Модели Навье–Стокса и Дарси–Бринкмана для синтеза микронных частиц магний-цинкового феррита
- Authors: Марков А.А.1
 - 
							Affiliations: 
							
- Институт проблем механики им. А.Ю. Ишлинского РАН
 
 - Issue: Vol 58, No 3 (2024)
 - Pages: 367-381
 - Section: Articles
 - Published: 22.11.2024
 - URL: https://journal-vniispk.ru/0040-3571/article/view/271085
 - DOI: https://doi.org/10.31857/S0040357124030117
 - EDN: https://elibrary.ru/bvqkju
 - ID: 271085
 
Cite item
Full Text
Abstract
Численно исследуются процессы тепло- и массопереноса в прямоточном реакторе при синтезе микронных частиц магний-цинкового феррита (МЦФ). Предлагается новая постановка задачи синтеза МЦФ методом горения углерода, учитывающая переменность проницаемости и пористости смеси частиц реагентов и продукта. Сопоставлены результаты расчетов с применением уравнений Навье–Стокса с распределенным сопротивлением движению газа в порах (модель НС) и уравнений Дарси–Бринкмана (модель ДБ) при одинаковых начальных параметрах. Обсуждаются отличия расчетов указанных моделей при малой и большой проницаемости смеси микронных частиц реагентов. Отмечены режимы, для которых обе модели дают близкие результаты, и режимы значительного отличия в скорости горения и синтеза, обусловленные конвективным механизмом передачи тепла и количества движения в случае переменной пористости. Показано, что более интенсивный перенос тепла в модели НС ускоряет рост удельного объема твердой фазы за счет теплового расширения. Результаты расчетов указывают на важность нестационарных процессов переноса количества движения газа в порах проточного реактора и подтверждают преимущества модели НС в изучении синтеза микронных частиц сложных оксидов методом горения углерода. Исследования проведены для быстро протекающих процессов и ограничены отрезком времени синтеза, который лимитируется начальными концентрациями реагентов.
Full Text
ВВЕДЕНИЕ
Потоки тепла, вещества реагентов и продуктов через пористую среду в реакторах синтеза методом горения быстро меняются со временем, существенно зависят от структуры пористой среды и особенностей межфазного взаимодействия. Отсутствие информации о микроскопической конфигурации фаз делает необходимым использование процедур усреднения по пространству и времени. В работах [1–5] предложены модели усреднения на основе взаимопроникающих континуумов для многофазных сред.
Аналогичный подход усреднения фильтрационных перемещений газа рассмотрен в [6–10], где приводятся библиография моделей фильтрации в различных реакторах. В макромоделях усреднения утраченная детальная информация о микромасштабах, таких как конфигурация межфазных границ, обмен веществом, количеством движения и энергией между текущим газом либо жидкостью и твердой фазой и т.п., присутствует в виде коэффициентов тепло- и массопереноса.
Проницаемость и пористость зоны синтеза частиц твердой фазы зависят от нестационарного, быстро протекающего процесса превращения реагентов газовой и твердой фаз. Размеры пор, как правило, неравномерно распределены в реакторе.
В теоретических исследованиях химических реакторов применяются стационарные модели фильтрации Дарси, Форхгеймера, Бринкмана. Корректировка закона Дарси при достаточно больших скоростях фильтрации, а также в моделях двучленной фильтрации Форхгеймера излагается в [6–10] добавлением к проницаемости различных нелинейных слагаемых порового сопротивления. Прямое моделирование процессов в пористых средах, не использующее усреднение микропроцессов, развивалось в работах [11–14].
Синтез горением СВС (самораспространяющийся высокотемпературный синтез), открытый в 1967 г. А.Г. Мержановым, В.М. Шкиро и И.П. Боровинской [15], интенсивно развивается и в настоящее время [16] для получения широкого спектра новых материалов, включая порошки, продукты из керамики, композиты и др. Теоретические исследования СВС в случае газовой и твердой фаз основаны на применении модели Дарси [8, 9]. В теории гетерогенного горения предложена модель квази-изобарического приближения [17], в которой не требуется задавать начальное поле скоростей.
Характерной особенностью синтеза СВС является самоподдерживающееся распространение экзотермической химической реакции через гетерогенную среду с последующим синтезом целевых конденсированных продуктов. Самораспространяющийся режим гетерогенного горения имеет место и в методе синтеза оксидов при горении углерода (CCSO) [18, 19]. Фильтрационное горение (ФГ) гетерогенных сред экспериментально и теоретически изучено в [20, 21], где можно найти обширную библиографию. Были получены фундаментальные результаты по устойчивости ФГ, изучены пространственные структуры, формирующиеся при ФГ пористых сред. Большая часть теоретических публикаций по ФГ на сегодняшний день основана на фильтрации по закону Дарси.
Модели CCSO развивались в [22–26]. Изучались особенности синтеза микронных частиц при различных величинах параметров подобия для однотемпературной и двухтемпературной моделей [22, 26], исследовались процессы тепловой и массовой дисперсии [23] конденсированной фазы на основе уравнений, полученных методом усреднения по элементарному объему. Различные модели тепловой дисперсии изложены в работах [1–4]. Причиной концентрационной и тепловой дисперсии являются флуктуации массового и теплового потока, тогда как диффузия массы и тепла вызвана случайным молекулярным движением.
Проницаемость и пористость зоны синтеза частиц твердой фазы зависят от нестационарного, быстро протекающего процесса превращения реагентов газовой и твердой фаз. Размеры пор, как правило, неравномерно распределены в реакторе. Процессы уплотнения конденсированной фазы исследовались в [25] для многотемпературной модели реактора искрового плазменного синтеза.
Синтез порошков ферритов для модели скольжения газа, скачков температуры и концентраций компонент газовой фазы на поверхности пор в случае субмикронных частиц рассмотрен в [22] на основе расчетов и экспериментальных измерений.
