Быстрое вращение пылевой структуры в области сужения канала тока тлеющего разряда в магнитном поле ~1 Тл
- Authors: Дьячков Л.Г.1, Дзлиева Е.С.2, Новиков Л.А.2, Павлов С.И.2, Карасев В.Ю.2
-
Affiliations:
- Объединенный институт высоких температур РАН
- Санкт-Петербургский государственный университет
- Issue: Vol 62, No 3 (2024)
- Pages: 324 - 328
- Section: Plasma Investigations
- URL: https://journal-vniispk.ru/0040-3644/article/view/274369
- DOI: https://doi.org/10.31857/S0040364424030014
- ID: 274369
Cite item
Full Text
Abstract
Рассмотрены механизмы вращения пылевых частиц в магнитном поле внутри вставки, определяющей положение первой стоячей страты в тлеющем разряде. Показано, что в полях, превышающих 0.5 Тл, существенное значение наряду с ионным увлечением может приобретать увлечение пылевых частиц нейтральным газом. Учет этого механизма приводит к заметному увеличению скорости вращения и хорошему согласию с экспериментальными данными.
Full Text
Введение
Хорошо известно, что в магнитном поле пылевые частицы, зависающие в электрических разрядах, начинают вращаться [1–5]. Это наблюдалось как в ВЧ-разрядах [6–8], так и в стратифицированных тлеющих разрядах постоянного тока [1, 2, 9], в которых ловушка для пылевых частиц возникает в голове страты, где градиент электрического поля ∇E направлен вниз. В этих ловушках при магнитных полях B <∼ 0.01 Тл вращение происходит против часовой стрелки, если смотреть в направлении магнитного поля, которое в экспериментах такого типа направлено вверх. Угловая скорость вращения при этом полагается отрицательной (Ω < 0), а основным механизмом вращения является ионное увлечение [10, 11]. С увеличением магнитного поля происходит смена основного механизма вращения. При B ≈ 0.1 Тл основным становится увлечение нейтральным газом, вращение которого происходит под действием силы Ампера, связанной с вихревыми токами в стратах [12–14]. В голове страты радиальная компонента вихревого тока направлена от стенки разрядной трубки к ее оси, при этом газ, а вместе с ним и пылевые частицы вращаются по часовой стрелке (Ω > 0). С увеличением магнитного поля этот механизм вращения становится преобладающим и происходит инверсия вращения. Вращение газа, увлекающее пылевые частицы, было зарегистрировано также в магнетронном разряде [15, 16]. Магнитное поле является одним из возможных факторов, влияющих на движение пылевых частиц как в условиях эксперимента, так и в природе [10]. В частности, магнитное поле существенно влияет на поведение пылевых структур в приповерхностных областях Луны и других объектов Солнечной системы [17, 18].
В тлеющем разряде ловушка для пылевых частиц может возникать не только в голове страты. Она может формироваться вдоль по потоку электронов после существенной неоднородности разряда [19]. В [20] пылевая структура формировалась в области сильно неоднородного магнитного поля. В [21] протяженная пылевая плазма исследовалась над нижней стенкой трубки вблизи поворота канала тока. В [22] пылевая кольцеобразная структура возникала над специальной диэлектрической вставкой, сужающей канал тока. В [23] показано, что ловушка для пылевых частиц может сформироваться также в области сужения канала тока внутри вставки, несколько ниже ее самого узкого места. Такая вставка применяется, как правило, для формирования системы стоячих страт. Появление ловушки в области сужения канала тока, несколько ниже него, по-видимому, связано с двойным электрическим слоем в этой части положительного столба [24].
В [25] наблюдалось вращение пылевой структуры внутри вставки при B ≤ 1 Тл и была предложена модель для объяснения такого вращения влиянием только ионного увлечения. Результаты расчета по этой модели хорошо согласуются с экспериментальными данными в магнитных полях B <∼ 0.5 Тл. При этом расчет дает снижение скорости вращения по абсолютной величине c увеличением магнитного поля при всех значениях B > 0.1 Тл, а в эксперименте уже при B > 0.6 Тл такого снижения не наблюдается. При B > 0.7 Тл результаты расчета по модели выходят за пределы погрешности экспериментальных данных. В [25] сделано предположение, что внутри конической вставки канал тока может расширяться, и появляется горизонтальная составляющая тока, но никаких оценок с учетом этого сделано не было.
В данном сообщении предлагается простая модель на основе такого предположения и выполнен соответствующий расчет скорости вращения пылевых частиц для условий [25].
