Isotope Effects of Water in Liquid–Vapor Equilibria on Passing to Water–Non-Electrolyte Solvent
- Authors: Lyashchenko A.K.1, Polkovnichenko A.V.1, Kulov N.N.1
 - 
							Affiliations: 
							
- Institute of General and Inorganic Chemistry, N.S. Kurnakov Russian Academy of Sciences
 
 - Issue: Vol 57, No 3 (2023)
 - Pages: 249-251
 - Section: Articles
 - Published: 01.05.2023
 - URL: https://journal-vniispk.ru/0040-3571/article/view/138458
 - DOI: https://doi.org/10.31857/S0040357123030107
 - EDN: https://elibrary.ru/RPGNOS
 - ID: 138458
 
Cite item
Full Text
Abstract
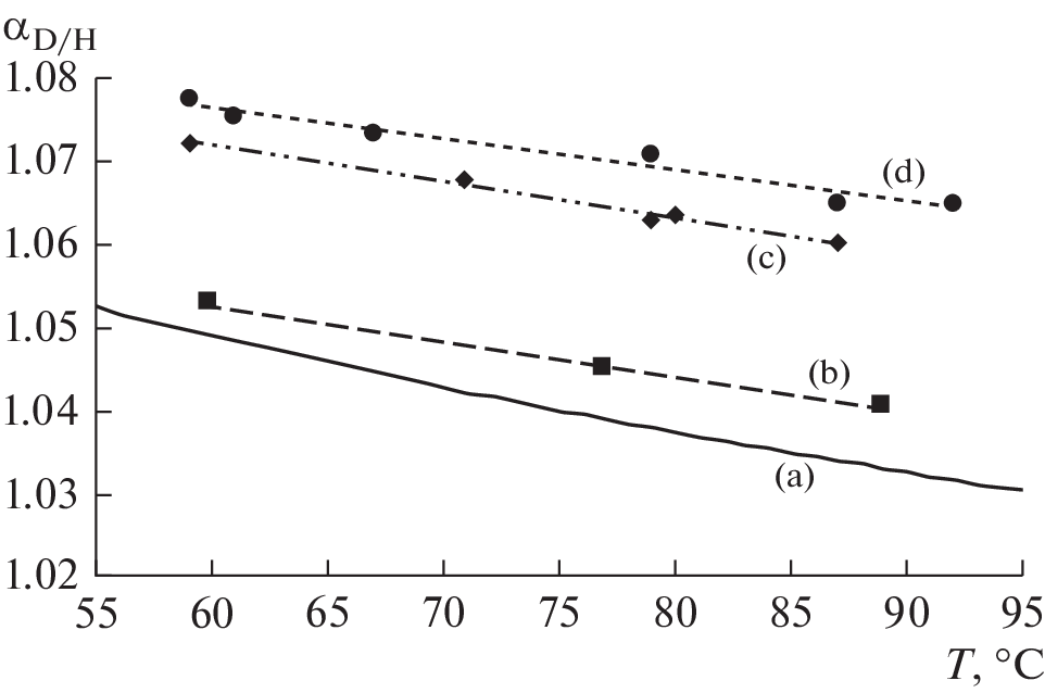
In solutions of non-electrolytes, there is a single network of hydrogen bonds, including molecules of dissolved substances, bound water, bulk water, and hydration shells of molecules in solution. Under certain conditions, there should be correlations between the bulk properties of the liquid mixture and the separation factor of the isotopic forms of water between the liquid and vapor phases. The shift of the isotope equilibrium in the liquid–vapor phase system for water during the transition from water to non-electrolyte solutions is associated with a violation of the degree of bonding and structuredness of the water of the mixed solvent. Using urea solutions as an example, it is shown that this effect can be one of the main ones and can determine the increase in the separation factor of the isotopic forms of water upon passing from water to a solution.
Keywords
About the authors
A. K. Lyashchenko
Institute of General and Inorganic Chemistry, N.S. Kurnakov Russian Academy of Sciences
														Email: aklyas@mail.ru
				                					                																			                												                								 Moscow, Russia						
A. V. Polkovnichenko
Institute of General and Inorganic Chemistry, N.S. Kurnakov Russian Academy of Sciences
														Email: anzakhlevniy@rambler.ru
				                					                																			                												                								 Moscow, Russia						
N. N. Kulov
Institute of General and Inorganic Chemistry, N.S. Kurnakov Russian Academy of Sciences
							Author for correspondence.
							Email: anzakhlevniy@rambler.ru
				                					                																			                												                								 Moscow, Russia						
References
- Lyashchenko A.K. Structure and Structure-Sensitive Properties of Aqueous Solutions of Electrolytes and Nonelectrolytes. In: Advances in Chemical Physics, W. Coffey (Ed.). 2007. P. 379–426
 - Лященко А.К., Серебренников Г.М., Тараненко Н.П. Температурная зависимость сокристаллизации солей из водных растворов // Журн. неорганической химии. 1982. Т. 27. С. 1895–1902
 - Frank H.S., Franks F. Structural Approach to the Solvent Power of Water for Hydrocarbons; Urea as a Structure Breaker // J. Chem. Phys. 1968. V. 48. P. 4746–4757. https://doi.org/10.1063/1.1668057
