Лабораторные исследования электромагнитного и резистивного нагрева нефтематеринской породы
- Authors: Зиннатуллин Р.Р.1, Гайсин И.В.1, Усманов Б.А.1
-
Affiliations:
- Уфимский университет науки и технологий
- Issue: Vol 62, No 3 (2024)
- Pages: 477-480
- Section: Short Communications
- URL: https://journal-vniispk.ru/0040-3644/article/view/276037
- DOI: https://doi.org/10.31857/S0040364424030179
- ID: 276037
Cite item
Full Text
Abstract
В работе приведены результаты лабораторных исследований электромагнитного и резистивного нагрева нефтематеринской породы при одностороннем облучении до температур начала пиролиза керогена. Сравнение двух методов нагрева показало, что сверхвысокочастотный электромагнитный нагрев является более предпочтительным по сравнению с резистивным нагревом. Исследования по электромагнитному нагреву проведены при частоте излучения 2.45 ГГц. Представленные результаты показывают, что интенсивность электромагнитного нагрева нефтематеринской породы носит нелинейный характер и зависит от изменения диэлектрических свойств породы при нагреве и разупрочнения микроструктуры образца из-за неравномерного нагрева породы.
Full Text
Введение
Актуальность данного исследования обусловлена растущим интересом к разработке нефтематеринских пород с вовлечением запасов твердого органического вещества в виде керогена. Кероген является полимерным органическим материалом, способным превращаться в нефть и природный газ при нагреве до температур пиролиза – 300–350°С[1]. Такие температуры в пласте могут быть достигнуты при внутрипластовом горении, закачке сверхкритической воды, а также при разогреве породы пласта при помощи электричества (скважинные или кабельные нагреватели и электромагнитное воздействие). Скважинные или кабельные, в том числе индукционные, нагреватели являются наиболее простыми в техническом исполнении и не требуют сложных модификаций внутрискважинного оборудования. Степень нагрева породы и распространения температуры от источника зависит от теплофизических свойств породы. Для технологий электромагнитного воздействия требуется изготовление генераторов, антенн и согласующих устройств. На сегодняшний день воздействие высокочастотным электромагнитным излучением на пласт можно осуществить, передав энергию от наземного генератора через скважину или радиочастотный кабель на забойную антенну. В этом случае потери зависят от глубины залегания пласта. В качестве генераторов сверхвысокочастотного (СВЧ) электромагнитного излучения можно использовать промышленные магнетроны с мощностью до 100 кВт и частотой излучения 2.45 ГГц или 915 МГц, размеры которых могут быть соизмеримы с размерами скважин, благодаря чему генератор вместе с антенной может быть доставлен до уровня продуктивного пласта. В этом случае СВЧ электромагнитный нагрев пласта может быть реализован посредством распространения электромагнитного излучения от забойного излучателя вглубь пласта с минимальными потерями энергии между генератором и излучателем [2]. При этом интенсивность электромагнитного нагрева породы и глубина проникновения электромагнитной волны в породу зависят в основном от диэлектрических свойств породы (диэлектрическая проницаемость, тангенс угла диэлектрических потерь) [3, 4]. Результаты исследований диэлектрических свойств образцов нефтематеринских пород показали, что они зависят от температуры породы [5–7]. Следовательно, в процессе нагрева породы интенсивность электромагнитного нагрева и глубина проникновения электромагнитной волны изменяются.
В работе [8] приведены результаты экспериментальных исследований распределения температуры в образце нефтематеринской породы при одностороннем микроволновом облучении при частоте 2.45 ГГц до 115°С, которые были использованы для валидации математической модели. Там же выполнены прогнозные расчеты интенсивности диэлектрического нагрева нефтематеринской породы до температур пиролиза керогена. Расчеты проводились при допущении, что коэффициент поглощения электромагнитной волны в породе является постоянной величиной, определенной по экспериментальным данным в диапазоне до 115°С. В [9] определена и учтена в расчетах зависимость коэффициента поглощения электромагнитной волны от температуры, но также лишь в диапазоне до 115°С. Для дальнейшего усовершенствования расчетной модели необходимо провести экспериментальные исследования электромагнитного нагрева образца нефтематеринской породы до температур пиролиза керогена.
Целью данной работы являются экспериментальное исследование особенностей изменения температуры в керогеносодержащей нефтематеринской породе при СВЧ электромагнитном и резистивном режимах нагрева до температур пиролиза керогена (выше 300°С) и сравнительный анализ динамики нагрева образца данными методами.