Расчет
Схема эксперимента по исследованию вращения пылевой структуры внутри диэлектрической вставки под действием магнитного поля [25] показана на рис. 1. Вертикально расположенная разрядная трубка радиусом R = 0.95 см наполнена неоном под давлением 0.4 Торр, радиус верхнего края вставки R0 = 0.25 см, разрядный ток I = 1.5 мА. В эксперименте использовались кварцевые частицы с характерным размером 2 мкм. Подробное описание эксперимента и расчета дано в [25]. В расчете предполагалось для простоты, что ток в области сужения канала внутри вставки распределен равномерно по его сечению. В расчетной модели данной работы это предположение сохраняется, а также допускается, что внутри конической вставки ниже ее самого узкого места канал тока расширяется, т.е. появляется горизонтальная составляющая тока, направленная от оси разряда к стенке. В этом случае можно провести аналогию с действием вихревого тока в страте [12–14], однако направление горизонтальной составляющей тока внутри вставки противоположно направлению горизонтальной составляющей вихревого тока в страте. Соответственно, и направление вращения, вызванного этой составляющей тока, противоположно, в этом случае оба механизма – ионное увлечение и увлечение нейтральным газом – действуют в одном направлении и Ω < 0, инверсии вращения не происходит.
Рис. 1. Схема эксперимента в [25]: 1 – разрядная трубка, 2 – вставка, 3 – тефлоновая опора для вставки, 4 – соленоид в криостате, 5 – пылевая структура, 6 – лазерная подсветка, 7 – видеокамера.
Для угловой скорости вращения пылевой частицы в результате ионного увлечения в [25] получена формула
, (1)
где ni, mi, Ti – концентрация, масса и температура (в энергетических единицах) ионов; na – концентрация атомов; z = | Zd | e2 / (aTe) – безразмерный заряд пылевой частицы (eZd и a – ее заряд и радиус); τ = Te /Ti; νea, νia – частоты столкновений электронов и ионов с атомами; ωeB, ωiB – циклотронные частоты электронов и ионов. В разрядной трубке фиксированного сечения Rx – ее радиус. В области сужения канала тока хорошее согласие с экспериментом, как показано в [25], дает выбор этой величины меньше, чем радиус трубки R, но больше радиуса отверстия R0 во вставке, R0 < Rx < R. По-видимому, это можно объяснить тем, что на оси трубки, где расположена пылевая структура, сужение канала тока менее заметно, чем в периферийных слоях.
Для определения составляющей скорости вращения в результате увлечения нейтральным газом воспользуемся уравнением из работ Недоспасова [13, 14], которое применялось для учета влияния вихревых токов в страте на вращение пылевых частиц:
. (2)
Здесь η – вязкость газа; u – азимутальная скорость вращения газа на расстоянии r от оси разряда; j – плотность тока, которая в данном случае имеет радиальную составляющую jr. Положение вставки и пылевой структуры в ней в эксперименте [25] соответствовало середине соленоида, где магнитное поле однородно и имеет только продольную компоненту. В результате уравнение (2) можно представить в следующем виде:
. (3)
В условиях работы [25] длина свободного пробега атома ~10-2 см, поэтому уравнения (2) и (3) вполне применимы.
Рассмотрим простейшую расчетную модель (рис. 2). Штриховыми линиями показано предполагаемое расширение канала тока внутри вставки, в пределах которого ток равномерно распределяется по сечению канала. Пусть пылевая частица находится на глубине l от горла вставки и на расстоянии r от ее оси, а радиус равномерно расширяющегося канала на этой глубине есть R1. Тогда линия тока, отстоящая на глубине l от оси на расстояние r, проходит через горло вставки на расстоянии r0=rR0/R1 от оси. На глубине l плотность тока , а ее радиальная составляющая на расстоянии r от оси разряда
, (4)
где учтено, что r – r0 << l. Подставляя (4) в (3), после интегрирования находим
.
Из граничных условий uφ(0) = uφ(R1) = 0 определяем константы интегрирования C = 0 и . В результате для угловой скорости вращения газа, а вместе с ним и пылевых частиц получаем
. (5)
В (5) присутствует параметр R1 – радиус расширяющегося канала тока внутри вставки на расстоянии l от ее верхнего края (на уровне положения пылевой структуры), который пока не задан. Его значение выберем, исходя из условия наилучшего согласия результатов расчета полной скорости вращения пылевой структуры
Ω = Ω1 + Ω2 (6)
с экспериментальными данными для всех значений магнитного поля 0 < B ≤ 1 Тл.
Рис. 2. К пояснению метода расчета.
