Возбуждение стационарных мод неустойчивости поперечного течения с помощью плазменного актуатора на основе диэлектрического барьерного разряда
- Авторы: Котвицкий А.Я.1, Моралёв И.А.1, Устинов М.В.2, Абдуллаев А.А.3
-
Учреждения:
- Объединенный институт высоких температур РАН
- Центральный аэрогидродинамический институт
- Московский физико-технический институт
- Выпуск: Том 61, № 6 (2023)
- Страницы: 830-835
- Раздел: Исследование плазмы
- URL: https://journal-vniispk.ru/0040-3644/article/view/252381
- DOI: https://doi.org/10.31857/S004036442306008X
- ID: 252381
Цитировать
Полный текст
Аннотация
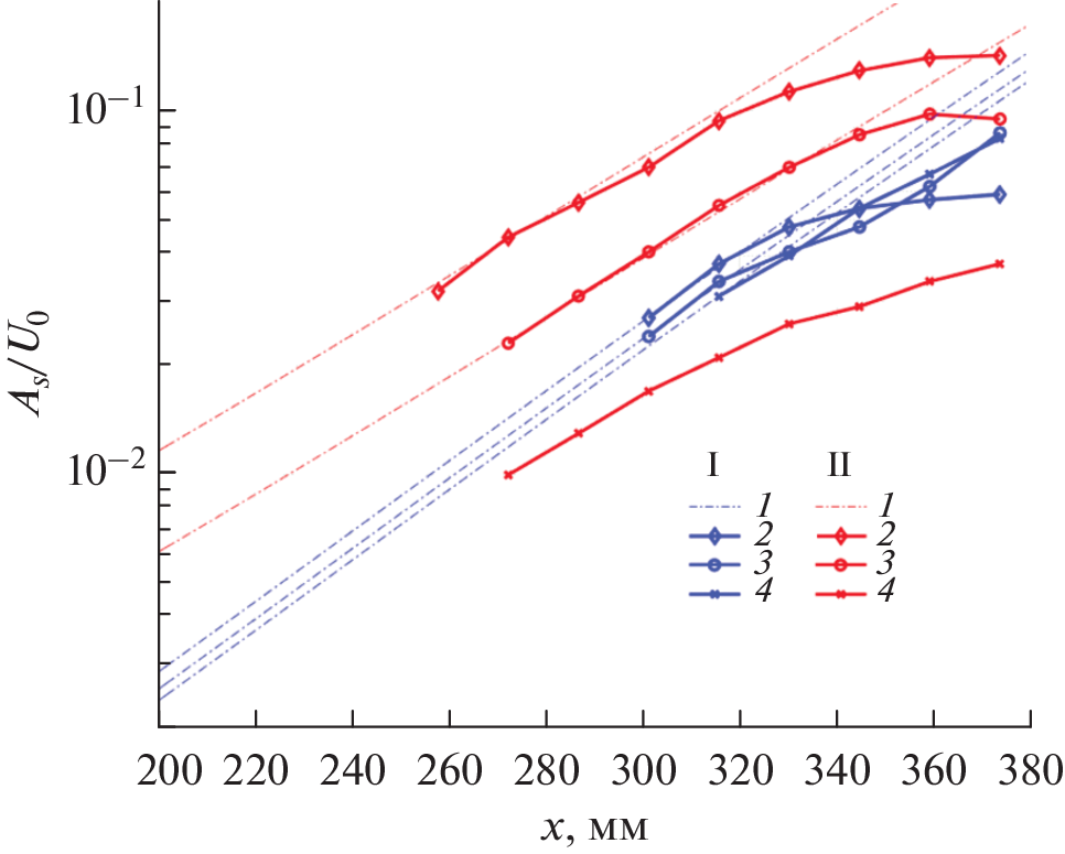
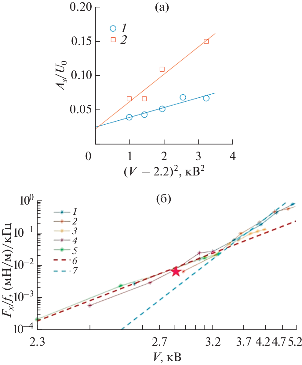
Представлены результаты исследования стационарной моды неустойчивости поперечного течения, возбуждаемой с помощью плазменного актуатора на основе диэлектрического барьерного разряда в трехмерном пограничном слое на стреловидной пластине с наведенным градиентом давления. Показано, что актуатор генерирует моду неустойчивости заданной длины волны с начальной амплитудой до 2% от скорости набегающего потока, при этом соотношение сигнал/шум составляет не более 15%. В результате параметрического исследования получено семейство кривых нарастания возбуждаемой моды неустойчивости как функции параметров напряжения, питающего разряд. Показано, что начальная амплитуда стационарных возмущений, порождаемых актуатором в исследованном диапазоне параметров, квадратично зависит от перенапряжения на электродах и линейно от частоты, что совпадает с аналогичной зависимостью для тяги актуатора.
