Equation of State of Zirconium at High Pressures
- Authors: Khishchenko K.V.1,2,3
-
Affiliations:
- Joint Institute for High Temperatures, Russian Academy of Sciences
- Moscow Institute of Physics and Technology
- South Ural State University
- Issue: Vol 61, No 5 (2023)
- Pages: 783-786
- Section: Short Communications
- URL: https://journal-vniispk.ru/0040-3644/article/view/252373
- DOI: https://doi.org/10.31857/S0040364423050071
- ID: 252373
Cite item
Full Text
Abstract
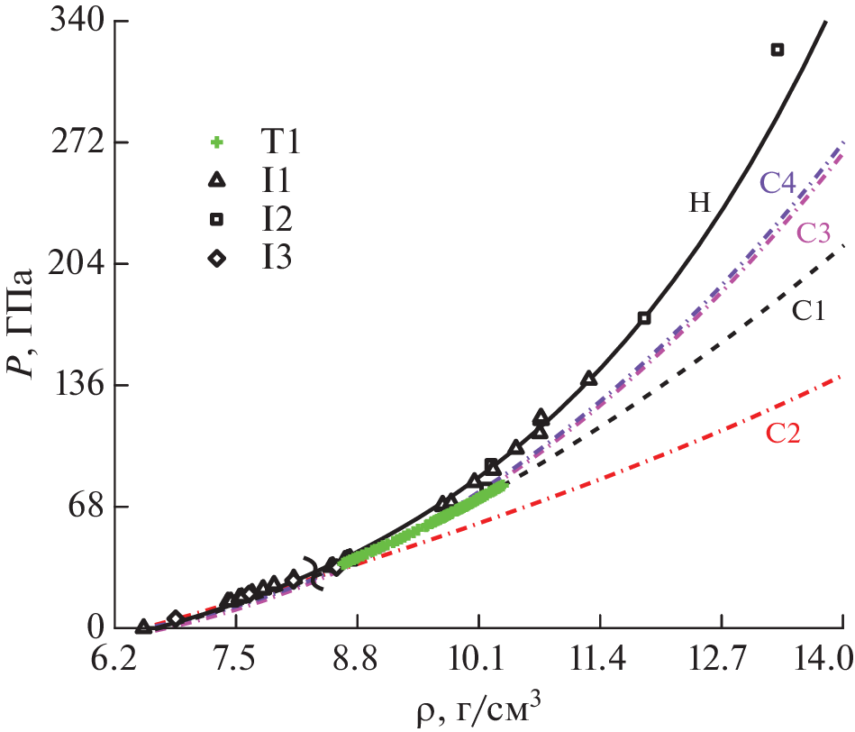
This paper describes the thermodynamic properties of zirconium in a high-pressure region. The available experimental data on isothermal and shock compression of this metal are summarized in the form of a simple model that specifies a pressure function of the specific volume and specific internal energy. The results of calculations of the thermodynamic characteristics of the body-centered cubic crystalline phase and zirconium melt are presented in comparison with the available experimental data in the studied range of thermodynamic parameters. The resulting equation of state can be used in the numerical modeling of adiabatic processes at high energy concentrations.
About the authors
K. V. Khishchenko
Joint Institute for High Temperatures, Russian Academy of Sciences; Moscow Institute of Physics and Technology; South Ural State University
Author for correspondence.
Email: konst@ihed.ras.ru
Moscow, Russia; Dolgoprudny, Russia; Chelyabinsk, Russia
References
- Зельдович Я.Б., Райзер Ю.П. Физика ударных волн и высокотемпературных гидродинамических явлений. М.: Наука, 1966.
- Бушман А.В., Канель Г.И., Ни А.Л., Фортов В.Е. Теплофизика и динамика интенсивных импульсных воздействий. Черноголовка: ОИХФ АН СССР, 1988.
- Ломоносов И.В., Фортова С.В. Широкодиапазонные полуэмпирические уравнения состояния вещества для численного моделирования высокоэнергетических процессов // ТВТ. 2017. Т. 55. № 4. С. 596.
