Низкочастотные ионные колебания при разлете ультрахолодной плазмы
- Authors: Бронин С.Я.1, Вихров Е.В.1, Зеленер Б.Б.1, Зеленер Б.В.1
-
Affiliations:
- Объединенный институт высоких температур РАН
- Issue: Vol 62, No 5 (2024)
- Pages: 672–676
- Section: Plasma Investigations
- URL: https://journal-vniispk.ru/0040-3644/article/view/280927
- DOI: https://doi.org/10.31857/S0040364424050041
- ID: 280927
Cite item
Full Text
Abstract
Представлены результаты расчетов методом молекулярной динамики низкочастотных ионных колебаний в ультрахолодной плазме, наблюдавшихся ранее в эксперименте. Обнаружены осцилляции радиальной скорости ионов и изменение направления их потоков при разлете ультрахолодной плазмы в квадрупольном магнитном поле. Это связано с влиянием магнитного поля на дисбаланс зарядов, которое приводит к одновременному существованию потенциальных ям как для электронов, так и для ионов. Также обнаружены колебания ионной температуры с частотой, близкой к ионной плазменной частоте. Получено удовлетворительное согласие с экспериментом.
Full Text
Введение
Ультрахолодная плазма (УХП), создаваемая из ультрахолодного газа атомов, при ионизации лазером имеет ионную температуру, близкую к 1 К, и плотность до 1010 см-3. Сочетание низкой температуры и низкой плотности делает УХП уникальной плазменной системой, которая может обладать большим параметром неидеальности ионов плазмы (отношение средней потенциальной энергии ионов к их средней кинетической энергии). Динамика обычной низкотемпературной плазмы высокой плотности имеет масштаб времени в диапазоне от 10–18 до 10–15 с. Это серьезно усложняет диагностику. Напротив, динамика УХП развивается во временном масштабе от пикосекунд до микросекунд. Также преимуществом УХП является тот факт, что для нее не требуются большие значения напряженностей электрического и магнитного полей из-за малой кинетической энергии частиц.
В обзорах [1–3] представлены многочисленные экспериментальные и теоретические результаты, полученные для УХП, а также показана связь между физическими процессами в плазме с большими энергией и плотностью и УХП. В работах [1–3] рассматривалась ультрахолодная нестационарная плазма, которая получалась в результате воздействия наносекундного лазерного импульса на облако ультрахолодного газа атомов. Время ее существования около 100 мкс. Однако позднее удалось получить квазистационарную УХП [4], которая может существовать неограниченное время. Есть большое сходство в динамике ультрахолодной нейтральной плазмы и равновесной горячей плазмы, в том числе созданной быстрым импульсным лазерным облучением твердотельных и тонкопленочных мишеней. Кроме того, физика протекающих процессов для УХП и для любой невырожденной двухкомпонентной плазмы идентична.
Одним из интересных направлений исследования УХП является изучение различных видов колебаний, в том числе в электрических и магнитных полях. В [5] исследовались колебания температуры ионов при отсутствии внешних полей. Оказалось, что частота этих колебаний близка к плазменной ионной частоте.
В работах [6–8] изучались резонансные колебания электронов разлетающейся плазмы в радиочастотном поле. Как было показано в [9], эти резонансы связаны с наличием потенциальной ямы для электронов. Она возникает в результате вылета части электронов из облака плазмы в начальный момент времени и образования дисбаланса заряда. В [9] были рассчитаны различные моды этих резонансов, которые хорошо согласуются с экспериментом.
В работах [10, 11] экспериментально исследовались колебания скорости ионов в однородном магнитном поле. Было показано, что для скорости ионов в направлении, перпендикулярном направлению магнитного поля, возникают затухающие со временем колебания.
Особый интерес представляют колебания скорости ионов в квадрупольном магнитном поле [12], которое является примером ловушки с магнитными пробками. Этот эксперимент проводился с целью изучения возможности удержания разлетающейся плазмы в ловушке с магнитными пробками. В [12] исследовалась УХП щелочноземельного атома Sr. При ионизации внешнего электрона атома щелочноземельных элементов у внешнего электрона образованного иона энергия перехода на первый возбужденный уровень находится в оптическом диапазоне. Это позволяет наблюдать ионы в процессе эксперимента при помощи лазера с частотой этого перехода. Квадрупольное магнитное поле с градиентом B' = 150 Гс/ см формировалось при помощи двух катушек в конфигурации Гельмгольца, но с противоположно направленным магнитным полем. Начальная электронная температура была Те0 = 20, 40, 160 К при начальной плотности плазмы n0 = (1.5–3.9) × 109 cм–3. Число ионов в плазме составляло примерно 108. Размер облака плазмы σ0 ~ 0.1 см. Начальная конфигурация плазмы определялась цилиндрической формой облака атомов в квадрупольном магнитном поле. Распределения концентрации и скорости ионов в зависимости от времени определялись при помощи обработки спектра флуоресценции ионов.
