Changes in the Population of Immature Neurons in the Pyriform Cortex of Experimental Animals after Early Life Stress
- Authors: Salmina A.B.1,2, Uspenskaya Y.A.3, Panina Y.A.1,4, Gorina Y.V.1,4, Lopatina O.L.4
- 
							Affiliations: 
							- Research Institute of Molecular Medicine and Pathobiochemistry, V.F. Voino-Yasenetsky Krasnoyarsk State Medical University
- Brain Science Institute, Research Center of Neurology
- Krasnoyarsk State Agrarian University
- Department of Biochemistry, Medical, Pharmaceutical and Toxicological Chemistry, V.F. Voino-Yasenetsky Krasnoyarsk State Medical University
 
- Issue: Vol 65, No 2 (2023)
- Pages: 206-214
- Section: Articles
- URL: https://journal-vniispk.ru/0041-3771/article/view/140108
- DOI: https://doi.org/10.31857/S0041377123020098
- EDN: https://elibrary.ru/NDICBL
- ID: 140108
Cite item
Full Text
Abstract
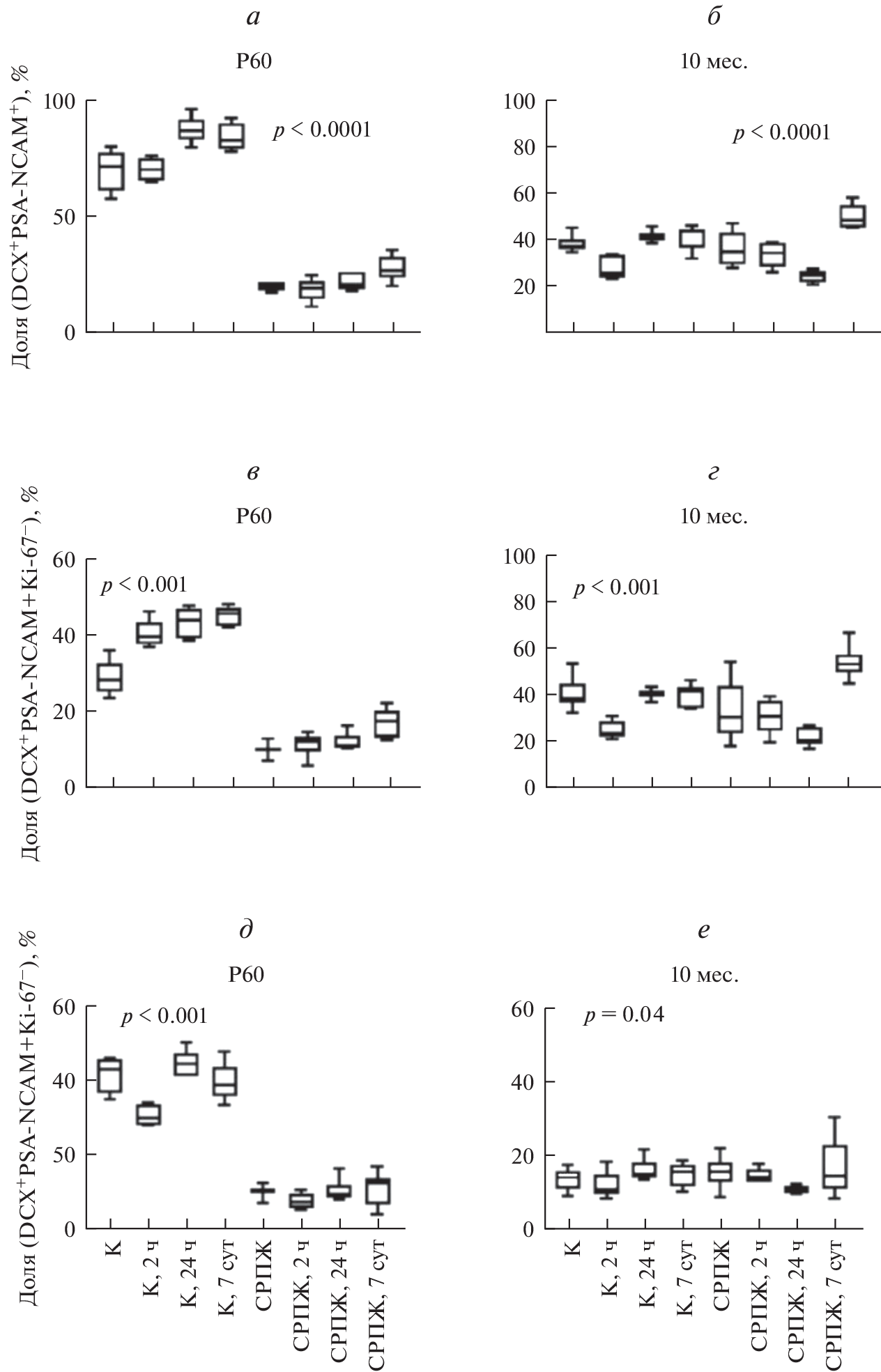
Early life stress is an important factor predisposing to the development of pathology of the nervous system in animals and humans in the late period of ontogenesis. We used an early life stress model to assess the activation of the piriform cortex upon presentation of olfactory stimuli in experimental animals (CD1 mice, P60 and 10 months old) as well as to assess the expression of markers of neurons with prolonged immaturity involved in the processes of plasticity of the adult brain and its recovery. We found that early life stress reduces the number of immature neurons with the DCX+PSA-NCAM+ phenotype in the piriform cortex and the response to olfactory memory induction. In addition, olfactory stimulation reduces sensitivity to unpleasant stimuli at a young age (P60), stimulates short-term memory. However, at the age of 10 months, these effects are less evident. The results obtained indicate a possible contribution of immature neurons of the piriform cortex to the mechanisms of aberrant neuroplasticity after early life stress.
About the authors
A. B. Salmina
