelsk Region]. — Materialy Moskovskogo gorodskogo otdeleniya Russkogo geograficheskogo obshchestva. Biogeografiya. 16: 21–29. (In Russian)
- Terinov N. N., Andreeva E. M., Zalesov S. V., Lyganskiy N. A., Magasumova A. G. 2020. Restoration of spruce forests: theory, national practice and problems solving. — Lesnoy Zhurnal (Russian Forestry Journal). 3: 9–23. https://doi.org/10.37482/0536-1036-2020-3-9-23 (In Russian)
- Kolesnikov B. P. 1974. Genetic stage in the forest typology and its challenges]. — Lesovedenie. 2: 3–20. (In Russian)
- Pautov Yu. A., Ilchukov S. V. 1992. [Dynamics of the secondary forest stands structure on the fellings of bilberry spruce forests. Scientific papers of the Komi Scientific Centre of the UB RAS]. Iss. 345. Syktyvkar. 24 p. (In Russian)
- Kryshen A. M. 2006. [Plant communities of the fellings in Kqarelia]. Moscow. 262 p. (In Russian)
- Bergstedt J., Milber P. 2001. The impact of logging intensity on field-layer vegetation in Swedish boreal forests. — For. Ecol. Manag. 154(1–2): 105–115. https://doi.org/10.1016/S0378-1127(00)00642-3
- Klimchik G. Ya., Bel’china O. G. 2021. Influence of continuous cutting and uniformally gradual main use cuttings on restoration and living soil cover of bracken-spruce and shamrock-spruce forests in the first years after the cutting. — Lesnoe Khozyajstvo, Prirodopolzovanie i Pererabotka Vozobnovlyaemykh Resursov. 1(240): 5–12. (In Russian)
Supplementary files








