О вариативности клеточного адгезивного ответа под воздействием родственных коротких пептидов
- Авторы: Иванова В.П.1
-
Учреждения:
- Институт эволюционной физиологии и биохимии им. И.М. Сеченова РАН
- Выпуск: Том 65, № 1 (2023)
- Страницы: 92-101
- Раздел: Статьи
- URL: https://journal-vniispk.ru/0041-3771/article/view/140075
- DOI: https://doi.org/10.31857/S0041377123010054
- EDN: https://elibrary.ru/GOYZIE
- ID: 140075
Цитировать
Полный текст
Аннотация
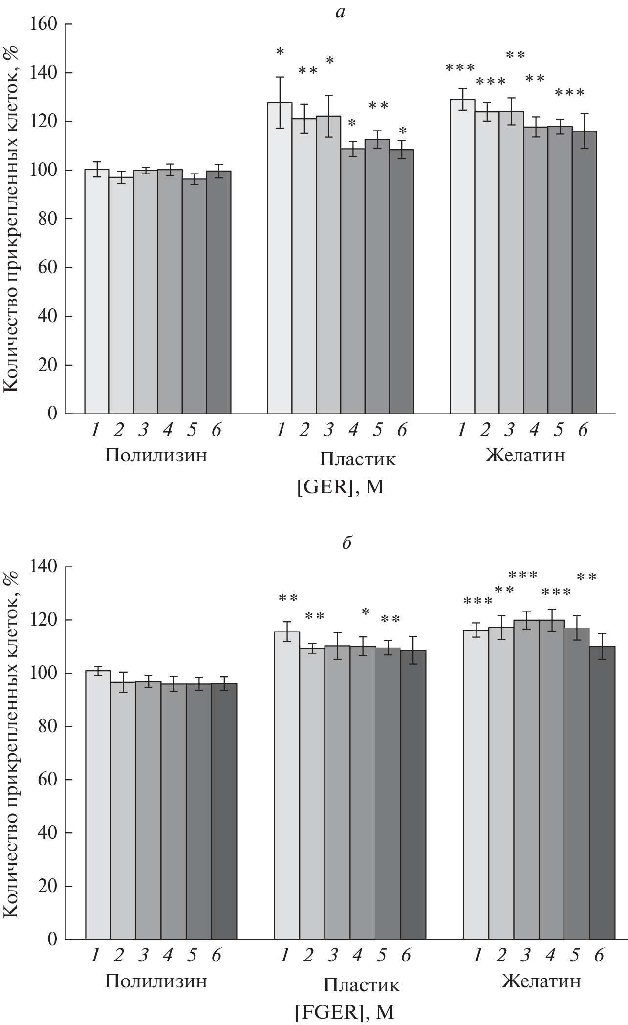
В работе изучена роль коротких пептидов FGER и GER, содержащих общий трипептидный фрагмент, в регуляции адгезивного ответа клеток СНО-К1. Оба пептида увеличивали клеточную адгезию, как на необработанном пластике, так и на желатине, адсорбированном на пластике, но не влияли на скорость прикрепления клеток к адсорбированному на пластике поли-L-лизину. Пептид GER больше стимулировал клеточную адгезию на необработанном пластике. Пептид FGER увеличивал скорость прикрепления клеток к желатину в более широком диапазоне концентраций по сравнению с таковой на необработанном пластике. Отмечена вариативность процесса распластывания клеток на разных субстратах под влиянием исследованных пептидов. На необработанном пластике оба пептида практически в равной степени стимулировали распластывание клеток. На желатине пептид FGER сохранял способность стимулировать распластывание клеток, а пептид GER частично ингибировал распластывание по сравнению с таковым на необработанном пластике. Установлено, что включение дополнительного N-концевого гидрофобного аминокислотного остатка Phe к трипептидному фрагменту GER изменяет регуляторную активность пептида на модели клеточной адгезии в зависимости от стадии взаимодействия клеток с субстратом и (или) от свойств поверхности прикрепления. Обсуждается структурно-функциональная активность исследованных пептидов в отношении различных структурных компонентов адгезионных структур.
Ключевые слова
Об авторах
В. П. Иванова
Институт эволюционной физиологии и биохимии им. И.М. Сеченова РАН
Автор, ответственный за переписку.
Email: valet@iephb.ru
Россия, 194223, Санкт-Петербург
Список литературы
- Ашмарин И.П., Каразеева Е.П. 1996. Нейропептиды. В кн.: Нейрохимия. М.: Институт биомед. химии РАМН. С. 296. (Ashmarin I.P., Karazeeva E.P. 1996. Neuropeptides. In: Neurochemistry. Moscow: IBCH RAMS. P. 296.)
- Замятнин А.А. 2004. Биохимические проблемы олигопептидной регуляции. Биохимия. Т. 69. № 11. С. 1565. (Zamyatnin A.A. 2004. Biochemical problems of regulation by oligopeptides. Biochemistry (Moscow). V. 69. P. 1276.)