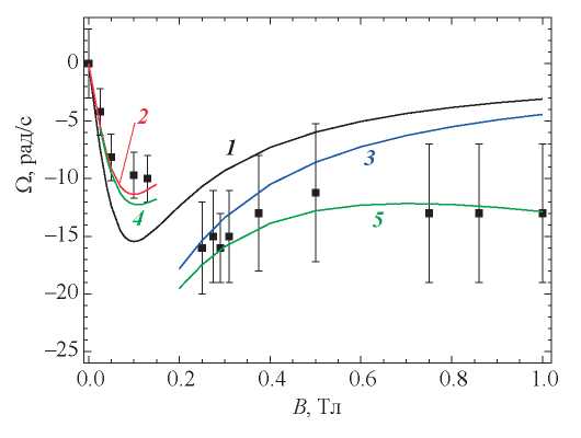
На рис. 3 приведены экспериментальные данные и результаты расчета из [25] по формуле (1) – кривые 1–3 и данной работы по (5) и (6) – кривые 4, 5. Кривая 1 соответствует выбору в (1) Rx = (R0 + R)/2 = 0.6, кривая 2 – положению пылевой структуры вблизи верхнего края вставки на расстоянии от него l = 0.2 см, где сужение канала тока на оси разряда менее заметно, поэтому взято несколько большее значение Rx = 0.7 см. Кривая 3 соответствует перемещению пылевой структуры вниз, l = 1 см. Здесь сужение канала тока вблизи оси, где находится пылевая структура, становится более заметным, и, соответственно, взято Rx = 0.5 см. Для кривых 1–3 из [25] характерно увеличение скорости вращения по абсолютной величине с ростом магнитного поля при его малых значениях B < 0.1 Тл, когда частоты столкновений в (1) преобладают над циклотронными частотами. С увеличением B соотношение между этими частотами меняется и скорость вращения начинает уменьшаться. Но в эксперименте такого уменьшения скорости вращения при B > 0.5 Тл не наблюдается. Для объяснения этого предполагается некоторое расширение канала тока и предложена простая модель для его учета с одним свободным параметром R1. На рис. 3 кривые 4 и 5 показывают результаты расчета по (5) и (6) при R1 = R0 + 0.01l. Таким образом, достаточно предположить увеличение радиуса канала тока всего на 0.01 см (или 4%) на длине 1 см, чтобы объяснить результаты эксперимента [25] при B > 0.5 Тл. При относительно малых полях (B ~ 0.1 Тл) такое уширение канала тока внутри вставки приводит к малозаметным результатам – кривые 2 и 4 близки друг к другу.
Рис. 3. Зависимость угловой скорости вращения пылевой структуры внутри вставки от магнитного поля при p = 0.4 Торр, I = 1.5 мА; маркеры – экспериментальные данные; 1–3 – учет только ионного увлечения, [25]; 4, 5 – учет также увлечения нейтральным газом (данная работа); 2, 4 – l = 0.2 см; 3, 5 – 1 см.
Заключение
В [25] измерена скорость вращения пылевой структуры внутри вставки, сужающей канал тока, под действием магнитного поля B ≤ 1 Тл и предложена теоретическая модель, объясняющая такое вращение влиянием ионного увлечения. В полях B <∼ 0.5 Тл было получено хорошее согласие теории с результатами измерений, однако уже при B > 0.7 Тл результаты расчета по модели выходили за пределы экспериментальной погрешности. В данном сообщении на основе предположения о некотором расширении канала тока внутри вставки предложена простая расчетная модель, учитывающая увлечение пылевых частиц нейтральным газом. Показано, что предположение об уширении канала тока на 4% на длине 1 см внутри вставки приводит к хорошему согласию результатов теоретической модели с экспериментальными данными во всем диапазоне значений магнитного поля.
Работа выполнена при поддержке РНФ (грант № 22-12-00002) в части эксперимента и Министерства науки и высшего образования РФ (соглашение № 075-00270-24-00) в части теории.
About the authors
Л. Г. Дьячков
Объединенный институт высоких температур РАН
Author for correspondence.
Email: dyachk@mail.ru
Russian Federation, Москва
Е. С. Дзлиева
Санкт-Петербургский государственный университет
Email: dyachk@mail.ru
Russian Federation, Санкт-Петербург
Л. А. Новиков
Санкт-Петербургский государственный университет
Email: dyachk@mail.ru
Russian Federation, Санкт-Петербург
С. И. Павлов
Санкт-Петербургский государственный университет
Email: dyachk@mail.ru
Russian Federation, Санкт-Петербург
В. Ю. Карасев
Санкт-Петербургский государственный университет
Email: dyachk@mail.ru
Russian Federation, Санкт-Петербург
References
- Ishihara O., Kamimura T., Hirose K.I., Sato N. Rotation of a Two-dimensional Coulomb Cluster in a Magnetic Field // Phys. Rev. E. 2002. V. 66. 046406.
- Karasev V.Yu., Dzlieva E.S., Ivanov A.Y., Eikhval’d A.I. Rotational Motion of Dusty Structures in Glow Discharge in Longitudinal Magnetic Field // Phys. Rev. E. 2006. V. 74. 066403.
