Isolation of Ti(IV) Concentrate from Spent Lithium-Ion Batteries
- 作者: Kozhevnikova A.V.1, Uvarova E.S.1,2, Milevskii N.A.1, Zakhodyaeva Y.A.1, Voshkin A.A.1
 - 
							隶属关系: 
							
- Kurnakov Institute of General and Inorganic Chemistry RAS
 - Mendeleev University of Chemical Technology of Russia
 
 - 期: 卷 57, 编号 5 (2023)
 - 页面: 553-562
 - 栏目: Articles
 - ##submission.datePublished##: 01.09.2023
 - URL: https://journal-vniispk.ru/0040-3571/article/view/138544
 - DOI: https://doi.org/10.31857/S0040357123050111
 - EDN: https://elibrary.ru/MFGYFD
 - ID: 138544
 
如何引用文章
全文:
详细
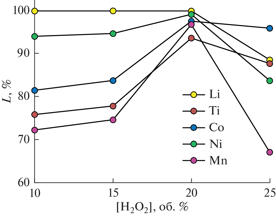
Lithium–titanate anodes are increasingly being used in the manufacturing of lithium-ion batteries due to their advantages in charge/discharge speed and safety of use relative to graphite anodes. The addition of titanium to the battery composition, along with the high content of cobalt and lithium, results in a further growth of their cost, and the reprocessing of such batteries becomes an extremely topical problem. In the framework of the present article, a comparative analysis of the hydrometallurgical reprocessing of batteries containing a lithium-titanate anode and a nickel–manganese–cobalt cathode by leaching with mineral acids (sulfuric and hydrochloric acids) is performed. In the work, the dependences of the leaching degree of the metals from real samples of the anode and cathode in their mixture on the mineral acid concentration, auxiliary additives, and solid : liquid ratio are demonstrated and the temperature and kinetic dependences for this process are obtained. Based on the results of qualitative and quantitative analysis of the leaching solutions, conditions for processing of the leaching process are proposed for further extractive separation. It is demonstrated that two-step successive leaching with hydrochloric and then sulfuric acid with the release of titanium concentrate is optimal. An important aspect of the work is the study of the joint leaching of the cathode and anode, since in the known processes of mechanical processing the stage of their separation is absent.
作者简介
A. Kozhevnikova
Kurnakov Institute of General and Inorganic Chemistry RAS
														Email: yz@igic.ras.ru
				                					                																			                												                								Moscow, Russia						
E. Uvarova
Kurnakov Institute of General and Inorganic Chemistry RAS; Mendeleev University of Chemical Technology of Russia
														Email: yz@igic.ras.ru
				                					                																			                												                								Moscow, Russia; Moscow, Russia						
N. Milevskii
Kurnakov Institute of General and Inorganic Chemistry RAS
														Email: yz@igic.ras.ru
				                					                																			                												                								Moscow, Russia						
Yu. Zakhodyaeva
Kurnakov Institute of General and Inorganic Chemistry RAS
														Email: yz@igic.ras.ru
				                					                																			                												                								Moscow, Russia						
A. Voshkin
Kurnakov Institute of General and Inorganic Chemistry RAS
							编辑信件的主要联系方式.
							Email: yz@igic.ras.ru
				                					                																			                												                								Moscow, Russia						
