Экспериментальное исследование теплообмена при течении сжимаемого газа с отрицательным градиентом давления
- Авторы: Киселёв Н.А.1, Маластовский Н.С.1,2, Здитовец А.Г.1, Виноградов Ю.А.1
-
Учреждения:
- Институт механики МГУ им. М.В. Ломоносова
- Московский государственный технический университет им. Н.Э. Баумана
- Выпуск: Том 61, № 4 (2023)
- Страницы: 578-587
- Раздел: Статьи
- URL: https://journal-vniispk.ru/0040-3644/article/view/232754
- DOI: https://doi.org/10.31857/S0040364423040063
- ID: 232754
Цитировать
Полный текст
Аннотация
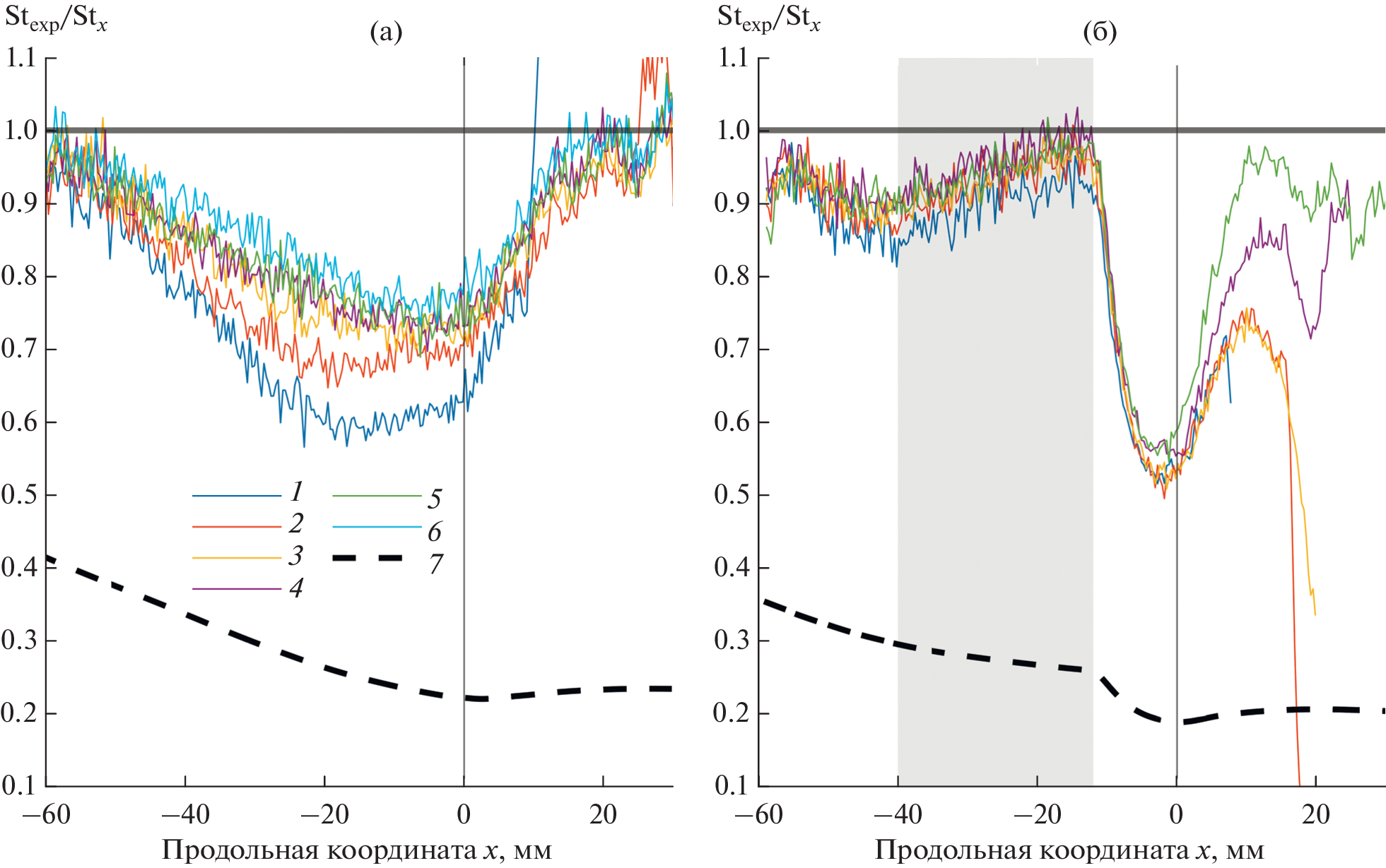