- Иванова В.П. 2017. Фибронектины: структурно-функциональные связи. Журн. эвол. биохим. физиол. Т. 53. № 6. С. 398. (Ivanova V.P. 2017. Fibronectins: structural-functional relationships. J. Evol. Biochem. Physiol. (Zhurnal Evolyutsionnoi Biokhimii i Fiziologii). V. 53. P. 450.)
- Иванова В.П. 2021. Талин: структурно-функциональные связи. Цитология. Т. 63. № 1. С. 3. (Ivanova V.P. 2021. Talin: structural and functional relationships. Cell Tiss. Biol. (Tsitologiya). V. 15. P. 416.)
- Кантор Ч., Шиммел П. 1984. Биофизическая химия. М.: Мир. Т. 1. 336 с. (Cantor C., Schimmel P. 1980. Biophysical Chemistry. San Francisco: W.H. Freeman and Co. Part 1. 367 p.)
- Костецкий П.В., Артемьев И.В. 2000. Конформационный анализ RGD-содержащего антиадгезивного пептида цикло(ArgGlyAspPhe-D-Val). Биохимия. Т. 65. № 9. С. 1231. (Kostetsky P.V., Artemjev I.V. 2000. Conformational analysis of the biologically active RGD-containing anti-adhesive peptide cyclo(ArgGlyAspPhe-D-Val). Biochemistry (Moscow) (Biokhimiya). V. 65. P. 1041.)
- Шульц Г., Ширмер Р. 1982. Принципы структурной организации белков. М.: Мир. 360 с. (Schulz G., Schirmer R. 1979. Principles of protein structure. N.Y.-Heidelberg–Berlin: Springer-Verlag. 332 p.)
- Щербак И.Г. 2005. Биологическая химия. СПб: СПбГМУ. 480 с. (Scherbak I.G. 2005. Biological chemistry. St. Petersburg: SPbSMU. 480 p.)
- Apostolopoulos V., Bojarska J., Chai T.T., Elnagdy S., Kaczmarek K., Matsoukas J., New R., Parang K., Lopez O.P., Parhiz H., Perera C.O., Pickholz M., Remko M.2021. A global review on short peptides: frontiers and perspectives. Molecules. V. 26. P. 430. https://doi.org/10.3390/molecules.26020430
- Barczyk M., Carracedo S., Gullberg D. 2010. Integrins. Cell Tiss. Res. V. 339. P. 269.
- Berrier A.L., Yamada K.M. 2007. Cell-matrix adhesion. J. Cell Physiol. V. 213. P. 565.
- Byron A., Frame M.C. 2016. Adhesion protein networks reveal functions proximal and distal to cell-matrix contacts. Curr. Opin. Cell. Biol. V. 39. P. 93.
- Cavalcanti-Adam E.A., Volberg T., Micoulet A., Kessler H., Geiger B., Spatz J.P. 2007. Cell spreading and focal adhesion dynamics are regulated by spacing of integrin ligands. Biophys. J. V. 92. P. 2964.
- Critchley D.R. 2009. Biochemical and structural properties of the integrin-associated cytoskeletal protein talin. Annu. Rev. Biophys. V. 38. P. 235.
- Cuvelier D., Thery M., Chu Y.S., Dufour S., Thiery J.P., Bornens M., Nassoy P., Mahadevan L. 2007. The universal dynamics of cell spreading. Curr. Biol. V. 17. P. 694.
- Dubin-Thaler B.J., Giannone G., Döbereiner H.G., Sheetz M.P. 2004. Nanometer analysis of cell spreading on matrix-coated surfaces reveals two distinct cell states and STEPs. Biophys. J. V. 86. P. 1794.
- Eichler J. 2008. Peptides as protein binding site mimetics. Curr. Opin. Chem. Biol. V. 12. P. 707.
- Filenius S., Tervo T., Virtanen I. 2003. Production of fibronectin and tenascin isoforms and their role in the adhesion of human immortalized corneal epithelial cells. Invest. Ophthalmol. Vis. Sci. V. 44. P. 3317.
- Flier van der A., Sonnenberg A. 2001. Function and interactions of integrins. Cell Tiss. Res. V. 305. P. 285.
- Hantgan R.R., Lyles D.S., Mallett T.C., Rocco M., Nagaswami C., Weisel J.W. 2003. Ligand binding promotes the entropy-driven oligomerization of integrin αIIbβ3. J. Biol. Chem. V. 278. P. 3417.
- Harburger D.S., Calderwood D.A. 2009. Integrin signalling at a glance. J. Cell Sci. V. 122. P. 159.
- Heino J. 2007. The collagen family members as cell adhesion proteins. BioEssays. V. 29. P. 1001.
- Humphries M.J., Travis M.A., Clark K., Mould A.P. 2004. Mechanisms of integration of cells and extracellular matrices by integrins. Biochem. Soc. Trans. V. 32. P. 822.
