Separation of an Industrial Mixture of Decalin or Naphthalene Fluorination Products. Purification of Perfluoro(7-methylbicyclo[4.3.0]nonane) from Close-Boiling Impurities by Heteroazeotropic Distillation
- Authors: Polkovnichenko A.V.1, Lupachev E.V.1, Kisel’ A.V.1, Kvashnin S.Y.1, Kulov N.N.1
-
Affiliations:
- Kurnakov Institute of General and Inorganic Chemistry RAS
- Issue: Vol 57, No 5 (2023)
- Pages: 495-506
- Section: Articles
- Published: 01.09.2023
- URL: https://journal-vniispk.ru/0040-3571/article/view/138537
- DOI: https://doi.org/10.31857/S0040357123050172
- EDN: https://elibrary.ru/MGWEPC
- ID: 138537
Cite item
Full Text
Abstract
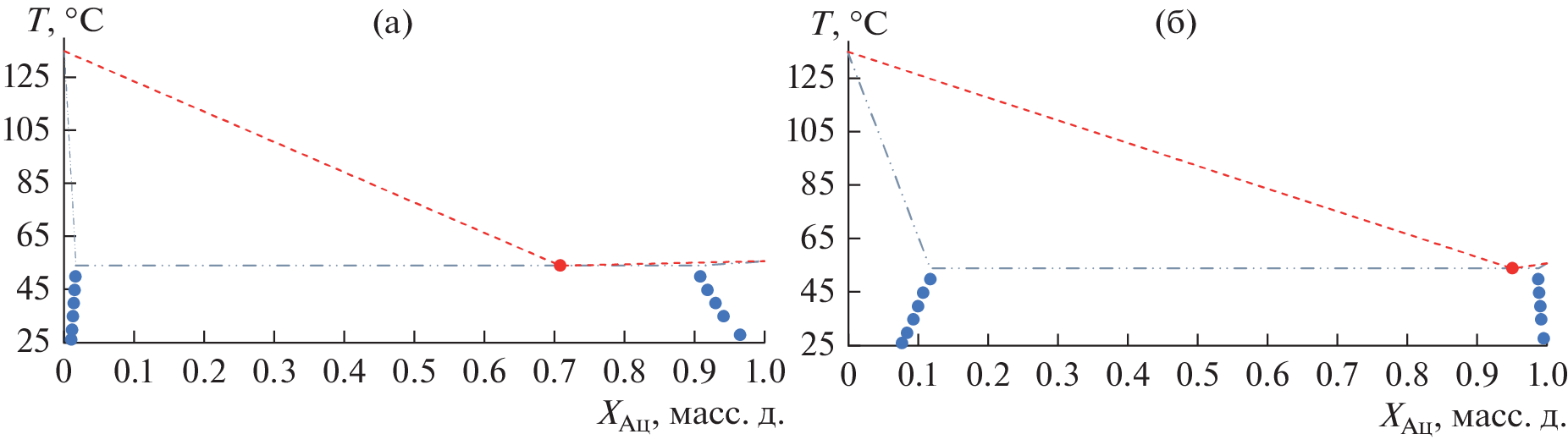
The process of perfluoro(7-methylbicyclo[4.3.0]nonane) (MBCN) purification from an industrial mixture of decalin or naphthalene fluorination products is considered. According to experimental data, distillation separation allows us to concentrate MBCN to a fraction with the target-component content of more than 0.950 wt. fr., after which the process efficiency begins to decrease quickly; upon reaching a concentration of 0.975 wt. fr., separation practically breaks down (the value of the separation coefficient Ksep → 1). The process of purification of MBCN by the method of heteroazeotropic distillation using acetone (Aс) as a separating agent is proposed, the process being realized on a batch semi-industrial distillation column. The method makes it possible to intensify significantly the final stage of purification and to increase the MBCN content from 0.950 to more than 0.998 wt. fr., the mass fraction of the enriched fraction sampling comprises more than 0.85 of the load and the product yield being above 88%. The values of the separation coefficients between the distillate and the bottom product and the coefficients of enrichment for the target and impurity components are given; for the MBСN–Aс binary system, data on the liquid–liquid phase equilibrium and heteroazeotrope characteristics are determined.