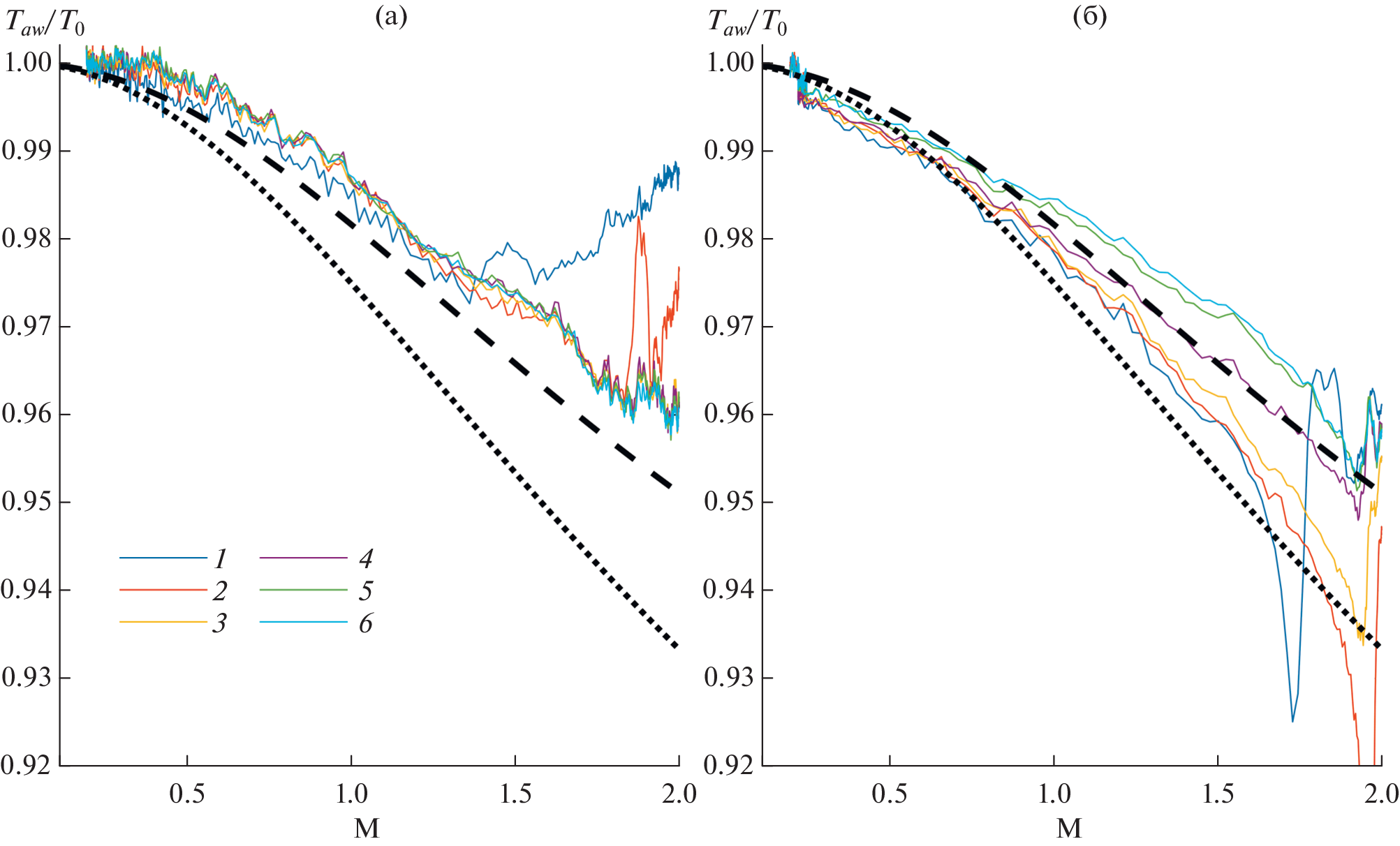
В работе приведены результаты экспериментальных исследований параметров теплообмена при течении сжимаемого газа с отрицательным градиентом давления. Коэффициенты теплоотдачи и температура теплоизолированной стенки определялись методом нестационарного теплообмена. Для оценки степени ламинаризации потока выполнено сопоставление результатов с известными зависимостями для турбулентного пограничного слоя, развивающегося на пластине в безградиентном потоке. Выявлены закономерности влияния ускорения потока на закон теплообмена для исследуемых конфигураций сверхзвуковых сопел.