Классический закон фильтрации Дарси справедлив для малой скорости движения газовой фазы относительно пористой твердой фазы. В работах [7–10] обсуждаются различные приближения при решении уравнения движения газа в порах при малых числах Рейнольдса, вычисленных по размеру диаметра пор. Рассматривается модель эффективной динамической вязкости Брикмана, согласно которой эффективная вязкость отличается от сдвиговой динамической вязкости газа. Обсуждаются обобщения модели Дарси на случай больших чисел Рейнольдса введением нелинейных зависимостей порового сопротивления от скорости фильтрации (двучленный закон фильтрации Форхгеймера) [9].
Обобщенная модель Дарси с учетом эффективной вязкости Брикмана основана на: 1) стационарном уравнении движения газа и 2) на пренебрежении конвективным переносом количества движения. Эти два фактора необходимо учитывать при моделировании CCSO по следующим причинам:
- Характерная продолжительность синтеза мала, лимитируется составом реагентов, размером реактора [22, 23], и поэтому необходимо оценить правомерность квазистационарного приближения.
 - Скорость движения газа резко изменяется в зоне теплового фронта, и поэтому конвективным переносом количества движения газа, вообще говоря, нельзя пренебречь.
 - Расчеты CCSO для микронных и субмикронных частиц удовлетворительно согласуются с экспериментом [22].
 
В данной работе анализируются процессы фильтрации, в которых существенную роль играют нестационарность быстропротекающего синтеза твердых частиц ферритов и конвективный перенос количества движения в газовой фазы при малых числах Рейнольдса. Рассмотрен самораспространяющийся процесс синтеза методом горения. Изучается синтез частиц порядка микрона в случаях, когда расстояние между частицами зависит от переменной пористости. Далее рассматривается стационарная модель Дарси–Бринкмана (ДБ) и нестационарная модель Навье–Стокса (НС) с распределенным сопротивлением в порах. Оценивается различие расчетов фильтрационных моделей ДБ и НС при изменении пористости под влиянием концентрационного и теплового расширения газовой и твердой фазы. Анализируется область параметров фильтрационных процессов CCSO, в которой нельзя пренебречь конвективным переносом количества движения и нестационарностью движения газа.
Основной задачей данной работы является обобщение результатов исследования синтеза ферритов [22] на случай переменной пористости при эффектах тепловой и массовой дисперсии и проведение сравнительного анализа быстро протекающих процессов синтеза микронных частиц ферритов на основе моделей НС и ДБ. В работе сопоставлены результаты расчетов для указанных моделей в задаче о синтезе методом горения углерода частиц магний-цинкового феррита в проточном реакторе при изменении проницаемости и пористости смеси продукта и реагентов в зоне синтеза.
МАТЕМАТИЧЕСКАЯ МОДЕЛЬ
Уравнения моделей НС и ДБ получены осреднением по пространству процессов на микромасштабе с применением результатов [1–3, 7, 9, 23]. Синтез магний-цинкового феррита проводится на основе кинетики [18]. В реакциях для компонент твердой фазы реагенты не смешиваются на молекулярном уровне, диффундируют и движутся в пределах твердой фазы.
Брутто-схема реакции синтеза магний-цинкового феррита задана в виде:
. (1)
Обозначим , , где и – осредненные молярные объемы газовой и твердой фаз, полученные для осредненных величин суммарной молярной плотности null, . Аналогичные величины в начальный момент времени в той же точке реактора отметим верхним индексом ноль: , и м3. Здесь и , и – области, которые занимают газ и твердая фаза, VΩ, м3 – объем области, [1, 9, 23]. Предполагаем, что диаметр области Ω много больше диаметра пор и твердой частицы и много меньше характерного размера . Величины , ρ1g, ρ2g – плотности компонент O2, CO2 газовой фазы, ρg = ρ1g + ρ2g, , , кг·м–3, – характерная плотность газа, кг·мол–1 – молярные массы O2, CO2, Mg = M1g + M2g : , ρ1S, ρ2S, ρ3S, ρ4S, ρ5S, – плотности, MjS – молярные массы, j = 1, ..., 5 компонент твердой фазы, MS = M1S +...+ M2S, , j = 1, ..., 5, кг·мол–1, , = 2267 кг·м–3 – плотность углерода, . Далее символ усреднения опускаем для простоты изложения. Размерные величины имеют верхний индекс “звездочка”, все остальные величины – безразмерные.
Изменение объема газа с начального по текущий момент времени обозначим , положим , где – относительное изменение объема газовой фазы. Воспользуемся соотношениями Дюамеля–Неймана линейной теории термоупругости в форме [28, 29]:
, i, j = 1, 2, 3, , где и – компоненты тензора напряжений и деформаций, , K = 2/3·mS1 + mS2, mS1, mS2 – коэффициенты Ламе, , – характерная величина коэффициента Ламе, , – изотермический модуль всестороннего сжатия, , слагаемые и обозначают относительное изменение объема вследствие концентрационного и температурного расширения компонент твердой фазы, , , , – коэффициент температурного расширения твердой фазы. Величины ωg, ωS оцениваются через молярные объемы, занимаемые компонентами газовой и твердой фаз, и безразмерные доли объемов обеих фаз:
l = 1,2, [30]
с использованием соотношений:
и
,
в которых индекс ноль относится к величинам в начальный момент времени, , – безразмерные доли компонент , – молярные плотности компонент газовой и твердой фаз,
.
Преобразуем отношение объемов , занимаемых газом и твердой фазой в текущий и начальный момент времени, , , .
Имеем
,
– переменная пористость. Отсюда
.