Объекты и методика исследований
В качестве объекта исследования был выбран образец горной породы баженовской свиты цилиндрической формы длиной 12 см и диаметром 10 см. В случае СВЧ электромагнитного нагрева использовался магнетрон частотой 2.45 ГГц и выходной мощностью до 800 Вт, установленный на одном из торцов образца через волновод. В случае резистивного нагрева в торце образца устанавливался нагревательный элемент диаметром 14 см. В обоих случаях образец был теплоизолирован минеральной ватой. Замер температуры по длине проводился при помощи системы термопар, помещенных на поверхность образца, и регистратора температуры. Начальная температура образца составляла 23°С. Температура замерялась по длине образца от излучателя с шагом 2 см с интервалом времени 2 мин.
Результаты исследований
На рис. 1 представлены результаты сравнительного анализа СВЧ электромагнитного и резистивного режимов нагрева нефтематеринской породы. Анализ результатов двух методов показал, что СВЧ-нагрев носит объемный и равномерный характер при равных потребляемых мощностях нагревателей 1000 Вт. При СВЧ-нагреве температура образца на расстоянии 10 см от излучателя на 122°С выше, чем при резистивном нагреве. Однако на расстоянии 2 см образец нагрелся сильнее на 15°С при резистивном нагреве. Это объясняется различием физики процессов, на которых основаны рассматриваемые методы нагрева. При резистивном нагреве тепло передается от нагревательного элемента к образцу, а по длине образца оно распространяется исключительно за счет теплопроводности. Интенсивность этого процесса зависит от теплофизических свойств образца, которые незначительно меняются в рассматриваемом диапазоне температур. В этом случае большая часть энергии расходуется на нагрев самого нагревателя и промежуточных объектов и сред, например жидкости в скважине. При электромагнитном нагреве волна распространяется вглубь нефтематеринской породы, создавая локальные источники тепла, величина которых зависит в основном от диэлектрических параметров породы. Соответственно, до глубин, на которых волна теряет большую часть своей энергии, повышение температуры обусловлено в основном именно нагревом, а не теплопроводностью, что делает электромагнитный нагрев более эффективным и контролируемым.
Рис. 1. Распределение температуры по длине образца на 20-й минуте нагрева: 1 – при СВЧ-нагреве, 2 – резистивном нагреве.
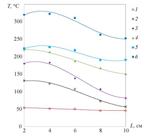
На рис. 2 представлено распределение температуры по длине образца в разные моменты времени при электромагнитном нагреве, на котором видно, что до 50°С образец нагревается равномерно в пределах погрешности. Этот факт говорит о том, что в диапазоне температур 23–50°С диэлектрические свойства породы меняются незначительно. В диапазоне температур 50–180°С интенсивнее нагревается зона образца до 4 см, приближенная к излучателю, т.е. в этой зоне произошло повышение коэффициента поглощения электромагнитной энергии. За счет этого происходит интенсивный нагрев ближней зоны и ослабление нагрева дальней зоны. В диапазоне температур 180–220°С интенсивность нагрева ближней зоны снижается, интенсивнее начинает нагреваться отдаленная от излучателя зона. Выше 220°С наблюдается повышение интенсивности прогрева средней зоны образца (4–6 см от излучателя). Такое поведение кривых объясняется уменьшением коэффициента поглощения электромагнитной энергии при данных температурах за счет фазовых превращений в керогене и разупрочнения структуры образца с образованием микротрещин. На рис. 3 показаны кривые динамики температуры в фиксированных точках образца при электромагнитном нагреве, на которых видны впадины, обусловленные образованием трещин вблизи точек замера температуры. После образования трещин происходит испарение нефти, содержащейся в породе, из-за чего понижается температура в зоне трещины. В зоне 2–4 см от излучателя трещины образуются одновременно при температурах 213–220°С на девятой минуте нагрева. Вблизи пятой точки трещина образовалась при температуре 218°С на 13-й минуте нагрева, которая распространилась до восьмой точки, что характеризуется скачком температуры в этой точке. Анализ образца после нагрева показал, что основные трещины образовались на участке от 2 до 4 см и на месте замера температуры на расстоянии 8 см. Ширина трещин составляла не более 2 мм. Направление трещин носило в основном продольный характер вдоль слоев напластования, хотя наблюдались и поперечные трещины. Длина трещин достигала 10 см. Образование трещин происходило из-за неравномерного расширения отдельных областей образца ввиду неравномерного нагрева, вызванного разной интенсивностью нагрева отдельных минералов, слагающих горную породу, которые имеют различные диэлектрические и магнитные свойства.