Ранее в работе [13] методом молекулярной динамики было проведено моделирование разлета облака двухкомпонентной ультрахолодной плазмы Sr с начальной цилиндрической конфигурацией в квадрупольном магнитном поле. В [13] представлена картина распределения электронов и ионов в процессе разлета в зависимости от времени, дан ее анализ, установлено подобие временной зависимости концентрации плазмы от ее параметров и магнитного поля и получено удовлетворительное согласие с экспериментом. Результаты расчетов подтвердили экспериментальные данные о влиянии квадрупольного магнитного поля на увеличение времени удержания плазмы. Однако при этом показано, что такой эффект достигает насыщения при существенном росте градиента магнитного поля. В расчете использовались реальные массы частиц. При решении уравнений движения учитывались кулоновское взаимодействие между всеми частицами, а также квадрупольное магнитное поле. Для расчета магнитного поля было выбрано близкое к реализуемому в экспериментах его распределение, соответствующее двум кольцевым одинакового радиуса противоположно направленным токам, между которыми находится исследуемая плазма. Выбранные параметры расчета были близки к параметрам экспериментов [12]. При этом число частиц составляло N0 = Ni = Ne = 10000 и начальный размер области плазмы σ0 = 0.087 см отличался от экспериментального [12] в меньшую сторону, так как молекулярно-динамическое моделирование при реальных размерах является затруднительным. Однако сравнение результатов расчетов с экспериментальными данными возможно благодаря установленному в [12] и подтвержденному расчетами в [13] автомодельному характеру временной зависимости параметров разлетающейся плазмы. Такие величины, как размер плазмы σ(t) и концентрация ионов ni(t), отнесенные к их начальным значениям σ0 и ni0, являются стандартными функциями безразмерного времени, характерный масштаб которого есть отношение начального размера плазмы null к характерной скорости разлета (где ). Важной характеристикой квадрупольного магнитного поля является величина B', описывающая линейную зависимость поля от координат вблизи центральной точки так, что при малых r Bz (0, 0, z) ≈ B'z, Bx (x, 0, 0) ≈ ≈ –0.5B'x, By (0, y, 0) ≈ –0.5B'y. Для адекватного моделирования разлета плазмы в присутствии магнитного поля было установлено соотношение расчетного и экспериментального значений величины B', позволяющее сопоставлять результаты расчетов с экспериментом. В [13] показано, что для подобия параметров расчета и эксперимента величина градиента магнитной индукции B' в расчетах должна выбираться такой, чтобы безразмерный параметр
совпадал с экспериментальным значением (e – заряд электрона в CGSE, Te0 – начальная температура электронов в градусах Кельвина, с – скорость света в см/c, k – константа Больцмана, me и mi – массы электрона и иона в г).
В [13] показано, что в процессе разлета можно выделить три фазы расширения. На начальной фазе между частицами преобладает электрическое взаимодействие. В связи с тем, что часть электронов быстро покидает плазму, возникает дисбаланс зарядов ∆N = Ni – Ne > 0 и происходит формирование электронной потенциальной ямы. Так как размер плазмы все еще относительно невелик, то магнитное поле не оказывает заметного влияния на процесс расширения.
Вторая фаза представляет собой промежуточное состояние, которое характеризуется сопоставимым вкладом как электрического, так и магнитного взаимодействий. По мере расширения плазмы, глубина электрической потенциальной ямы достигает нуля и наступает третья фаза. Так как размер плазмы становится относительно большим, то движение частиц определяется их взаимодействием с магнитным полем. Отдельный интерес представляют собой процессы, происходящие в промежуточном состоянии. Оказывается, что магнитное поле влияет на зависимость дисбаланса зарядов от координат. При этом возникают области, в которых преобладает электронная компонента (∆N < 0).
Колебания ионной радиальной скорости при разлете ультрахолодной плазмы в квадрупольном магнитном поле
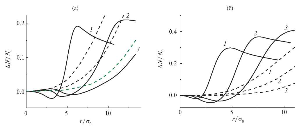
На рис. 1 показана зависимость нормированного дисбаланса ∆N / N0 от безразмерного радиуса r / σ0 для различных значений градиента магнитного поля. Отрицательная величина дисбаланса приводит к возникновению потенциальной ямы для ионов, причем эта яма существует внутри соответствующей ямы для электронов.
Рис. 1. Зависимость ∆N / N0 от r / σ0 при различных значениях β и t /τexp: 1 – t /τexp = 2.5, 2 – 5.0, 3 – 7.5: сплошные линии – β = 6.7 (а) и 38 (б); штриховые – β = 0, σ0 = 0.015 (а) и 0.087 см (б).