Отношение объемов твердой фазы выразим через инвариант тензора деформаций по формуле [29], тогда . Очевидно, , где χ0 – пористость в начальный момент времени. Используем соотношение для пористости , из которого следует , и в результате находим . Выразим деформации через напряжения [30] в виде . Предполагаем, что нормальное напряжение в твердой фазе вызвано давлением газа на стенки пор , тогда , –давление газа в начальный момент времени, где давление газа , . В результате для пористости получим следующее уравнение:
. (2)
Рассматриваемые модели НС и ДБ включают уравнения сохранения вещества твердой и газовой фаз, уравнения движения газа в порах, уравнения притока тепла, содержащие температуру газовой смеси и температуру твердой фазы [23].
УРАВНЕНИЯ МОДЕЛИ НС
Уравнения сохранения суммарной массы.
, (3)
.
Уравнения сохранения массы компонент .
, (4)
, – массовые доли О2, СО2.
Компоненты тензора массовой дисперсии имеют вид [23]:
,
,
.
Здесь b0, b1 – постоянные, ξ – коэффициент извилистости пор [8, 9].
Уравнения сохранения вещества компонент твердой фазы:
, ,
, ,
, (5)
,
.
Уравнение движения газа в порах:
. (6)
Здесь р – давление газовой фазы, – тензор вязких напряжений, – поровое сопротивление, и – числа Маха и Рейнольдса.
Уравнение баланса тепла в газовой фазе записывается в виде:
. (7)
В правую часть уравнения включен тепловой поток химических превращений , ,
.
Уравнение баланса тепла в твердой фазе имеет вид:
(8)
ГРАНИЧНЫЕ УСЛОВИЯ МОДЕЛИ НС
На входе в зону 1, x = 0; 1 – d < r < 1 задаются массовые потоки JO2, JCO2, JO2 = , , скорость газа uin и поток тепла qf(t), инициирующий горение , , Bmм–2.
Граничное условие имеет вид:
t > 0; x = 0; 1 – d < r < 1:
, ,
∙
.
На входе в зону 2 граничные условия имеют вид
t > 0; x = 0; 0 < r < 1– d:
, ,
,
,
∙ .
Граничные условия на выходе из зон 1 и 2:
t > 0; 0 < x < L; r = 0 :
:
Граничное условие на наружной стенке:
.
Граничные условия на оси симметрии реактора:
.
Рассматриваются следующие условия сопряжения на внутренней границе зон реактора r = 1 – d: поток массы газа, тепловой поток газа меняются непрерывно, температура твердой фазы совпадает с температурой газа.
Предполагается свободный теплообмен на боковой границе r = 1 и на границе x = L выхода из реактора при коэффициенте теплоотдачи αex = 103.
Начальные условия модели НС
В начальный момент времени задаются: температура, плотность компонент газа и нулевая скорость газа в зоне 1 реактора, а также нулевая скорость газа, величины температуры и плотности реагентов газовой и твердой фаз в зоне 2.
УРАВНЕНИЯ МОДЕЛИ ДБ
Уравнение движения газа в модели ДБ, согласно [7, 9], является стационарным, включает: градиент давления, сопротивление движению газа в порах и потерю количества движения на преодоление вязкого трения:
. (9)
Уравнение (9), а также уравнения сохранения массы (3)–(5), изменения пористости (2) и притока тепла (7), (8) применяется в пористом канале, заполненном порошком реагентов и продукта синтеза (канал 2, рис. 1). В канале 1 уравнения сохранения массы газа, движения газа и притока тепла идентичны соответствующим уравнениям модели НС: (4), (6) и (7).
Рис. 1. Схема проточного реактора (а). Показаны две зоны проточного реактора: зона 1 – канал подачи О2, и зона 2 – область смеси частиц углерода, реагентов, продукта синтеза магний-цинкового феррита и компонент газовой смеси. Части второй зоны иллюстрируют подобласти продукта (2а), реагентов (2b) и теплового фронта (2c). (б) сопоставление изменения по времени температуры газа на оси симметрии реактора в точке с координатами . Расчет – сплошная линия, эксперимент – символы [22].
ГРАНИЧНЫЕ УСЛОВИЯ МОДЕЛИ ДБ
Отметим, что уравнения в моделях НС и ДБ отличаются в зоне 2 G2 = {0 < x < L; 0 < r < – d} реактора (рис. 1). На границе t > 0; x = 0; 0 < r < 1 – d в модели ДБ скорость газа определяется, остальные граничные условия те же, что в модели НС. Условия сопряжения на границе r = 1 – d совпадают с условиями сопряжения в модели НС.
НАЧАЛЬНЫЕ УСЛОВИЯ МОДЕЛИ ДБ
В начальный момент времени задаются: температура, плотность компонент газа и нулевая скорость газа в зоне 1 реактора, начальная скорость в зоне 2 не задается, т.к. уравнение (9) стационарно.
В формулах (3)–(9) используются обозначения:
, , , u – вектор скорости газа, и – осевая и радиальная компоненты скорости, x, r – осевая и радиальная переменные в цилиндрических координатах, – характерная скорость газа. , теплоемкость газа, , D*м2с–1 – коэффициент диффузии, , k0 – коэффициент теплоотдачи, , .
Tg, TS ∙ K – температура газа и твердой фазы, , , , p = ρg(1 + βTg) – давление газа, – безразмерный параметр, характеризующий энергию активации, R*, E* – газовая постоянная, энергия активации, тепловой эффект горения, – теплоемкости, – коэффициенты теплопроводности, , Ma, Re – числа Маха и Рейнольдса, , , PeT, Pe1 – тепловое и диффузионное число Пекле, , , , индекс air относится к параметрам для воздуха при нормальных условиях, A* = 0.015 м2 – характерная площадь реактора, – характерный объем реактора, – характерный радиус частицы, [22], – средний радиус поры, – переменная проницаемость [9], – характерная проницаемость, – безразмерная проницаемость, – величина проницаемости в начальный момент времени, rpor – варьируемый в расчетах безразмерный параметр при вычислении проницаемости kf0.