- Бушман А.В., Короткова Г.И., Ни А.Л., Фортов В.Е. Расчет режимов генерации плотной плазмы металлов при нерегулярном столкновении сильных ударных волн // ТВТ. 1985. Т. 23. № 6. С. 1193.
- Ни А.Л., Сугак С.Г., Фортов В.Е. Квазиодномерный анализ и численное моделирование устойчивости стационарных ударных волн в средах с произвольным уравнением состояния // ТВТ. 1986. Т. 24. № 3. С. 564.
- Fortov V.E., Kim V.V., Lomonosov I.V., Matveichev A.V., Ostrik A.V. Numerical Modeling of Hypervelocity Impacts // Int. J. Impact Eng. 2006. V. 33. № 1–12. P. 244.
- Povarnitsyn M.E., Khishchenko K.V., Levashov P.R. Hypervelocity Impact Modeling with Different Equations of State // Int. J. Impact Eng. 2006. V. 33. № 1–12. P. 625.
- Абросимов С.А., Бажулин А.П., Воронов В.В., Красюк И.К., Пашинин П.П., Семенов А.Ю., Стучебрюхов И.А., Хищенко К.В., Черномырдин В.И. Исследование механических свойств алюминия, сплава АМг6М и полиметилметакрилата при высоких скоростях деформирования под действием лазерного излучения пикосекундной длительности // ДАН. 2012. Т. 442. № 6. С. 752.
- Rososhek A., Efimov S., Nitishinski M., Yanuka D., Tewari S.V., Gurovich V.Tz., Khishchenko K., Krasik Ya.E. Spherical Wire Arrays Electrical Explosion in Water and Glycerol // Phys. Plasmas. 2017. V. 24. № 12. P. 122 705.
- Popova T.V., Mayer A.E., Khishchenko K.V. Evolution of Shock Compression Pulses in Polymethylmethacrylate and Aluminum // J. Appl. Phys. 2018. V. 123. № 23. P. 235902.
- Бушман А.В., Фортов В.Е., Шарипджанов И.И. Уравнение состояния металлов в широком диапазоне параметров // ТВТ. 1977. Т. 15. № 5. С. 1095.
- Фортов В.Е., Ломакин Б.Н. Интерполяционное уравнение состояния вольфрама // ТВТ. 1972. Т. 10. № 5. С. 1118.
- Бушман А.В., Ефремов В.П., Ломоносов И.В., Уткин А.В., Фортов В.Е. Ударная сжимаемость и уравнение состояния углепластика при высоких плотностях энергии // ТВТ. 1990. Т. 28. № 6. С. 1232.
- Бушман А.В., Жерноклетов М.В., Ломоносов И.В., Сутулов Ю.Н., Фортов В.Е., Хищенко К.В. Ударная сжимаемость и уравнение состояния полиимида // Письма в ЖЭТФ. 1993. Т. 58. № 8. С. 640.
- Kanel G.I., Fortov V.E., Khishchenko K.V., Utkin A.V., Razorenov S.V., Lomonosov I.V., Mehlhorn T., Asay J.R., Chhabildas L.C. Thin Foil Acceleration Method for Measuring the Unloading Isentropes of Shock-compressed Matter // AIP Conf. Proc. 2000. V. 505. P. 1179.
- Карпухин В.Т., Маликов М.М., Бородина Т.И., Вальяно Г.Е., Гололобова О.А., Стриканов Д.А. Образование полых микро- и наноструктур диоксида циркония при лазерной абляции металла в жидкости // ТВТ. 2015. Т. 53. № 1. С. 98.
- Мелихов О.И., Мелихов В.И., Ртищев Н.А., Тарасов А.Е. Численное моделирование процесса выделения водорода при взаимодействии расплава циркония с водой // ТВТ. 2016. Т. 54. № 4. С. 553.
- Молодец А.М., Голышев А.А., Шахрай Д.В., Ковалёв Д.Ю. Откольная прочность ударно-разогретого циркония и фазовая диаграмма в области существования его полиморфных модификаций высокого давления // ФТТ. 2020. Т. 62. № 1. С. 59.