Об авторах
Н. А. Киселёв
Институт механики МГУ им. М.В. Ломоносова
Email: kiselev.nick.a@gmail.com
Россия, Москва
Н. С. Маластовский
Институт механики МГУ им. М.В. Ломоносова; Московский государственный технический университет им. Н.Э. Баумана
Email: kiselev.nick.a@gmail.com
Россия, Москва; Россия, Москва
А. Г. Здитовец
Институт механики МГУ им. М.В. Ломоносова
Email: kiselev.nick.a@gmail.com
Россия, Москва
Ю. А. Виноградов
Институт механики МГУ им. М.В. Ломоносова
Автор, ответственный за переписку.
Email: kiselev.nick.a@gmail.com
Россия, Москва
Список литературы
- Леонтьев А.И., Лущик В.Г., Макарова М.С., Попович С.С. Коэффициент восстановления температуры в сжимаемом пограничном слое // ТВТ. 2022. Т. 60. № 3. С. 455.
- Бурцев С.А., Киселёв Н.А., Леонтьев А.И. Особенности исследования теплогидравлических характеристик рельефных поверхностей // ТВТ. 2014. Т. 52. № 6. С. 895.
- Wilson D.G., Pope J.A. Convective Heat Transfer to Gas Turbine Blade Surfaces // Proc. Inst. Mech. Eng. 1954. V. 168. № 1. P. 861.
- Back L.H., Cuffel R.F., Massier P.F. Laminarization of a Turbulent Boundary Layer in Nozzle Flow–Boundary Layer and Heat Transfer Measurements with Wall Cooling // J. Heat Transfer. 1970. V. 92. № 3. P. 333.
- Back L.H., Cuffel R.F. Turbulent Boundary Layer and Heat Transfer Measurements Along a Convergent-Divergent Nozzle // J. Heat Transfer. 1971. V. 93. № 4. P. 397.
- Back L.H., Massier P.F., Gier H.L. Convective Heat Transfer in a Convergent-divergent Nozzle // Int. J. Heat Mass Transfer. 1964. V. 7. № 5. P. 549.
- Nash-Webber J.L., Oates G.C. An Engineering Approach to the Design of Laminarizing Nozzle Flows // J. Basic Eng. 1972. V. 94. № 4. P. 897.
- Mastanaiah K. Prediction of Skin-friction and Heat Transfer from Compressible Turbulent Boundary Layers in Rocket Nozzles // Int. J. Heat Mass Transfer. 1978. V. 21. № 11. P. 1403.
- Лебедев В.П., Леманов В.В., Мисюра С.Я., Терехов В.И. Влияние интенсивности турбулентности на эффективность газовой завесы в сопле Лаваля // ТВТ. 1995. Т. 33. № 4. С. 602.
- Волчков Э.П. Пристенные газовые завесы. Новосибирск: Наука, 1983. 240 с.
- Bons J. A Critical Assessment of Reynolds Analogy for Turbine Flows // J. Heat Transfer. 2005. V. 127. № 5. P. 472.
- Bons J.P., McClain S.T. The Effect of Real Turbine Roughness with Pressure Gradient on Heat Transfer // J. Turbomach. 2004. V. 126. № 3. P. 385.
- Mayle R.E. The 1991 IGTI Scholar Lecture: The Role of Laminar–Turbulent Transition in Gas Turbine Engines // J. Turbomach. 1991. V. 113. № 4. P. 509.
- Launder B.E. Laminarization of the Turbulent Boundary Layer by Acceleration. Tech Rep. 77. 1964.
- Moretti P.M., Kays W.M. Heat Transfer to a Turbulent Boundary Layer with Varying Free-stream Velocity and Varying Surface Temperature–an Experimental Study // Int. J. Heat Mass Transfer. 1965. V. 8. № 9. P. 1187.
- Bradshaw P. A Note on Reverse Transition // J. Fluid Mech. 1969. V. 35. № 2. P. 387.
- Preston J.H. The Minimum Reynolds Number for a Turbulent Boundary Layer and the Selection of a Transition Device // J. Fluid Mech. 1958. V. 3. № 4. P. 373.
- Chauhan K.A., Monkewitz P.A., Nagib H.M. Criteria for Assessing Experiments in Zero Pressure Gradient Boundary Lyers // Fluid Dyn. Res. 2009. V. 41. № 2.
- Jones W.P., Launder B.E. Some Properties of Sink-flow Turbulent Boundary Layers // J. Fluid Mech. 1972. V. 56. № 2. P. 337.
- Schraub F.A., Kline S.J. A Study of the Structures of the Turbulent Boundary Layer with and without Longitudinal Pressure Gradients. Stanford, California, 1965.