Коэффициент теплоотдачи в газовой фазе описывается с помощью формулы Левека [31] в виде , где , – локальные числа Рейнольдса и Пекле [26].
РЕЗУЛЬТАТЫ И ИХ ОБСУЖДЕНИЕ
Был применен метод конечных элементов с неравномерным распределением и сгущением в зонах больших градиентов [23, 26]. Развитый метод апробировался также в задачах спинового горения и позволил выявить сложные структуры тепловых полей [32]. Точность результатов моделирования проверялась с использованием различных сеток и адаптации сетки в зоне больших градиентов. Результаты были подтверждены сгущением сетки. Использовались сетки Ncel = 13233 и Ncel = 52927 расчетных ячеек, получена близкая скорость движения фронта горения, скорость синтеза, распределения полей температуры и других искомых величин для различных сеток.
Инициация горения производится тепловым потоком где Qf = 1200. Представленные результаты вычислений синтеза феррита при горении углерода в порах микронного размера проведены при следующих безразмерных параметрах:
β ≈ 0.24, γ ≈ 0.288, JO2 = 100, Ma = 0.2, Qf = 600, Q = 60, , , ζ = 1.5, 0.001 ≤ kf ≤ 0.02, 0.05 0.05 ≤ x ≤ 0.9.
На рис. 1–10 независимые переменные изменяются в интервале 0 ≤ r ≤ 1, 0 ≤ x ≤ 5.
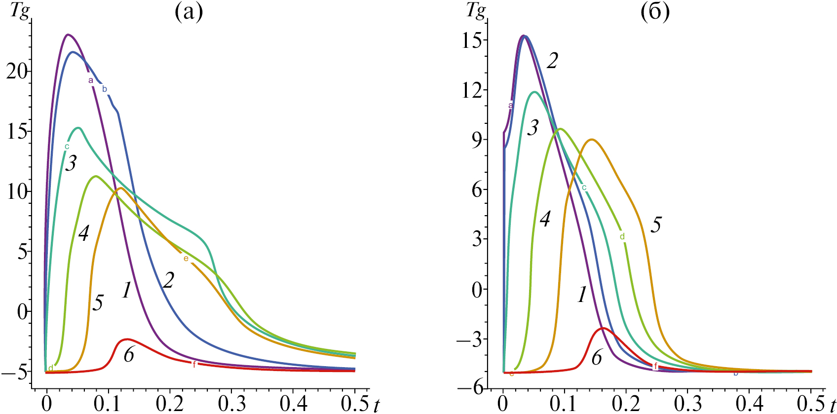
Рис. 2. Зависимость от времени температуры газа при постоянной пористости х = 0.05 для постоянной проницаемости kf0 = 0.02. Линии 1–6 относятся соответственно к точкам на оси симметрии х = 0, 0.1, 0.5, 1.0, 1.5, 2.0. Расчет по модели НС – (а) и расчет по модели ДБ – (б).
Рис. 3. Изменение от времени плотности Mg0.25Zn0.75Fe2O4(t, x, 0), отнесенной к (1–x) для постоянных проницаемости kf0 = 0.02 и пористости x = 0.05. Линии 1–6 относятся соответственно к точкам на оси симметрии для значений координаты x = 0, 0.1, 0.5, 1.0, 1.5, 2.0. Расчет по модели НС – (а) и расчет по модели ДБ – (б).
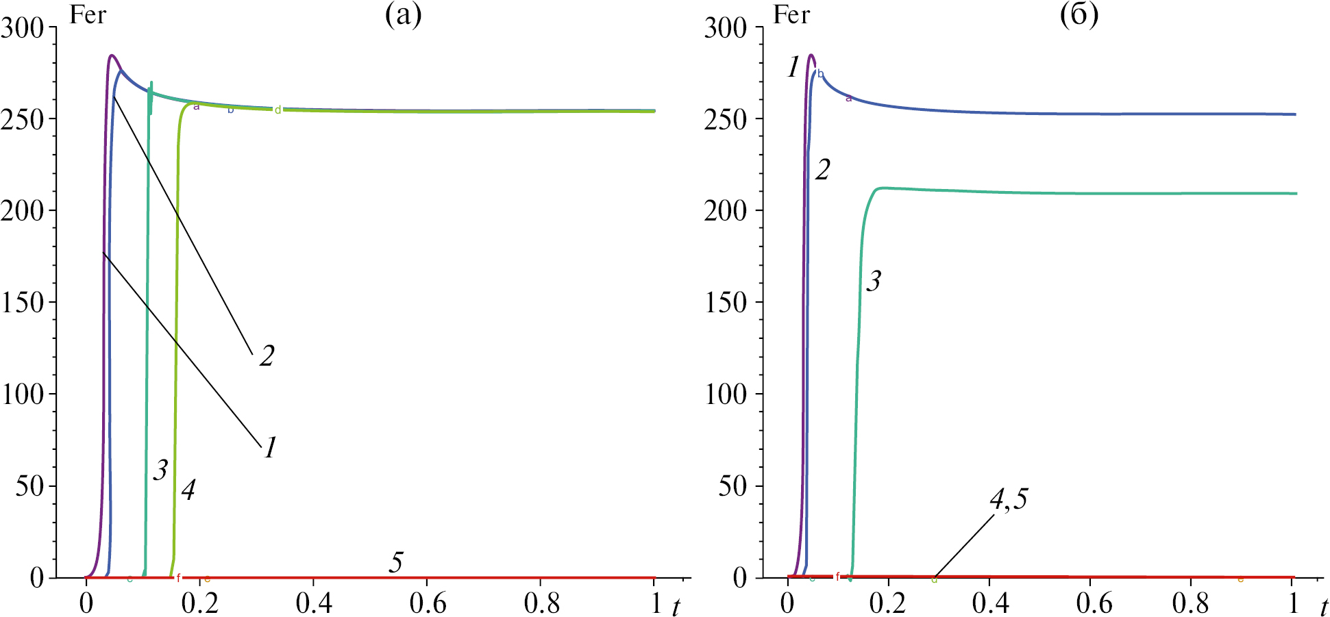
Рис. 4. Плотность продукта синтеза Mg0.25Zn0.75Fe2O4(t, x, r), отнесенная к (1 – x) для постоянных проницаемости kf0 = 0.02 и пористости x – 0.05 в момент времени t = 0.5. Расчет по модели НС – (а) и расчет по модели ДБ – (б), палитра распределения (а)–(а1) и палитра (б)–(б1).