- Kim S.H., Turnbull J., Guimond S. 2011. Extracellular matrix and cell signaling: the dynamic cooperation of integrin, proteoglycan and growth factor receptor. J. Endocrynol. V. 29. P. 139.
- Lepzelter D., Zaman M.H. 2010. Clustered diffusion of integrins. Biophys. J. V. 99. P. L106.
- Li Z., Lee H., Zhu C. 2016. Molecular mechanisms of mechanotransduction in integrin-mediated cell-matrix adhesion. Exp. Cell Res. V. 349. P. 85.
- London N., Raveh B., Schueler-Furman O. 2013. Druggable protein-protein interactions – from hot spots to hot segments. Curr. Opin. Chem. Biol. V. 17. P. 952.
- Luo B.H., Springer T.A., Takagi J. 2004. A specific interface between integrin transmembrane helices and affinity for ligand. PLoS Biol. V. 2. e153. https://doi.org/10.1371/journal.pbio.0020153
- Maheshwari G., Brown G., Lauffenburger D.A., Wells A., Griffith L.G. 2000. Cell adhesion and motility depend on nanoscale RGD clustering. J. Cell Sci. V. 113. P. 1677.
- Morse E.M., Brahme N.N., Calderwood D.A. 2014. Integrin cytoplasmic tail interactions. Biochemistry. V. 53. P. 810.
- Moser M., Legate K.R., Zent R., Fässler R. 2009. The tail of integrins, talin, and kindlins. Science. V. 324. P. 895.
- Pan L., Zhao Y., Yuan Z., Qin G. 2016. Research advances on structure and biological functions of integrins. Springer Plus. V. 5. 1094. https://doi.org/10.1186/s40064-016-2502-0
- Petsalaki E., Russell R.B. 2008. Peptide-mediated interactions in biological systems: new discoveries and applications. Curr. Opin. Biotechnol. V. 19. P. 344.
- Plow E.E., Haas T.A., Zhang L., Loftus J., Smith J.W. 2000. Ligand binding to integrins. J. Biol. Chem. V. 275. P. 21785.
- Reichmann D., Rahat O., Cohen M., Neuvirth H., Schreiber G. 2007. The molecular architecture of protein-protein binding sites. Curr. Opin. Struct. Biol. V. 17. P. 67.
- Reuter M., Schwieger C., Meister A., Karlsson G., Blume A. 2009. Poly-L-lisines and poly-L-arginines induce leakage of negatively charged phospholipid vesicles and translocate through the lipid bilayer upon electrostatic binding to the membrane. Biophys. Chem. V. 144. P. 27.
- Selhuber-Unkel C., Lopez-Garcia M., Kessler H., Spatz J.P. 2008. Cooperativity in adhesion cluster formation during initial cell adhesion. Biophys. J. V. 95. P. 5424.
- Takada Y., Ye X., Simon S. 2007. The integrins. Genome Biol. V. 8. 215. https://doi.org/10.1186/gb-2007-8-5-215
- Tompa P., Fuxreiter M., Oldfield C.J., Simon I., Dunker A.K., Uversky V.N. 2009. Close encounters of the third kind: disordered domains and the interactions of proteins. Bioessays. V. 31. P. 328.
- Wells R.G. 2008. The role of matrix stiffness in regulating cell behavior. Hepatology. V. 47. P. 1394.
- Wolfenson H., Iskratsch T., Sheetz M.P. 2014. Early events in cell spreading as a model for quantitative analysis of biomechanical events. Biophys. J. V. 107. P. 2508.
- Xu J., Mosher D. 2011. Fibronectin and other adhesive glycoproteins. In: The extracellular matrix: an overview. Berlin: Springer-Verlag. P. 41.
- Yakuwa N., Inoue T., Watanabe T., Takashi K., Sendo F. 1989. A novel neutrophil adherence test effectively reflects the activated state of neutrophils. Microbiol. Immunol. V. 33. P. 834.
- Yamada K.M., Pankov R., Cukierman E. 2003. Dimensions and dynamics in integrin function. Braz. J. Med. Biol. Res. V. 36. P. 959.
- Yeung T., Georges P.C., Flanagan L.A., Marg B., Ortis M., Funaki M., Zahir N., Ming W., Weaver V., Janmey P.A. 2005. Effects of substance stiffness on cell morphology, cytoskeletal structure and adhesion. Cell Motil. Cytoskeleton. V. 60. P. 24.
- Zemljic J.S., Znidarcic T., Svetina S., Batista U. 2007. The effect of substrate and adsorbed proteins on adhesion, growth and shape of CaCo-2 cells. Cell Biol. Int. V. 31. P. 1097.
- Ziegler W.H., Gingras A.R., Critchley D.R., Emsley J. 2008. Integrin connections to the cytoskeleton through talin and vinculin. Biochem. Soc. Trans. V. 36. P. 235.
Дополнительные файлы