- Narayanan M.A.B., Ramjee V. On the Criteria for Reverse Transition in a Two-dimensional Boundary Layer Flow // J. Fluid Mech. 1969. V. 35. № 2. P. 225.
- Bader P., Pieringer P., Sanz W. On the Capability of Transition Models to Predict Relaminarization // 12th Eur. Conf. Turbomach. Fluid Dyn. Thermodyn. ETC. 2017. P. 1.
- Escudier M.P., Abdel-Hameed A., Johnson M.W., Sutcliffe C.J. Laminarisation and Re-transition of a Turbulent Boundary Layer Subjected to Favourable Pressure Gradient // Exp. Fluids. 1998. V. 25. № 5–6. P. 491.
- Mee D.J., Chiu H.S., Ireland P.T. Techniques for Detailed Heat Transfer Measurements in Cold Supersonic Blowdown Tunnels Using Thermochromic Liquid Crystals // Int. J. Heat Mass Transfer. 2002. V. 45. № 16. P. 3287.
- Bartz D.R. Turbulent Boundary-Layer Heat Transfer from Rapidly Accelerating Flow of Rocket Combustion Gases and of Heated Air // Adv. Heat Transfer. 1965. V. 2. № C. P. 1.
- Sucec J. An Integral Solution for Heat Transfer in Accelerating Turbulent Boundary Layers // J. Heat Transfer. 2009. V. 131. № 11. P. 1.
- Christoph G.H., Lessmann R.C., White F.M. Calculation of Turbulent Heat Transfer and Skin Friction // AIAA J. 1973. V. 11. № 7. P. 1046.
- Langtry R.B., Menter F.R. Correlation-based Transition Modeling for Unstructured Parallelized Computational Fluid Dynamics Codes // AIAA J. 2009. V. 47. № 12. P. 2894.
- Kays W.M., Moffat R.J., Thielbahr W.H. Heat Transfer to the Highly Accelerated Turbulent Boundary Layer With and Without Mass Addition // J. Heat Transfer. 1970. V. 92. № 3. P. 499.
- Kearney D.W., Kays W.M., Moffat R.J. Heat Transfer to a Strongly Accelerated Turbulent Boundary Layer: Some Experimental Results, Including Transpiration // Int. J. Heat Mass Transfer. 1973. V. 16. № 6. P. 1289.
- Mutama K.R., Iacovides H. The Investigation of Developing Flow and Heat Transfer in a Long Converging Duct // J. Heat Transfer. 1993. V. 115. № 4. P. 897.
- Hurst C., Schulz A., Wittig S. Comparison of Calculated and Measured Heat Transfer Coeffiecients for Transonic and Supersonic Boundary-layer Flows // Proc. ASME Turbo Expo. 1995.V. 4. P. 248.
- Schoenman L., Block P. Laminar Boundary-layer Heat Transfer in Low-thrust Rocket Nozzles // J. Spacecr. Rockets. 1968. V. 5. № 9. P. 1082.
- Stoll J., Straub J. Film Cooling and Heat Transfer in Nozzles // J. Turbomach. 1988. V. 110. № 1. P. 57.
- Sternberg J. Transition from a Turbulent to a Laminar Boundary Layer, U.S. Army Ballistics Re- search Lab. Rep. no. 906. Aberdeen, 1954.
- Овсянников А.М., Пирумов У.Г., Плетнева Е.М., Росляков Г.С. Атлас плоских сопел. М.: Изд-во Моск. ун-та, 1976. 108 с.
- Zucrow M.J., Hoffman J.D. Gas Dynamics. V. 2. Multidimensional Flow. N.Y.: John Wiley and Sons, Inc., 1977. 488 p.
- Rae W.H., Pope A. Low-speed Wind Tunnel Testing // Low-Speed Wind Tunnel Testing. 2nd ed. N.Y.: Jonh Wiley & Sons, 1984.
- Leontiev A.I., Zditovets A.G., Kiselev N.A., Vinogradov Y.A., Strongin M.M. Experimental Investigation of Energy (Temperature) Separation of a High-velocity Air Flow in a Cylindrical Channel with a Permeable Wall // Exp. Therm. Fluid Sci. 2019. V. 105.
- Кутателадзе С.С., Леонтьев А.И. Тепломассообмен и трение в турбулентном пограничном слое. М.: Энергия, 1972. 344 с.
- Волчков Э.П., Лебедев В.П. Тепломассообмен в пристенных течениях. Учеб. Новосибирск: Изд-во НГТУ, 2003. 244 с.
Дополнительные файлы