Рис. 2 демонстрирует зависимость потенциальной энергии ионов U / Te0, усредненной по угловым координатам, от безразмерного радиуса для различных значений времени. Видно наличие электрической потенциальной ямы для ионов.
Рис. 2. Зависимость ионной потенциальной энергии U / Te0 от r / σ0 для различных значений β и t /τexp: (а) – β = 6.7, 1 – t /τexp = 0.10, 2 – 0.25, 3 – 0.50, 4 – 1.50; (б) – β = 38, 1 – t /τexp= 0.5, 2 – 1.5, 3 – 2.5, 4 – 5.0.
Дисбаланс зарядов влияет на потенциальную энергию ионов и, как следствие, на их движение. На рис. 3 приведена зависимость нормированной радиальной скорости ионов null, усредненной по угловым координатам, для различных значений градиента магнитного поля. Потенциальная яма для ионов может быть причиной возникновения осцилляций их радиальной скорости.
Рис. 3. Зависимость нормированной радиальной скорости ионов, усредненной по угловым координатам от времени при r / σ0 = 1.25 и различных значений β: 1 – β = 0, 2 – 6.7, 3 – 38.0, 4 – эксперимент [14].
Аналогичные колебания наблюдаются в эксперименте [14]. Максимальная погрешность при измерении радиальной скорости в [14] составляет порядка 15%. Заметим, что зависимость усредненной по угловым координатам скорости расширения от времени и радиуса приблизительно равна соответствующей величине для идеального газа Vr ≈ rt / (t 2 + τ 2exp) с максимумом, достигаемым в момент времени τexpи равным 0.5r / τexp.
С течением времени наличие внешнего магнитного поля искажает сферическую симметрию плазмы. При этом внешнее поле влияет на электроны сильнее, чем на ионы, что приводит к искажению пространственного распределения электронов и их электрического потенциала. Вначале этот эффект относительно невелик.
Рис. 4a демонстрирует зависимость радиальной и поперечной ионных скоростей (τexpVr / r и τexpVθ / r) от угла θ при t /τexp = 1, β = 38 и r / σ0 = 1.25, что соответствует максимуму, изображенному на рис. 3. На рис. 4б представлены аналогичные данные для момента t /τexp = 5, что соответствует минимуму, изображенному на рис. 3. При этом обнаруживается формирование обратных ионных потоков во всех областях, за исключением плоскости x = 0. Поперечные скорости ионов обеспечивают их дальнейшее движение к оси симметрии. На рис. 4в приведены данные для момента t /τexp = 8, который соответствует второму максимуму, показанному на рис. 3. Здесь распределение ионных скоростей по углам вновь становится практически симметричным. Под влиянием магнитного поля радиальная скорость ионов уменьшается, что приводит к снижению кинетической энергии направленного движения.
Рис. 4. Зависимость радиальной vir = τexpvir / r (сплошная линия) и поперечной vi θ = τexpvi θ / r (штриховая) ионных скоростей от cosθ при β = 38 и r / σ0 = 1.25: (a) – t /τexp = 1, (б) – 5, (в) – 8.
Низкочастотные колебания ионной температуры ультрахолодной плазмы
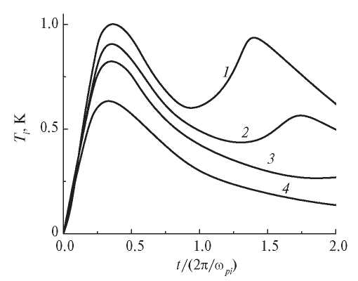
Колебания ионной температуры при разлете ультрахолодной плазмы на малых временах при отсутствии магнитного поля с частотой, близкой к ионной плазменной частоте, наблюдались в эксперименте [5]. На рис. 5 представлены результаты расчетов средней по объему температуры ионов в зависимости от времени, отнесенного к периоду ионных плазменных колебаний. Расчеты выполнены для ионов Sr с начальной плотностью n = 1010 см–3 и с числом частиц N = 10000, намного меньшим, чем в эксперименте. Использованная в работе [5] нормировка температуры, учитывающая начальный разогрев ионов, в данном случае не актуальна, поскольку из-за малого числа частиц при временах порядка периода колебаний температура ионов составляет не более одного процента их кинетической энергии. Расчеты авторов так же, как и эксперимент, показали, что частота колебаний ионной температуры близка к плазменной ионной частоте, а амплитуда колебаний зависит от начальной температуры электронов.
Рис. 5. Зависимость средней по объему Ti от времени: 1 – Te0 = 400 К, 2 – 200, 3 – 100, 4 – 50.
