Моделирование тепломассопереноса на затупленных телах в условиях аэродинамического нагрева высокоскоростных летательных аппаратов
- Авторы: Формалев В.Ф.1, Гарибян Б.А.1, Колесник С.А.1
-
Учреждения:
- Московский авиационный институт (Национальный исследовательский университет)
- Выпуск: Том 61, № 3 (2023)
- Страницы: 398-404
- Раздел: Статьи
- URL: https://journal-vniispk.ru/0040-3644/article/view/232653
- DOI: https://doi.org/10.31857/S0040364423030092
- ID: 232653
Цитировать
Полный текст
Аннотация
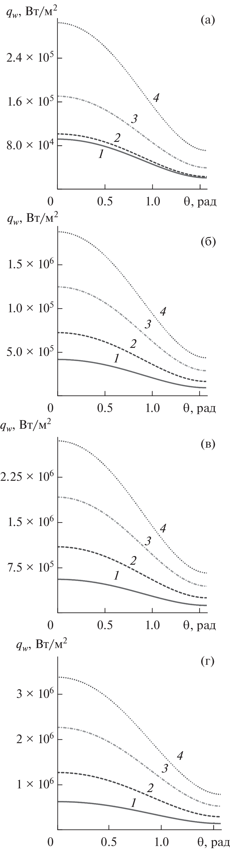
Рассматривается тепломассоперенос между диссоциирующим пограничным слоем и поверхностью затупленных носовых конусов высокоскоростных летательных аппаратов в широком диапазоне чисел Маха. C использованием переменных Дородницына–Лиза система уравнений пограничного слоя сведена к системе нелинейных обыкновенных дифференциальных уравнений. С помощью обоснованных допущений получены приближенно-аналитические решения для динамического, теплового и диффузионного пограничных слоев, позволившие определить тепловые и диффузионные тепловые потоки, которые на границе газ–твердое тело сопряжены с уравнением теплопроводности в теле с параметром сопряжения в виде температуры границы газ–твердое тело. По найденным тепловым потокам определены температурные поля в теле в широком диапазоне чисел Маха набегающего потока и коэффициента каталитической рекомбинации. Полученные тепловые потоки на лобовой части носового конуса в точности совпадают с экспериментальными данными.
Об авторах
В. Ф. Формалев
Московский авиационный институт (Национальный исследовательский университет)
Email: formalev38@yandex.ru
Россия, Москва
Б. А. Гарибян
Московский авиационный институт (Национальный исследовательский университет)
Email: bagarib@yandex.ru
Россия, Москва
С. А. Колесник
Московский авиационный институт (Национальный исследовательский университет)
Автор, ответственный за переписку.
Email: bagarib@yandex.ru
Россия, Москва
Список литературы
- Лыков А.В. Тепломассообмен. М.: Энергия, 1978. 480 с.
- Зарубин В.С., Зимин В.Н., Леонов В.В., Зарубин В.С. Равновесная температура поверхности затупления баллистической капсулы при возвращении на Землю с параболической скоростью // Тепловые процессы в технике. 2021. Т. 13. № 11. С. 482.
- Формалев В.Ф., Колесник С.А. Математическое моделирование сопряженного теплообмена между вязкими газодинамическими течениями и анизотропными телами. Изд. 2-е, испр. и сущ. доп. М.: Ленанд, 2022. 348 с.
- Формалев В.Ф., Колесник С.А., Гарибян Б.А. Аналитическое решение задачи о сопряженном теплообмене между газодинамическим пограничным слоем и анизотропной полосой // Вестн. МГТУ им. Н.Э. Баумана. Сер. Естественные науки. 2020. № 5(92). С. 44.
- Формалев В.Ф., Колесник С.А., Гарибян Б.А. Математическое моделирование тепломассопереноса при аэродинамическом нагреве носовых частей гиперзвуковых летательных аппаратов // Вестн. МГТУ им. Н.Э. Баумана. Сер. Естественные науки. 2022. № 1(100). С. 107.
- Формалев В.Ф., Колесник С.А., Кузнецова Е.Л. Влияние компонентов тензора теплопроводности теплозащитного материала на величину тепловых потоков от газодинамического пограничного слоя // ТВТ. 2019. Т. 57. № 1. С. 66.