Рис. 2. Распределение температуры по длине образца в разные моменты времени при СВЧ-нагреве: 1 – 2 мин, 2 – 3, 3 – 5, 4 – 9, 5 – 13, 6 – 19.
Рис. 3. Изменение температуры во времени в фиксированных точках образца при СВЧ-нагреве: 1 – 2 см, 2 – 4, 3 – 6, 4 – 8, 5 – 10.
Заключение
В результате проведенных исследований показано, что СВЧ электромагнитный нагрев более предпочтительный по сравнению с резистивным нагревом с использованием электронагревателя. Электромагнитный нагрев является объемным и равномерным в определенных температурных диапазонах при незначительных изменениях диэлектрических свойств породы. Диэлектрический нагрев образца нефтематеринской породы носит нелинейный характер, обусловленный изменением диэлектрических свойств породы в процессе нагрева и разупрочнением микроструктуры образца из-за неравномерного нагрева элементов породы и образования трещин в ней. При образовании трещин наблюдается резкое снижение температуры образца в зоне трещины. При этом значения диэлектрических параметров снижаются, что способствует более глубокому распространению излучения вглубь образца породы и ее прогреву.
Полученные результаты будут применены при усовершенствовании и тестировании метода определения зависимости диэлектрических свойств от температуры: если ранее определялся только интегральный параметр – коэффициент поглощения электромагнитной волны, то в новой версии метода будут определяться диэлектрическая проницаемость и тангенс угла диэлектрических потерь. Это позволит применять более точные модели электромагнитного нагрева при моделировании. Помимо этого, расширенный диапазон экспериментальных данных о температуре даст возможность определения температурной зависимости диэлектрических свойств вплоть до значений, когда происходит пиролиз. Это позволит использовать модели электромагнитного нагрева, учитывающие эту зависимость, для прогнозных расчетов распространения электромагнитной энергии в масштабах реальных объектов и для определения времени достижения температур пиролиза керогена на определенных участках пласта.
Исследование выполнено за счет гранта Российского научного фонда № 22-11-20042.
About the authors
Р. Р. Зиннатуллин
Уфимский университет науки и технологий
Author for correspondence.
Email: rasulz@yandex.ru
Russian Federation, Уфа, Башкортостан
И. В. Гайсин
Уфимский университет науки и технологий
Email: rasulz@yandex.ru
Russian Federation, Уфа, Башкортостан
Б. А. Усманов
Уфимский университет науки и технологий
Email: rasulz@yandex.ru
Russian Federation, Уфа, Башкортостан
References
- Ванденбрук М., Ларго С. Происхождение, эволюция и структура керогена // Органическая геохимия. 2007. Т. 38. № 5. С. 719.
- Ковалева Л.А., Зиннатуллин Р.Р., Мусин А.А., Благочиннов В.Н., Валиев Ш.М., Муллаянов А.И. Способ разработки обводненных залежей нефти СВЧ электромагнитным воздействием (варианты).Патент на изобретение №2555731. Кл. МПК-Е21В 43/24.10.07.2015. Бюл. № 19.
- Lovás M., Znamenáčková I., Zubrik A., Kováčová M., Dolinská S. The Application of Microwave Energy in Mineral Processing–a Review // Acta Montanistica Slovaca. 2011. v. 16. № 2. Р. 137.
- Like Q., Jun D., Pengfei T. Study on the Effect of Microwave Irradiation on Rock Strength // J. Eng. Sci. Technol. Rev. 2015. V. 8. № 4. P. 91.
- Мартемьянов С.М. Моделирование подземного нагрева горючих сланцев. Дис. … канд. техн. наук. Томск: Томск. политех. ун-т, 2013. 95 с.
- Zinnatullin R.R., Sultanguzhin R.F. Studying Dielectric Properties of Oil Shale // J. Phys.: Conf. Ser. IOP Publ. 2020. V. 1675. № 1. 012102.
- Лопатин А.В., Мартемьянов С.М. Исследование диэлектрических свойств горючих сланцев //Изв. вузов. Физика. 2012. Т. 55. № 5. С. 35.
- Зиннатуллин Р.Р., Мусин А.А., Гайсин И.В., Усманов Б.А. Физическое и математическое моделирование распределения температуры по длине нефтематеринской породы при микроволновом облучении // ТВТ. 2023. Т. 61. № 1. С. 149.
- Усманов Б.А., Зиннатуллин Р.Р., Мусин А.А. Численное моделирование динамики температуры и диэлектрических параметров нефтематеринской породы при СВЧ-нагреве // Журн. Сиб. фед.ун-та. Техника и технологии. 2023. Т. 16. № 6. С. 700.
Supplementary files