Рис. 5. Продольная компонента скорости газа u(t, x, r) в момент времени t = 0.5 для проницаемости kf0 = 0.02 при x = 0.05. Расчет по модели НС – (а) и расчет по модели ДБ – (б), палитра распределения (а)–(а1) и палитра (б)–(б1).
Рис. 6. Зависимость от времени температуры газа для начальных проницаемости kf0 = 0.02 и пористости x0 = 0.6. Расчет по модели НС – (а), расчет по модели ДБ – (б). Линии 1–6 относятся соответственно к точкам на оси симметрии x = 0, 0.1, 0.5, 1.0, 1.5, 2.0.
Рис. 7. Температура газа Tg(t, x, r) в момент времени t = 0.125. Расчет по модели НС – (а), расчет по модели ДБ – (б), палитра распределения (а)–(а1) и палитра (б)–(б1).
Рис. 8. Пористость x(t, x, r) в момент времени t = 0.125 – (а) и (б) и в момент времени t = 1 – (в) и (г). Расчет по модели НС – (а) и (в) и по модели ДВ –(б) и (г), палитра пористости – (д).
Рис. 9. Плотность реагента MgCO3(1, x, r) – (а) и (б) и плотность продукта синтеза Mg0.25Zn0.75Fe2O4(1, x, 0) – (в) и (г), отнесенные к 1 – x (t, x, r) в момент времени t = 1; расчет по модели НС – (а) и (в), расчет по модели ДБ – (б) и (г), палитра распределений (а) и (б)–(а,б), палитра (в) и (г)–(в,г).
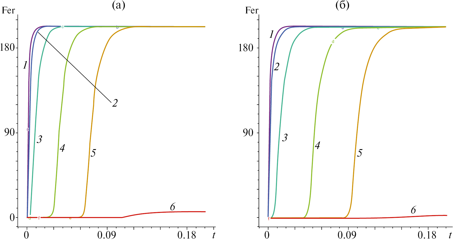
Рис. 10. Динамика синтеза феррита: (а) – расчет по модели НС и (б) – расчет по модели ДБ. Зависимость от времени плотности Mg0.25Zn0.75Fe2O4. Линии 1–5 относятся соответственно к точкам на оси симметрии с координатами x = 0, 0.1, 0.5, 1.2.
Проточный реактор, схематически изображенный на рис. 1а, включает зону 1 – канал подачи О2 и зону 2 – область смеси газа и компонент твердой фазы, включающей смесь частиц углерода, реагентов и продукта синтеза магний цинкового феррита. Части второй зоны (рис. 1а), иллюстрируют подобласти продукта (2а), реагентов (2б) и теплового фронта (2в). Фронт горения распространяется слева направо. В процессе движения фронта образуется СО2 и поток смеси О2 и СО2 (рис. 1а).
На рис. 1б приведено сопоставление расчета синтеза микронных частиц феррита на основе уравнений Навье–Стокса и эксперимента, опубликованных в работе [22]. Приведено изменение от времени температуры газа на оси симметрии реактора в точке с координатами (0.03). Расчет – сплошная линия, эксперимент – символы. Можно отметить удовлетворительное согласие результата моделирования CCSO с данными измерений [22].
На рис. 2–5 приведены результаты расчетов при постоянной пористости. Показано сравнение моделей НС и ДБ при большой безразмерной проницаемости. Результаты расчета при переменной пористости kf = 0.02 и Hi0 = 0.6 для начальной величины представлены на рис. 6–10.
Отметим более высокие максимумы температуры и более протяженные области нагретого газа в модели НС в сравнении с моделью ДБ (рис. 2). Эти отличия можно объяснить более быстрым подводом окислителя в зону горения. Указанный эффект превалирующего конвективного переноса тепла в модели НС имеет место также при малой проницаемости.
Сравнение динамики синтеза по расчетам модели НС и ДБ, показанное на рис. 3, иллюстрирует скорость приближения плотности феррита к одинаковым стационарным значениям на оси симметрии реактора. Оказалось, что для модели ДБ скорость синтеза на оси симметрии примерно на 25–30% меньше, чем для расчета по модели НС.
Сравнение распределений плотности микронных частиц магний-цинкового феррита, показанное на рис. 4, приводит к заключению, что скорость синтеза по модели НС на 25–30% выше, чем по модели ДБ. С уменьшением проницаемости различие скорости синтеза по моделям НС и ДБ уменьшается и составляет менее 1% при kf = 0.001.
Имеет место качественное и количественное отличие скорости газа при расчетах на основе моделей НС и ДБ, представленное на рис. 5, на примере распределения продольной скорости газа.
Исследовалось также влияние проницаемости на скорость газа по расчетам модели НС и ДБ. С ростом проницаемости увеличивается продольная скорость газа, например максимум скорости в зоне синтеза для модели ДБ равен 1.8 и 3.5 при kf = 0.001 и kf = 0.02.