- Формалев В.Ф., Колесник С.А., Кузнецова Е.Л. Тепломассоперенос на боковых поверхностях затупленных носовых частей гиперзвуковых летательных аппаратов // ТВТ. 2021. Т. 59. № 5. С. 797.
- Быков Л.В., Никитин П.В., Пашков О.А. Математическая модель тепломассообмена на поверхностях теплонапряженных элементов гиперзвукового летательного аппарата // Тепловые процессы в технике. 2016. Т. 8. № 11. С. 482.
- Зотов А.А., Пашков О.А., Волков А.Н. Концепция системы активной тепловой защиты трехслойной конструктивно-силовой схемы гиперзвукового летательного аппарата с дискретным заполнителем // Деформация и разрушение материалов. 2022. № 3. С. 2.
- Кувыркин Г.Н., Савельева И.Ю., Журавский А.В. Моделирование теплофизических процессов при нанесении полупрозрачного покрытия на охлаждаемую криволинейную подложку // ТВТ. 2022. Т. 60. № 6. С. 916.
- Кузенов В.В., Рыжков С.В. Численное моделирование взаимодействия мишени магнитно-инерциального термоядерного синтеза с плазменным и лазерным драйверами // ТВТ. 2021. Т. 59. № 4. С. 492.
- Ryzhkov S.V., Kuzenov V.V. Analysis of the Ideal Gas Flow over Body of Basic Geometrical Shape // Int. J. Heat Mass Transfer. 2019. V. 132. P. 587.
- Карташов Э.М., Кудинов В.А. Аналитические методы теории теплопроводности и ее приложений. М.: Ленанд, 2018. 1078 с.
- Butusova O.A. Surface Modification of Titanium Dioxide Microparticles under Ultrasonic Treatment // Int. J. Pharmaceutical Res. 2020. V. 12. № 4. P. 2292.
- Butusova O.A. Stabilization of Carbon Microparticles by High-molecular Surfactants // Int. J. Pharmaceutical Res. 2020. V. 12. Suppl. № 2. P. 1147.
- Butusova O.A. Adsorption Behaviour of Ethylhydroxyethyl Cellulose on the Surface of Microparticles of Titanium and Ferrous Oxides // Int. J. Pharmaceutical Res. 2020. V. 12. Suppl. № 2. P. 1156.
- Ioni Yu.V., Butusova O.A. Preparation of Polymer Composite Material with Fe2O3 Nanoparticles Synthesized with Low-temperature Plasma under Ultrasonic Action // AIP Conf. Proc. 2021. V. 2402. 020035.
- Kaptakov M.O. Synthesis and Characterization of Polymer Composite Materials Based on Polyethylene and CuO Nanoparticles // AIP Conf. Proc. 2021. V. 2402. 020027.
- Bulychev N.A. Preparation of Stable Suspensions of ZnO Nanoparticles with Ultrasonically Assisted Low-temperature Plasma // Nanosci. Technol.: Int. J. 2021. V. 12. № 3. P. 91.
- Bulychev N.A. Study of Interaction of Surface-Active Polymers with ZnO Nanoparticles Synthesized in Ultrasonically Assisted Plasma Discharge // Nanosci. Technol.: Int. J. 2022. V. 13. № 1. P. 55.
- Дорренс У.Х. Гиперзвуковые течения вязкого газа. М.: Мир, 1966. 440 с.
- Никитин П.В., Сотник Е.В. Катализ и излучение в системах тепловой защиты космических аппаратов. М.: Янус-К, 2013. 435 с.
- Суржиков С.Т. Расчетное исследование аэротермодинамики гиперзвукового обтекания затупленных тел на примере анализа экспериментальных данных. М.: ИПМех РАН, 2011. 192 с.
- Лунев В.В. Гиперзвуковая аэродинамика. М.: Машиностроение, 1975.
- Брыкина И.Г. Приближенные аналитические решения для тепловых потоков при трехмерном гиперзвуковом обтекании затупленных тел // Изв. РАН. МЖГ. 2017. № 4. С. 125.
- Брыкина И.Г., Русаков В.В., Щербак В.Г. Соотношения подобия для расчета пространственного химически неравновесного гиперзвукового вязкого обтекания затупленных тел. Отчет НИИ механики МГУ № 3971. М., 1990. 47 с.
- Шлихтинг Г. Теория пограничного слоя. М.: Наука, 1969.