About the authors
A. V. Polkovnichenko
Kurnakov Institute of General and Inorganic Chemistry RAS
Email: anzakhlevniy@rambler.ru
Moscow, Russia
E. V. Lupachev
Kurnakov Institute of General and Inorganic Chemistry RAS
Email: egorlu91@gmail.com
Moscow, Russia
A. V. Kisel’
Kurnakov Institute of General and Inorganic Chemistry RAS
Email: egorlu91@gmail.com
Moscow, Russia
S. Ya. Kvashnin
Kurnakov Institute of General and Inorganic Chemistry RAS
Email: egorlu91@gmail.com
Moscow, Russia
N. N. Kulov
Kurnakov Institute of General and Inorganic Chemistry RAS
Author for correspondence.
Email: egorlu91@gmail.com
Moscow, Russia
References
- Aleshinskii V.V., Novikova M.D., Shabalin D.A. Method of Producing Perfluorocycloalkanes // Patent No. RU 2451006 C1. 20 May 2012. https://patents.google.com/patent/RU2451006C1
- Gervits L.L., Snegirov V.F., Makarov K.N., Galakhov M.V., Mukhin V.Yu. Non-Chair Conformation of Cis Isomers of 1,4-Disubstituted Perfluorocyclohexanes // Bull. Acad. Sci. USSR Div. Chem. Sci. 1987. V. 36. P. 2664–2665. https://doi.org/10.1007/BF00957267
- Gervits L.L. Perfluorocarbon-Based Blood Substitutes Russian Experience // Fluor. Med. 21st Century. 1994. Paper 22. P. 1–9. https://www.researchgate.net/publication/350153316_Perfluorocarbon-Based_Blood_Substitutes_Russian_Experience
- Kambur P.S., Pashkevich D.S., Alekseev Yu.I., Yampolskii Yu.P., Alentev A.Yu. Interaction of Perfluorinated Fluids with Fluorine in Gas-Liquid Reactor // Russ. J. Appl. Chem. 2019. V. 92. № 5. P. 661–666. https://doi.org/10.1134/S1070427219050124
- Moshnyag A.V., Khoroshilov A.V., Selivanova D.I., Aksenova D.M. Thermodynamics of Dissolved Nitrogen, Nitrous Oxide, and Ammonia in Perfluorodecalin // Russ. J. Phys. Chem. A. 2017. V. 91. № 11. P. 2117–2120. https://doi.org/10.1134/S0036024417100260
- Moshnyaga A.V., Khoroshilov A.V., Semyashkin M.P., Mel’nikov V.V. Density of N2O Solutions in Perfluorodecalin As a Function of Concentration // Russ. J. Phys. Chem. A. 2018. V. 92. № 4. P. 719–723. https://doi.org/10.1134/S0036024418040222
- Hassanalizadeh R., Nelson W.M., Naidoo P., Ramjugernath D. Measurement and Modeling of the Solubility of Tetrafluoromethane in Either Perfluoroheptane or Perfluorodecalin // J. Chem. Eng. Data. 2020. V. 65. № 10. P. 4862–4868. https://doi.org/10.1021/acs.jced.0c00461
- Deepika D., Pandey S. Density and Dynamic Viscosity of Perfluorodecalin-Added n-Hexane Mixtures: Deciphering the Role of Fluorous Liquids // Liquids. 2023. V. 3. № 1. P. 48–56. https://doi.org/10.3390/liquids3010005
- Polkovnichenko A.V., Lupachev E.V., Kisel’ A.V., Kvashnin S.Ya., Kulov N.N. Perfluoro(7-Methylbicyclo[4.3.0]Nonane) and Perfluoro(Butylcyclohexane): Physicochemical, Thermophysical, and Spectral Data // J. Chem. Eng. Data. 2023. V. 68. № 3. P. 499–517. https://doi.org/10.1021/acs.jced.2c00588
- Wen-Zheng G., Wen-Juan C., Yu-Qing H., Wei-Yuan H. Study on the Vapour Phase Fluorination of Butyl Benzene with Cobalt Trifluoride // Acta Chimica Sinica. 1987. V. 45. № 7. P. 720–723. http://sioc-journal.cn/Jwk_hxxb/EN/Y1987/V45/I7/720
- Hynes A.M., Shenton M.J., Badyal J.P.S. Plasma Polymerization of Trifluoromethyl-Substituted Perfluorocyclohexane Monomers // Macromolecules. 1996. V. 29. № 1. P. 18–21. https://doi.org/10.1021/ma950647h