Результаты расчетов динамики температуры газа при переменной пористости иллюстрируются на рис. 6. Максимумы температуры газа на оси симметрии в области около инициации горения (линии 1, 2) примерно на 30% выше для расчета по модели НС, чем по модели ДБ. Прогрев по модели НС проходит быстрее, чем по модели ДБ. Например, максимум температуры НС (линия 3) при х = 0.5 более чем в пять раз выше, чем по модели ДБ.
Распределение температуры газа Tg(t, x, r) в момент времени t = 0.125 на рис. 7 иллюстрирует двукратное превышение температуры газа для модели НС, в сравнении с расчетом модели ДБ. Это отличие связано с конвективным переносом и нестационарностью уравнения скорости газа модели НС. Отметим, что превалирующий перенос тепла в модели НС для переменной пористости значительно больше, чем для постоянной пористости, как отмечено выше на рис. 2.
Распределение пористости x(t, x, r) в момент времени t = 0.125 и t = 1 представлено на рис. 8 по результатам расчета модели НС и ДБ. Процесс уплотнения протекает существенно быстрее для модели НС. Например, скорость уплотнения в модели НС более чем вдвое выше скорости уплотнения по модели ДБ (рис. 8в и г).
Более чем в два раза быстрее происходит также и синтез по модели НС (рис. 9). Это увеличение скорости синтеза показано распределениями плотности реагента MgCO3(1, x, r) (рис. 9а и б) и плотности продукта синтеза Mg0.25Zn0.75Fe2O4(1, x, r) (рис. 9в и г).
Зависимости от времени плотности феррита (линии 1, 2 на рис. 10а и б) для переменной пористости указывают на близость результатов расчета по моделям НС и ДБ вблизи входного сечения реактора, однако по мере удаления от входа в реактор стационарные величины плотности феррита в расчете по модели ДБ оказываются существенно меньше, чем в модели НС (ср. линию 3 на рис. 10а и б). Недостаточность конвективного переноса тепла в модели ДБ блокирует синтез при удалении от входного сечения. В результате плотность продукта синтеза остается равной нулю, в отличие от стационарных величин в модели НС (ср. линию 4 на рис. 10а и б).
Таким образом, в проведенном исследовании получено качественное и количественное отличие результатов расчета по моделям НС и ДБ динамики прогрева (рис. 2, 6, 7), скорости конвективного переноса количества движения газовой фазы (рис. 5), распределения плотности реагента и продукта синтеза магний-цинкового феррита (рис. 3, 4, 9, 10). Главной причиной отличия результатов НС и ДБ является механизм нелинейного конвективного переноса количества движения и зависимость от времени уравнений движения газа в модели НС, в то время как в модели ДБ уравнения движения газа стационарны и не содержат конвективной составляющей переноса количества движения. Сопоставлены результаты расчетов на основе моделей НС и ДБ при переменной пористости в процессе уплотнения от пористости 0.6 до 0.2 (рис. 8), иллюстрирующие увеличение скорости уплотнения в модели НС. Динамика синтеза на примере зависимости от времени плотности феррита показана на рис. 10. Сравнивая линии 1–4, можно видеть отличие моделей НС и ДБ в расчете формирования стационарной плотности продукта синтеза в процессе уплотнения.
ЗАКЛЮЧЕНИЕ
Представлены результаты исследования синтеза частиц ферритов при горении углерода в проточном реакторе на основе новой постановки задачи самосогласованного влияния переменной пористости и воздействия тепловой и массовой дисперсии. Проведены исследования быстро протекающих процессов тепло- и массопереноса для синтеза микронных частиц магний-цинкового феррита. Исследование ограничено малым отрезком времени, который лимитируется начальными концентрациями реагентов.
Сопоставлены результаты расчетов при одинаковых начальных параметрах с применением модели уравнений Навье–Стокса с распределенным сопротивлением движению газа в порах (модель НС) и уравнений Дарси–Бринкмана (модель ДБ). Получены области параметров, при которых результаты расчетов процесса синтеза на основе моделей НС и ДБ отличаются менее чем на 25%, и область параметров, при которых отличие более 50%. Показано, что более интенсивный перенос тепла в модели НС ускоряет рост удельного объема твердой фазы за счет теплового расширения. Исследованы режимы работы реактора, для которых имеет место превалирующая скорость синтеза в расчетах по модели НС в сравнении с моделью ДБ. Отмеченные эффекты наиболее сильно выражены в расчетах моделей НС и ДБ с переменной пористостью и не превышают 25–30% при постоянной пористости. Влияние переменной пористости на динамику синтеза обусловлено концентрационным и тепловым расширением, приводящим к изменению во времени и пространстве реактора удельных объемов газовой и твердой фаз. Процесс изменения удельного объема газовой фазы протекает быстрее по расчетам в модели НС, чем в модели ДБ. Результаты расчетов указывают на важность нестационарных процессов переноса количества движения газа в порах проточного реактора и подтверждают преимущества модели НС в изучении синтеза микронных частиц сложных оксидов методом горения углерода.
Работа выполнена по теме государственного задания № 124012500440-9.