参考
- IEA (2023), Global EV Outlook 2023, IEA, Paris Https://Www.Iea.Org/Reports/Global-Ev-Outlook-2023, License: CC BY 4.0;
 - Xuan W., de Souza Braga A., Korbel C., Chagnes A. New Insights in the Leaching Kinetics of Cathodic Materials in Acidic Chloride Media for Lithium-Ion Battery Recycling. Hydrometallurgy 2021, 204, 105705, https://doi.org/10.1016/j.hydromet.2021.105705
 - Liu C., Lin J., Cao H., Zhang Y., Sun Z. Recycling of Spent Lithium-Ion Batteries in View of Lithium Recovery: A Critical Review. J. Clean Prod 2019, 228, 801–813, https://doi.org/10.1016/j.jclepro.2019.04.304
 - Shishov A., Chromá R., Vakh C., Kuchár J., Simon A., Andruch V., Bulatov A. In Situ Decomposition of Deep Eutectic Solvent as a Novel Approach in Liquid-Liquid Microextraction. Anal Chim Acta 2019, 1065, 49–55, https://doi.org/10.1016/j.aca.2019.03.038
 - Shishov A., Bulatov A., Locatelli M., Carradori S., Andruch V. Application of Deep Eutectic Solvents in Analytical Chemistry. A Review. Microchemical J. 2017, 135, 33–38, https://doi.org/10.1016/j.microc.2017.07.015
 - Zinov’eva I.V., Fedorov A.Ya., Milevskii N.A., Zakhodyaeva Yu.A., Voshkin A.A. Dissolution of Metal Oxides in a Choline Chloride–Sulphosalicylic Acid Deep Eutectic Solvent. Theoretical Foundations of Chemical Engineering 2021, 55, 663–670, https://doi.org/10.1134/S0040579521040370
 - Abbott A.P., Capper G., Davies D.L., McKenzie K.J., Obi S.U. Solubility of Metal Oxides in Deep Eutectic Solvents Based on Choline Chloride. J. Chem Eng. Data 2006, 51, 1280–1282, https://doi.org/10.1021/je060038c
 - Pateli I.M., Thompson D., Alabdullah S.S.M., Abbott A.P., Jenkin G.R.T., Hartley J.M. The Effect of PH and Hydrogen Bond Donor on the Dissolution of Metal Oxides in Deep Eutectic Solvents. Green Chemistry 2020, 22, 5476–5486, https://doi.org/10.1039/D0GC02023K
 - Cao J., Chen L., Li M., Cao F., Zhao L., Su E. Two-Phase Systems Developed with Hydrophilic and Hydrophobic Deep Eutectic Solvents for Simultaneously Extracting Various Bioactive Compounds with Different Polarities. Green Chemistry 2018, 20, 1879–1886, https://doi.org/10.1039/C7GC03820H
 - Spathariotis S., Peeters N., Ryder K.S., Abbott A.P., Binnemans K., Riaño S. Separation of Iron(III), Zinc(II) and Lead(II) from a Choline Chloride–Ethylene Glycol Deep Eutectic Solvent by Solvent Extraction. RSC Adv 2020, 10, 33161–33170, https://doi.org/10.1039/D0RA06091G
 - Mokhodoeva O., Maksimova V., Shishov A., Shkinev V. Separation of Platinum Group Metals Using Deep Eutectic Solvents Based on Quaternary Ammonium Salts. Sep Purif Technol 2023, 305, 122427, https://doi.org/10.1016/j.seppur.2022.122427
 - Wazeer I., Hizaddin H.F., Hashim M.A., Hadj-Kali M.K. An Overview about the Extraction of Heavy Metals and Other Critical Pollutants from Contaminated Water via Hydrophobic Deep Eutectic Solvents. J. Environ Chem Eng 2022, 10, 108574, https://doi.org/10.1016/j.jece.2022.108574
 - Zinov’eva I.V., Kozhevnikova A.V., Milevskii N.A., Zakhodyaeva Yu.A., Voshkin A.A. Extraction of Cu(II), Ni(II), and Al(III) with the Deep Eutectic Solvent D2EHPA/Menthol. Theoretical Foundations of Chemical Engineering 2022, 56, 221–229, https://doi.org/10.1134/S0040579522020178