- Wells A.W., Diehl J.R., Bromhal G., Strazisar B.R., Wilson T.H., White C.M. The Use of Tracers to Assess Leakage from the Sequestration of CO2 in a Depleted Oil Reservoir, New Mexico, USA // Applied Geochemistry 2007. V. 22. №. 5. P. 996–1016. https://doi.org/10.1016/j.apgeochem.2007.01.002
- Tuffin R., Paari O.L., Baker P., Brown C., Sage I.C. Material Combination // Patent No. EP3334801A1. 20 June 2018. https://patents.google.com/patent/EP3334801A1
- Dionisio K.L., Phillips K., Price P.S., Grulke C.M., Williams A., Biryol D., Hong T., Isaacs K.K. The Chemical and Products Database, a Resource for Exposure-Relevant Data on Chemicals in Consumer Products // Scientific Data. 2018. 5. Article number: 180125. https://doi.org/10.1038/sdata.2018.125
- Tuffin R., Paari O.L., Baker P., Brown C., Sage I.C. Material Combination // Patent No. EP3334801B1. 27 May 2020. https://patents.google.com/patent/EP3334801B1
- Moore R.E., Clark L.C. Jr., Miller M.L. Synthesis and Biological Activity of Perfluoroadamantane and Some Closely Related Compounds // International Congress Series. 1979. 486 (Proc. Int. Symp. Perfluorochem. Blood Substitutes). P. 69–79. https://scifinder-n.cas.org/searchDetail/reference/ 64b11cf93459c50ab262f7cc/referenceDetails
- Clark L.C. Jr., Moore R.E. Selecting Perfluorocarbon Compounds for Synthetic Blood // Patent No. US4289499 A. 15 September 1981. https://patents.google.com/patent/US4289499A
- Rirando C.K.J., Robaato E.M. Determination of Critical Solution Temperatures of Perfluorocarbons // Patent No. JP55095868 A. 21 July 1980. https://worldwide.espacenet.com/patent/search/family/ 025491089/publication/JPS5595868A?q =JPS5595868A
- Moore R.E., Clark L.C. Jr. Synthesis and Physical Properties of Perfluorocompounds Useful as Synthetic Blood Candidates // Oxygen Carrying Colloidal Blood Substitutes. 1982. (Int. Symp. Perfluorochem. Blood Substitutes, 5th). P. 50–60. https://scifinder-n.cas.org/searchDetail/reference/ 64b1334c3459c50ab2644c98/referenceDetails
- Chung B.H., Lim, Y.T. Cell Labeling and Imaging Using Multifunctional Perfluorocarbon Nanoemulsion // Patent No. WO2009128610 A2. 22 October 2009. https://patents.google.com/patent/WO2009128610A2
- Cacheris W.P., Richard T.J., Grabiak R.C., Lee A.C. Paramagnetic Complexes of N-Alkyl-N-Hydroxylamides of Organic Acids and Emulsions Containing Same for Magnetic Resonance Imaging (MRI) // Patent No. US5614170A. 25 March 1997. https://patents.google.com/patent/US5614170A
- Ackerman J.L., Clark L.C. Jr., Thomas S.R. Methods for Detecting and Imaging a Temperature of an Object by Nuclear Magnetic Resonance // Patent No. US4558279A. 10 December 1985. https://patents.google.com/patent/US4558279A
- Clark L.C. Jr. NMR Compositions for Indirectly Detecting a Dissolved Gas in an Animal // Patent No. US4775522A. 10 April 1988. https://patents.google.com/patent/US4775522A
- Kulov N.N., Polkovnichenko A.V., Lupachev E.V., Rastunova I.L., Magomedbekov E.P. Fractionation of D/H and 18O/16O Water Isotopes in a Packed Distillation Column // Theor. Found. Chem. Eng. 2020. V. 54. P. 389–396. https://doi.org/10.1134/S0040579520030094
- Polkovnichenko A.V., Lupachev E.V., Kisel’ A.V., Kvashnin S.Y., Kulov N.N. Perfluoro(7-methylbicyclo[4.3.0]-nonane) Purification from Close-Boiling Impurities by Heteroazeotropic Distillation Method. Eng. Proc. 2023, 37, 72. https://doi.org/10.3390/ECP2023-14621
Supplementary files