ОБОЗНАЧЕНИЯ
A*  | характерная площадь реактора, м2  | 
MgCO3  | карбонат магния  | 
ZnO  | оксид цинка  | 
Fe2O3  | оксид железа  | 
Mg0.25Zn0.75Fe2O4  | магний-цинковый феррит  | 
Blg, BkS  | доли компонент Ylg, YkS, l = 1,2; k = 1,...,5  | 
b0, b1  | константы зависимости тензоров дисперсии от локального числа Пекле  | 
c*p  | характерная теплоемкость газовой фазы при постоянном давлении, Дж·кг–1·К–1  | 
безразмерные теплоемкости твердой и газовой фазы  | |
массовые доли газовых компонент  | |
молярные доли (концентрации) газовых компонент  | |
молярные доли (концентрации) компонент твердой фазы  | |
–  | характерная величина коэффициента диффузии, м2с–1  | 
D = D*/D0*  | коэффициент диффузии  | 
дисперсионный тензор диффузии массы, м2с–1  | |
DL, DTr  | компоненты продольной и поперечной дисперсии массы  | 
dp  | диаметр частиц  | 
dpor  | диаметр поры  | 
DTg  | дисперсионный тензор диффузии тепла  | 
E*  | энергия активации, Дж·мол–1  | 
I  | единичный тензор  | 
JiS,i = 1,...5  | массовые потоки  | 
k  | частотный фактор в формуле Аррениуса  | 
K  | изотермический модуль всестороннего сжатия  | 
характерная проницаемость, м2  | |
kf  | проницаемость  | 
величина проницаемости в начальный момент времени, м2  | |
переменная проницаемость  | |
характерный размер, м  | |
Ma  | число Маха  | 
характерная молярная масса, кгмол–1  | |
M1g, M2g  | молярные массы газовых компонент  | 
MjS, j = 1,...5  | молярные массы твердых компонент  | 
характерное давление Па,  | |
p  | давление газа  | 
Pe1  | диффузионное число Пекле  | 
Pe1t, Pe2t  | локальные числа Пекле для продольной и поперечной дисперсии тепла  | 
PeTg, PeTs  | тепловые числа Пекле для газовой и твердой фазы,  | 
Q*  | тепловой эффект химической реакции Дж·кг–1  | 
Q  | теплота химической реакции,  | 
средний радиус поры, м  | |
Re  | число Рейнольдса  | 
Reloc, PeTloc  | локальные числа Рейнольдса и Пекле,  | 
SV  | слагаемое распределенного сопротивления газа в порах  | 
Tg, TS  | характерная температура, К  | 
Tg, TS  | температура газа и твердой фазы, ,  | 
характерное время, с  | |
t  | время, с  | 
Vg  | молярный объем газовой фазы  | 
VS  | молярный объем твердой фазы  | 
молярные плотности компонент газовой фазы  | |
молярные плотности компонент твердой фазы  | |
суммарная молярная плотность газовой фазы  | |
суммарная молярная плотность твердой фазы  | 
Греческие буквы
αig, αiS  | коэффициенты концентрационного расширения  | 
αT αex  | коэффициент температурного расширения твердой фазы коэффициент теплоотдачи  | 
β  | безразмерный параметр энергии активации горения  | 
Ɛij  | тензор деформаций β = RT0/E  | 
, j = 1, 2  | массовые плотности компонент газовой фазы, кг·м–3  | 
, l = 1,...,5  | массовые плотности компонент C, MgCO3, ZnO, Fe2O3, Mg0.25Zn0.75Fe2O4 твердой фазы, кг·м–3  | 
первый инвариант тензора деформаций  | |
σij –  | тензор напряжений  | 
соотношения термоупругости между инвариантами  | |
обобщенные соотношения Дюамеля–Неймана  | |
характерная величина коэффициента теплопроводности Вт м–1 K–1  | |
λg, λS  | безразмерные коэффициенты теплопроводности газовой и твердой фаз  | 
коэффициент динамической вязкости газа, кгм–1с–1  | |
коэффициенты Ламе  | |
характерная величина коэффициента Ламе, Па  | |
молярный объем компонента газовой фазы  | |
молярный объем компонента твердой фазы  | |
коэффициент теплоотдачи, ВтК–1м–2  | |
коэффициент теплоотдачи  | |
х  | коэффициент пористости  | 
х0  | начальная пористость,  | 
ζ  | коэффициент извилистости пор  | 
αjg, αkS  | коэффициенты концентрационного расширения, ,  | 
αT  | линейный коэффициент теплового расширения твердой фазы,  | 
ω = ωT + ωg + ωS  | относительное изменение объема  | 
ИНДЕКСЫ
Нижние индексы
air  | величина для воздуха при нормальных условиях  | 
i, j, k  | номера компонент  | 
-loc ex  | локальное значение переменной внешняя граница  | 
g  | газовая фаза  | 
S  | твердая фаза  | 
T  | тепловой параметр  | 
0  | характерное значение переменной либо начальная величина  | 
Верхний индекс
*  | используется для размерных переменных  | 
About the authors
А. А. Марков
Институт проблем механики им. А.Ю. Ишлинского РАН
							Author for correspondence.
							Email: markov.ipm@yandex.ru
				                					                																			                												                	Russian Federation, 							Москва						
References
- Quintard M., Whitaker S. Theoretical analysis of transport in porous media. Marcel Dekker, New York. 2000. 70 p.
 - Whitaker S. Transport equations for multi-phase systems // Chem. Eng. Sci. 1973. V. 28. P. 139.
 - Fatehi M., Kaviany M. Role of gas-phase reaction and gas-solid thermal nonequilibrium in reverse combustion // Int. Heat Mass. Transfer. 1997. V. 11. P. 2607.
 - Oliveira A.A.M., Kaviany M. Nonequilibrium in the transport of heat and reactants in combustion in porous media // Prog. Energy Combustion Sci. 2001. V. 27. P. 523.
 - Pereira F.M., Oliveira A.A.M., Fachini F.F. Theoretical analysis of ultra-lean premixed flames in porous inert media // J. Fluid Mech. 2010. V. 657. P. 285.
 - Yasuaki I., Selvadurai A.P.S. Transport phenomena in porous media aspects of micro/macro behavior. N-Y: Springer, 2015. 383 p.
 - https://doi.org/10.1007/978-3-642-25333-1
 - Nield D.A., Bejan A. Convection in porous media. N-Y: Springer, 2013. 778 p.