 - Ku H., Jung Y., Jo M., Park S., Kim S., Yang D., Rhee K., An E.-M., Sohn J., Kwon K. Recycling of Spent Lithium-Ion Battery Cathode Materials by Ammoniacal Leaching. J. Hazard Mater 2016, 313, 138–146, https://doi.org/10.1016/j.jhazmat.2016.03.062
 - Chen H., Gu S., Guo Y., Dai X., Zeng L., Wang K., He C., Dodbiba G., Wei Y., Fujita T. Leaching of Cathode Materials from Spent Lithium-Ion Batteries by Using a Mixture of Ascorbic Acid and HNO3. Hydrometallurgy 2021, 205, 105746, https://doi.org/10.1016/j.hydromet.2021.105746
 - Zhang P., Yokoyama T., Itabashi O., Suzuki T.M., Inoue K. Hydrometallurgical Process for Recovery of Metal Values from Spent Lithium-Ion Secondary Batteries. Hydrometallurgy 1998, 47, 259–271, https://doi.org/10.1016/S0304-386X(97)00050-9
 - Sun L., Qiu K. Vacuum Pyrolysis and Hydrometallurgical Process for the Recovery of Valuable Metals from Spent Lithium-Ion Batteries. J. Hazard Mater 2011, 194, 378–384, https://doi.org/10.1016/j.jhazmat.2011.07.114
 - Https://Www.Kbkeurope.de/Products-Service/LTO-Battery-for-EV-Bus.
 - Mei J., Cheng E.K.W., Fong Y.C. Lithium-Titanate Battery (LTO): A Better Choice for High Current Equipment. In Proceedings of the 2016 International Symposium on Electrical Engineering (ISEE); IEEE, December 2016; pp. 1–4.
 - Bhar M., Ghosh S., Krishnamurthy S., Kaliprasad Y., Martha S.K. A Review on Spent Lithium-Ion Battery Recycling: From Collection to Black Mass Recovery. RSC Sustainability 2023, https://doi.org/10.1039/D3SU00086A
 - van Dyk J.P., Vegter N.M., Pistorius P.C. Kinetics of Ilmenite Dissolution in Hydrochloric Acid. Hydrometallurgy 2002, 65, 31–36, https://doi.org/10.1016/S0304-386X(02)00063-4
 - Imahashi M., Takamatsu N. The Dissolution of Titanium Minerals in Hydrochloric and Sulfuric Acids. Bull Chem Soc Jpn 1976, 49, 1549–1553, https://doi.org/10.1246/bcsj.49.1549
 - Chen W.-S., Ho H.-J. Recovery of Valuable Metals from Lithium-Ion Batteries NMC Cathode Waste Materials by Hydrometallurgical Methods. Metals (Basel) 2018, 8, 321, https://doi.org/10.3390/met8050321
 - Tang W., Chen X., Zhou T., Duan H., Chen Y., Wang, J. Recovery of Ti and Li from Spent Lithium Titanate Cathodes by a Hydrometallurgical Process. Hydrometallurgy 2014, 147–148, 210–216, https://doi.org/10.1016/j.hydromet.2014.05.013
 - Nguyen T.H., Lee M.S. A Review on the Recovery of Titanium Dioxide from Ilmenite Ores by Direct Leaching Technologies. Mineral Processing and Extractive Metallurgy Review 2019, 40, 231–247, https://doi.org/10.1080/08827508.2018.1502668
 - Zhao Y., Liu B., Zhang L., Guo S. Microwave Pyrolysis of Macadamia Shells for Efficiently Recycling Lithium from Spent Lithium-Ion Batteries. J Hazard Mater 2020, 396, 122740, https://doi.org/10.1016/j.jhazmat.2020.122740
 - Vieceli N., Benjamasutin P., Promphan R., Hellström P., Paulsson M., Petranikova M. Recycling of Lithium-Ion Batteries: Effect of Hydrogen Peroxide and a Dosing Method on the Leaching of LCO, NMC Oxides, and Industrial Black Mass. ACS Sustain Chem Eng 2023, 11, 9662–9673, https://doi.org/10.1021/acssuschemeng.3c01238
 - Kozhevnikova A.V., Zinov’eva I.V., Zakhodyaeva Y.A., Baranovskaya V.B., Voshkin A.A. Application of Hydrophobic Deep Eutectic Solvents in Extraction of Metals from Real Solutions Obtained by Leaching Cathodes from End-of-Life Li-Ion Batteries. Processes 2022, 10, 2671, https://doi.org/10.3390/pr10122671
 
补充文件
				
			
						
						
						
						
					
				