- Бушман А.В., Фортов В.Е. Модели уравнения состояния вещества // УФН. 1983. Т. 140. № 2. С. 177.
- Кормер С.Б., Урлин В.Д. Об интерполяционных уравнениях состояния металлов для области сверхвысоких давлений // Докл. АН СССР. 1960. Т. 131. № 3. С. 542.
- Lomonosov I.V., Fortov V.E., Khishchenko K.V., Levashov P.R. Phase Diagrams and Thermodynamic Properties of Metals at High Pressures, High Temperatures // AIP Conf. Proc. 2002. V. 620. P. 111.
- Khishchenko K.V. Equation of State and Phase Transformations of Zirconium in Shock Waves // 31st Int. Symp. on Shock Waves 1. ISSW 2017 / Eds. Sasoh A., Aoki T., Katayama M. Springer Cham, 2019. P. 987.
- Хищенко К.В., Жерноклетов М.В., Ломоносов И.В., Сутулов Ю.Н. Динамическая сжимаемость, адиабаты разгрузки и уравнение состояния стильбена при высоких плотностях энергии // ЖТФ. 2005. Т. 75. № 2. С. 57.
- Khishchenko K.V. Equation of State of Hafnium at High Pressures in Shock Waves // Phys. Wave Phenom. 2023. V. 31. № 2. P. 123.
- Khishchenko K.V. Equation of State for Tantalum at High Pressures in Waves of Shock Compression and Isentropic Expansion // Phys. Wave Phenom. 2023. V. 31. № 4. P. 273.
- Хищенко К.В. Уравнение состояния алюминия при высоких давлениях // ТВТ. 2023. Т. 61. № 3. С. 477.
- Khishchenko K.V. Equation of State for Bismuth at High Energy Densities // Energies. 2022. V. 15. № 19. P. 7067.
- Тонков Е.Ю. Фазовые диаграммы элементов при высоком давлении. М.: Наука, 1979.
- Young D.A. Phase Diagrams of the Elements. Berkeley: Univ. of California Press, 1991.
- Xia H., Duclos S.J., Ruoff A.L., Vohra Y.K. New High-pressure Phase Transition in Zirconium Metal // Phys. Rev. B. 1990. V. 64. № 2. P. 204.
- Akahama Y., Kobayashi M., Kawamura H. Studies on Pressure-induced Phase Transition in Zirconium // High Pressure Res. 1992. V. 10. № 5–6. P. 711.
- Anzellini S., Bottin F., Bouchet J., Dewaele A. Phase Transitions and Equation of State of Zirconium under High Pressure // Phys. Rev. B. 2020. V. 102. № 18. P. 184105.
- O’Bannon III E.F., Söderlind P., Sneed D., Lipp M.J., Cynn H., Smith J.S., Park C., Jenei Zs. High Pressure Stability of β-Zr: No Evidence for Isostructural Phase Transitions // High Pressure Res. 2021. V. 41. № 3. P. 247.
- Walsh J.M., Rice M.H., McQueen R.G., Yarger F.L. Shock-wave Compressions of Twenty-seven Metals. Equations of State of Metals // Phys. Rev. 1957. V. 108. № 2. P. 196.
- Альтшулер Л.В., Баканова А.А., Дудоладов И.П. Влияние электронной структуры на сжимаемость металлов при высоких давлениях // ЖЭТФ. 1967. Т. 53. № 6. С. 1967.
- McQueen R.G., Marsh S.P., Taylor J.W. et al. The Equation of State of Solids from Shock Wave Studies // High Velocity Impact Phenomena / Ed. Kinslow R. N.Y.: Acad. Press, 1970. P. 293.
- LASL Shock Hugoniot Data / Ed. Marsh S.P. Berkeley: Univ. of California Press, 1980.
- Альтшулер Л.В., Баканова А.А., Дудоладов И.П., Дынин Е.А., Трунин Р.Ф., Чекин Б.С. Ударные адиабаты металлов. Новые данные, статистический анализ и общие закономерности // ПМТФ. 1981. № 2. С. 3.
Supplementary files