 - https://doi.org/10.1007/978-1-4614-5541-7
 - Леонтьев Н.Е. Основы теории фильтрации. М.: МГУ, 2009. 87 с.
 - Scheidegger A.E. The physics of flow through porous media. University of Toronto Press.1974. 353 p.
 - Шарфарец Б.П., Курочкин В.Е. К вопросу о подвижности частиц и молекул в пористых средах // Научное приборостроение. 2015. Т. 25. № 4. С. 43.
 - Betelin V.B., Galkin V.A., Shpilman A.V., Smirnov N.N. Digital core simulator – a promising method for developing hard-to-recover oil reserves technology // Materials Physics and Mechanics. 2020. V. 44. P. 186.
 - Debenest G., Guibert R., Horgue P., Yang C. Numerical simulation of solid combustion in microporous particles // Front. Chem. 2020. V. 8. 510686. https://doi.org/10.3389/fchem.2020.510686
 - Yang C., Debenest G. Numerical simulations for smoldering in a horizontal channel: comparisons between variable density-based formulation and incompressible one // Combust. Sci. Technol. 2014. V. 186. P. 1954. https://doi.org/10.1080/00102202.2014.930028
 - Brinkman H.A. A calculation of the viscous force exerted by a flowing fluid on a dense swarm of particles // Appl. Sci. Res. 1949. V. 1. P. 27. https://doi.org/10.1007/BF02120313
 - Мержанов А.Г., Шкиро В.М., Боровинская И.П. Способ получения неорганических соединений. Авторское свидетельство СССР № 255221. 1967 // Бюллетень изобретений. 1975. № 26. С. 29.
 - Varma A., Rogachev A.S., Mukasyan A.S., Hwang S. Combustion synthesis of advanced materials // Adv. Chem. Eng. 1998. V. 24. P. 79.
 - Шкадинский К.Г. Квази-изобарическое приближение в теории горения // Химическая физика. 2014. Т. 33. № 6. С. 42.
 - Martirosyan K.S., Luss D. Carbon combustion synthesis of oxides: process demonstration and features // AIChE J. 2005. V. 51. № 10. P. 2801.
 - Martirosyan K.S., Luss D. Carbon combustion synthesis of ferrites: synthesis and characterization // Ind. Eng. Chem. Res. 2007. V. 46. P. 1492.
 - Алдушин А.П., Мержанов А.Г. Теория фильтрационного горения: общие представления и состояние исследований // Распространение тепловых волн в гетерогенных средах. Новосибирск: Наука. 1988. С. 9.
 - Алдушин А.П., Ивлева Т.П. Моделирование гидродинамической неустойчивости фильтрационного режима распространения фронта горения в пористой среде // Физика горения и взрыва. 2015. Т. 51. № 1. С. 125.
 - Markov A.A., Hobosyan M.A., Martirosyan K.S. Simulation of heat and mass transfer in pores as applied to synthesis of magnesium-zinc and nickel-zinc ferrite nanoparticles // Nanomech. Sci. Technol: An Int. J. (Begel House Inc.). 2015. V. 6. Iss. 3. P. 209. https://doi.org/10.1615/NanomechanicsSciTechnolIntJ.v6.i3.40
 - Markov А.А. On thermal and mass dispersion effect on barium titanate synthesis via CCSO // Phys.-Chem. Kin. Gas Dyn. 2019. V. 20. № 4. P. 1. http://doi.org/10.33257/PhChGD.20.4.870
 - Марков А.А. Эффект теплового и концентрационного расширения при синтезе титаната бария в прямоточном реакторе // Теорет. основы хим. Технологии. 2021. Т. 55. № 5. С. 929. [Markov A.A. Thermal and concentration expansion in the synthesis of Barium Titanate in a once-through reactor // Theor. Found. Chem. Eng. 2021. V. 55. № 5. P. 929.]
 - Markov A.A. Multitemperature model of a sps reactor for the synthesis and densification of zirconium nitride // Phys.-Chem. Kin. Gas Dyn. 2021. V. 22. № 6. http://chemphys.edu.ru/issues/2021-22-6/articles/962/
 - Марков А.А., Filimonov I.A., Martirosyan K.S. Carbon combustion synthesis of oxides: effect of Mach, Peclet, and Reynolds numbers on gas dynamics // Int. J. Self Prop. High Temp. Synthesis. 2013. V. 22. № 1. P. 11.
 - Марков А.А., Филимонов И.А., Мартиросян К.С. Моделирование синтеза сложных оксидов субмикронной дисперсности // Теор. осн. хим. технол. 2017. Т. 51. № 1. С. 31. [Markov A.A., Filimonov I.A., Martirosyan K.S. Modeling of submicron complex oxides synthesis // Theor. Found. Chem. Eng. 2017. V. 51. № 1. P. 27.]
 - Боли Б., Уэйнер Дж. Теория температурных напряжений. М.: Мир, 1964.
 - Сорокова С.Н., Князева А.Г. Связанная модель спекания порошков системы Ti–TiAI3 // Изв. Томск. политех. унив. 2009. Т. 314. № 2. С. 96.
 - Князева А.Г., Романова В.А., Поболь И.Л. Поле напряжений в диффузионной зоне соединения, получаемого электронно-лучевой пайкой // Физическая мезомеханика. 2001. Т. 4. № 5. С. 41.
 - Франк-Каменецкий Д.А. Диффузия и теплопередача в химической кинетике. М.: Наука, 1987. 491 c.
 - Марков А.А., Филимонов И.А. Нестационарные структуры спирального горения на поверхности // Физ.-хим. кинет. газов. дин. 2021. Т. 22. № 3. http://chemphys.edu.ru/issues/2021-22-3/articles/938/
 
Supplementary files
				
			
					
						
						
						
						
				