Об авторах
А. Я. Котвицкий
Объединенный институт высоких температур РАН
Email: alex.kotvitsky00@gmail.com
Россия, Москва
И. А. Моралёв
Объединенный институт высоких температур РАН
Email: alex.kotvitsky00@gmail.com
Россия, Москва
М. В. Устинов
Центральный аэрогидродинамический институт
Email: alex.kotvitsky00@gmail.com
Россия, Жуковский
А. А. Абдуллаев
Московский физико-технический институт
Автор, ответственный за переписку.
Email: alex.kotvitsky00@gmail.com
Россия, Долгопрудный
Список литературы
- Saric W., Reed H., White E. Stability and Transition of Three-dimensional Boundary Layers // Annu. Rev. Fluid Mech. 2003. V. 35. № 1. P. 413.
- Устинов М.В. Ламинарно-турбулентный переход в пограничном слое (обзор). Ч. 1. Основные виды ламинарно-турбулентного перехода на стреловидном крыле // Уч. зап. ЦАГИ. 2013. Т. 44. № 1. С. 3.
- Bippes H. Basic Experiments on Transition in Three-dimensional Boundary Layers Dominated by Crossflow Instability // Progress in Aerospace Sciences. 1999. V. 5. № 4. P. 363.
- Borodulin V.I., Ivanov A.V., Kachanov Y.S. Swept-wing Boundary-layer Transition at Various External Perturbations: Scenarios, Criteria, and Problems of Prediction // Phys. Fluids. 2017. V. 29. № 9. P. 094101.
- Messing R., Kloker M. Investigation of Suction for Laminar Flow Control of Three-dimensional Boundary Layers // J. Fluid Mech. 2010. V. 658. P. 117.
- Wassermann P., Kloker M. Mechanisms and Passive Control of Crossflow-vortex-induced Transition in a Three-dimensional Boundary Layer // J. Fluid Mech. 2002. V. 456. P. 49.
- Messing R., Kloker M. Effect of Suction Through Arrays of Holes in a 3-D Boundary Layer Investigated by Spatial Direct Numerical Simulation in Laminar-turbulent Transition // Proc. IUTAM Symposia “Laminar-Turbulent Transition”. Sedona: Springer, 1999. P. 235.
- Dörr P., Kloker M. Stabilization of a Three-dimensional Boundary Layer by Base-flow Manipulation Using Plasma Actuators // J. Phys. D: Appl. Phys. 2015. V. 48. № 28. P. 285205.
- Saric W., Carrillo R.B., Reibert M. Leading-edge Roughness as a Transition Control Mechanism // 36th AIAA Aerospace Sciences Meeting and Exhibit. Reno, 1998. P. 781.
- Kotsonis M., Ghaemi S., Veldhuis L., Scarano F. Measurement of the Body Force Field of Plasma Actuators // J. Phys. D: Appl. Phys. 2011. V. 44. № 4. P. 452204.
- Голуб В.В., Савельев А.С., Сеченов В.А., Сон Э.Е., Терешонок Д.В. Плазменная аэродинамика в сверхзвуковом потоке газа // ТВТ. 2010. Т. 48. № 6. С. 948.
- Стариковский А.Ю., Александров Н.Л. Управление газодинамическими потоками с помощью сверхбыстрого локального нагрева в сильнонеравновесной импульсной плазме // Физика плазмы. 2021. Т. 47. № 2. С. 126.
- Устинов М.В., Попов И.М., Селивонин И.В., Моралев И.А. Локализованное возбуждение двумерного пограничного слоя единичными микроразрядами в плазменном актуаторе // ПМТФ. 2022. Т. 63. № 4. С. 3.
- Yadala S., Hehner M., Serpieri J., Benard N., Dörr P., Kloker M., Kotsonis M. Experimental Control of Swept-wing Transition through Base-flow Modification by Plasma Actuators // J. Fluid Mech. 2018. V. 844. P. R2.
- Baranov S.A., Chernyshev S.L., Khomich V.Yu. et al. Experimental Cross-flow Control in a 3D Boundary Layer by Multi-discharge Plasma Actuators // Aerosp. Sci. Technol. 2021. V. 112. P. 106643.
- Баранов С.А., Киселёв А.Ф., Моралев И.А., Сбоев Д.С., Толкачёв С.Н., Чернышев С.Л. Управление ламинарно-турбулентным переходом в трехмерном пограничном слое при повышенной внешней турбулентности с помощью диэлектрического барьерного разряда // Докл. РАН. 2019. Т. 486. № 6. С. 668.
- Selivonin I.V., Lazukin A.V., Moravel I.A., Krivov S.A. Effect of Electrode Degradation on the Electrical Characteristics of Surface Dielectric Barrier Discharge // Plasma Sources Sci. Technol. 2018. V. 27. № 8. P. 850003.
- Moralev I., Bityurin V., Firsov A., Sherbakova V., Selivonin I., Ustinov M. Localized Micro-discharges Group Dielectric Barrier Discharge Vortex Generators: Disturbances Source for Active Transition Control // J. Aerosp. Eng. 2020. V. 234. № 1. P. 42.
- Moralev I., Sherbakova V., Selivonin I., Bityurin V., Ustinov M. Effect of the Discharge Constriction in DBD Plasma Actuator on the Laminar Boundary Layer // Int. J. Heat Mass Transfer. 2018. V. 116. P. 1326.
Дополнительные файлы