 - Lyashchenko A.K., Dunyashev V.S., Zasetsky A.Yu. Effects of concentration on the microwave dielectric spectra of aqueous urea solutions // Russian J. Physical Chemistry A. 2017. V. 91. P. 887–893. https://doi.org/10.1134/S0036024417050168
 - Kakiuchi M. Distribution of isotopic water molecules, H2O, HDO, and D2O, in vapor and liquid phases in pure water and aqueous solution systems // Geochim. Cosmochim. Acta. 200. V. 64. P. 1485–1492. https://doi.org/10.1016/S0016-7037(99)00281-1
 - Kulov N.N., Polkovnichenko A.V., Lupachev E.V., Voshkin A.A., Magomedbekov E.P. Distribution of Hydrogen Isotopes between Phases at Vapor–Liquid Equilibrium in Aqueous Salt Solutions // Theoretical Foundations of Chemical Engineering. 2020. V. 54. P. 132–138. [Кулов Н.Н., Полковниченко А.В., Лупачев Е.В., Вошкин А.А., Магомедбеков Э.П. распределение изотопов водорода между фазами при парожидкостном равновесии водных солевых растворов // Теорет. основы хим. техн. 2020. Т. 54. № 1. С. 3–9]https://doi.org/10.1134/S0040579520010108
 - Kulov N.N., Polkovnichenko A.V., Lupachev E.V., Kisel’ A.V., Voshkin A.A., Magomedbekov E.P. Studying the Kinetics of Mass Transfer in the Distillation of Water Hydrogen Isotopes in the Presence of Urea // Theoretical Foundations of Chemical Engineering. 2021. V. 55. P. 207–214. [Кулов Н.Н., Полковниченко А.В., Лупачев Е.В., Кисель А.В., Вошкин А.А., Магомедбеков Э.П. Исследование кинетики процесса массообмена при ректификации изотопов водорода воды в присутствии карбамида // Теорет. основы хим. техн. 2021. Т. 55. № 2. С. 135–142]https://doi.org/10.1134/S0040579521020044
 - Pokalchuk V.S., Magomedbekov E.P., Rastunova I.L., Chebotov A.Yu., Kulov N.N. Estimation of the Separation Coefficient of Oxygen Isotopes in Aqueous Salt Solutions // Theoretical Foundations of Chemical Engineering. 2020. V. 54. P. 1127–1130. [Покальчук В.С., Магомедбеков Э.П., Растунова И.Л., Чеботов А.Ю., Кулов Н.Н. Оценка величины коэффициента разделения изотопов кислорода в водных солевых растворах // Теорет. основы хим. техн. 2020. Т. 54. № 6. С. 663–667.]https://doi.org/10.1134/S0040579520060184
 - Kakiuchi M., Matsuo S. Fractionation of hydrogen and oxygen isotopes between hydrated and free water molecules in aqueous urea solution // J. Phys. Chem. 1985. V. 89. P. 4627–4632. https://doi.org/10.1021/j100267a043
 - Jakli G., van Hook W.A. Isotope effects in aqueous systems. 12. Thermodynamics of urea-h4/water and urea-d4/water-d2 solutions // J. Phys. Chem. 1981. V. 85. P. 3480–3493. https://doi.org/10.1021/j150623a025
 - Horita J., Wesolowski D.J. Liquid-vapor fractionation of oxygen and hydrogen isotopes of water from the freezing to the critical temperature // Geochim. Cosmochim. Acta. 1994. V. 58. P. 3425–3437. https://doi.org/https://doi.org/10.1016/0016-7037(94) 90096-5
 
				
			
					
						
						
						
						
				