- Nedospasov A.V. Motion of Plasma-dust Structures and Gas in a Magnetic Field // Phys. Rev. E. 2009. V. 79. 036401.
- Carstensen J., Greiner F., Hou L.J., Maurer H., Piel A. Effect of Neutral Gas Motion on the Rotation of Dust Clusters in an Axial Magnetic Field // Phys. Plasmas. 2009. V. 16. 013702.
- Комплексная и пылевая плазма: из лаборатории в космос / Под ред. Фортова В.E., Морфила Г. М.: Физматлит, 2012. 444 с.
- Schwabe M., Konopka U., Bandyopadhyay P., Morfill G.E. Pattern Formation in a Complex Plasma in High Magnetic Fields // Phys. Rev. Lett. 2011. V. 106. 215004.
- Thomas E. Jr., Lynch B., Konopka U., Merlino R.L., Rosenberg M. Observations of Imposed Ordered Structures in a Dusty Plasma at High Magnetic Field // Phys. Plasmas. 2015. V. 22. 030701.
- Choudhary M., Bergert R., Mitic S., Thoma M.H. Three-dimensional Dusty Plasma in a Strong Magnetic Field: Observation of Rotating Dust Tori // Phys. Plasmas. 2020. V. 27. 063701.
- Vasiliev M.M., D’yachkov L.G., Antipov S.N., Huijink R., Petrov O.F., Fortov V.E. Dynamics of Dust Structures in a DC Discharge under Action of Axial Magnetic Field // EPL. 2011. V. 93. 15001.
- Голант В.Е., Жилинский А.П., Сахаров И.Е. Основы физики плазмы. М.: Атомиздат, 1977. 384 с.
- Фортов В.Е., Храпак А.Г., Храпак С.А., Молотков В.И., Петров О.Ф. Пылевая плазма // УФН. 2004. Т. 174. № 5. С. 495.
- Цендин Л.Д. Ионизационные и дрейфово-температурные волны в средах с горячими электронами // ЖТФ. 1970. Т. 40. № 8. С. 1600.
- Nedospasov A.V. Gas Rotation in a Stratified Positive Column of Discharge in Longitudinal Magnetic Field // EPL. 2013. V. 103. 25001.
- Недоспасов А.В. Вращение газа в разрядах в продольном магнитном поле // УФН. 2015. Т. 185. № 6. С. 615.
- Паль А.Ф., Рябинкин А.Н., Серов А.О. Филиппов А.В. Вращение нейтрального газа в магнетронном разряде // ЖЭТФ. 2012. Т. 141. № 3. С. 608.
- Паль А.Ф., Рябинкин А.Н., Серов А.О., Филиппов А.В. Вращение нейтрального газа в магнетронном разряде // Письма в ЖТФ. 2014. Т. 40. № 24. С. 112.
- Popel S.I., Golub’ A.P., Kassem A.I., Zelenyi L.M. Dust Dynamics in the Lunar Dusty Plasmas: Effects of Magnetic Fields and Dust Charge Variations // Phys. Plasmas. 2022. V. 29. 013701.
- Popel S.I., Golub’ A.P., Zelenyi L.M. Dusty Plasmas above the Sunlit Surface of Mercury Variations // Phys. Plasmas. 2023. V. 30. 043701.
- Клярфельд Б.Н. Образование страт в газовом разряде // ЖЭТФ. 1952. Т. 22. С. 66.
- Dzlieva E.S., Dyachkov L.G., Novikov L.A., Pavlov S.I. Dusty Plasma in Inhomogeneous Magnetic Fields in a Stratified Glow Discharge // Molecules. 2021. V. 26. P. 3788.
- Дзлиева Е.С., Ермоленко М.А., Карасев В.Ю. Свойства плазменно-пылевых образований, сформированных в тлеющем разряде над нижней стенкой разрядной камеры // Физика плазмы. 2012. Т. 38. № 7. С. 591.
- Дзлиева Е.С., Карасев В.Ю., Эйхвальд А.И. Исследование магнитомеханического эффекта в газовом разряде с помощью пылевых частиц // Опт. и спектр. 2002. Т. 92. № 6. С. 1018.
- Дзлиева Е.С., Карасев В.Ю., Павлов С.И. Динамика плазменно-пылевых структур в ловушке в области сужения канала тока в магнитном поле // Физика плазмы. 2016. Т. 42. № 2. С. 142.
- Грановский В.Л. Электрический ток в газе. Установившийся ток. М.: Наука, 1971. 543 с.
- Dzlieva E.S., D’yachkov L.G., Novikov L.A., Pavlov S.I., Karasev V.Yu. Fast Rotation of Dust Particle Structures in DC Glow Discharge in a Strong Magnetic Field // Plasma Sources Sci. Technol. 2019. V. 28. 085020.
Supplementary files