Заключение
Метод молекулярной динамики с использованием относительно небольшого числа частиц (Ni = Ne = 10000) позволил обнаружить низкочастотные ионные колебания в ультрахолодной плазме, наблюдавшиеся ранее в эксперименте [5, 14]. Показано, что внешнее квадрупольное магнитное поле существенно влияет на процесс расширения ультрахолодной плазмы. Дисбаланс зарядов ∆N зависит от β, r / σ0 и t /τexp. Изменение знака ∆N приводит к возникновению электрической потенциальной ямы как для ионов, так и для электронов. Такой сложный потенциальный профиль обусловливает колебания радиальной скорости ионов и приводит к изменению направления их потоков.
Также получены колебания ионной температуры при разлете ультрахолодной плазмы на малых временах при отсутствии магнитного поля с частотой, близкой к ионной плазменной частоте, которые наблюдались в эксперименте [5].
Теоретические исследования выполнены при поддержке РНФ (грант № 23-72-10031). Разработка вычислительной программы поддержана Министерством науки и высшего образования РФ (госзадание № 075-00270-24-00). Авторы выражают благодарность Межведомственному суперкомпьютерному центру РАН, а также Суперкомпьютерному центру коллективного пользования ИПМ им. М.В. Келдыша РАН за предоставленные вычислительные ресурсы.
About the authors
С. Я. Бронин
Объединенный институт высоких температур РАН
Email: bzelener@mail.ru
Russian Federation, г. Москва
Е. В. Вихров
Объединенный институт высоких температур РАН
Email: bzelener@mail.ru
Russian Federation, г. Москва
Б. Б. Зеленер
Объединенный институт высоких температур РАН
Email: bzelener@mail.ru
Russian Federation, г. Москва
Б. В. Зеленер
Объединенный институт высоких температур РАН
Author for correspondence.
Email: bzelener@mail.ru
Russian Federation, г. Москва
References
- Bergeson S.D., Baalrud S.D., Ellison C.L. et al. Exploring the Crossover between High-energy-density Plasma and Ultracold Neutral Plasma Physics // Phys. Plasmas. 2019. V. 26. P. 10.
- Killian T.C., Pattard T., Pohl T., Rost J.M. Ultracold Neutral Plasmas // Phys. Rep. 2007. V. 449. P. 77.
- Lyon M., Rolston S. Ultracold Neutral Plasmas // Rep. Prog. Phys. 2016. V. 80. P. 017001.
- Zelener B.B., Vilshanskaya E.V., Morozov N.V. et al. Steady-state Ultracold Plasma Created by Continuous Photoionization of Laser Cooled Atoms // Phys. Rev. Lett. 2024. V. 132. P. 115301.
- McQuillen P., Strickler T., Langin T. Ion Temperature Evolution in an Ultracold Neutral Plasma // Phys. Plasmas. 2015. V. 22. № 3. P. 033513.
- Kulin S., Killian T.C., Bergeson S.D., Rolston S.L. Plasma Oscillations and Expansion of an Ultracold Neutral Plasma // Phys. Rev. Lett. 2000. V. 85. № 2. P. 318.
- Fletcher R.S., Zhang X.L., Rolston S.L. Observation of Collective Modes of Ultracold Plasmas // Phys. Rev. Lett. 2006. V. 96. № 10. P. 105003.
- Twedt K.A., Rolston S.L. Electronic Detection of Collective Modes of an Ultracold Plasma // Phys. Rev. Lett. 2012. V. 108. № 6. P. 065003.
- Bronin S.Y., Vikhrov E.V., Saakyan S.A. et al. Electronic Resonances in Expanding Non-neutral Ultracold Plasma // Phys. Plasmas. 2024. V. 31. P. 033507.
- Zhang X.L., Fletcher R.S., Rolston S.L. et al. Ultracold Plasma Expansion in a Magnetic Field // Phys. Rev. Lett. 2008. V. 100. № 23. P. 235002.
- Pak C., Billings V., Schlitters M. et al. Preliminary Study of Plasma Modes and Electron-ion Collisions in Partially Magnetized Strongly Coupled Plasmas // Phys. Rev. E. 2024. V. 109. P. 015201.
- Gorman G.M., Warrens M.K., Bradshaw S.J., Killian T.C. Magnetic Confinement of an Ultracold Neutral Plasma // Phys. Rev. Lett. 2021. V. 126. № 8. P. 085002.
- Bronin S.Y., Vikhrov E.V., Zelener B.B., Zelener B.V. Ultracold Plasma Expansion in Quadrupole Magnetic Field // Phys. Rev. E. 2023. V. 108. № 4. P. 045209.
- Schlitters M., Miller M., Farley B. Bergeson S.D. Comment on “Ultracold Plasma Expansion in Quadrupole Magnetic Field” // Phys. Rev. E. 2024. V. 110. P. 027201.
Supplementary files