Research Institute of Molecular Medicine and Pathobiochemistry, V.F. Voino-Yasenetsky Krasnoyarsk State Medical University; Brain Science Institute, Research Center of Neurology
														Email: yulia.uspenskaya@mail.ru
				                					                																			                												                								Russia, 660022, Krasnoyarsk; Russia, 125367, Moscow						
Yu. A. Uspenskaya
Krasnoyarsk State Agrarian University
							Author for correspondence.
							Email: yulia.uspenskaya@mail.ru
				                					                																			                												                								Russia, 660049, Krasnoyarsk						
Yu. A. Panina
Research Institute of Molecular Medicine and Pathobiochemistry, V.F. Voino-Yasenetsky Krasnoyarsk State Medical University; Department of Biochemistry, Medical, Pharmaceutical and Toxicological Chemistry, V.F. Voino-Yasenetsky Krasnoyarsk State Medical University
														Email: yulia.uspenskaya@mail.ru
				                					                																			                												                								Russia, 660022, Krasnoyarsk; Russia, 660022, Krasnoyarsk						
Ya. V. Gorina
Research Institute of Molecular Medicine and Pathobiochemistry, V.F. Voino-Yasenetsky Krasnoyarsk State Medical University; Department of Biochemistry, Medical, Pharmaceutical and Toxicological Chemistry, V.F. Voino-Yasenetsky Krasnoyarsk State Medical University
														Email: yulia.uspenskaya@mail.ru
				                					                																			                												                								Russia, 660022, Krasnoyarsk; Russia, 660022, Krasnoyarsk						
O. L. Lopatina
Department of Biochemistry, Medical, Pharmaceutical and Toxicological Chemistry, V.F. Voino-Yasenetsky Krasnoyarsk State Medical University
														Email: yulia.uspenskaya@mail.ru
				                					                																			                												                								Russia, 660022, Krasnoyarsk						
References
- Успенская Ю.А., Малиновская Н.А., Волкова В.В., Панина Ю.А., Рябоконь Р.В., Фролова О.В., Салмина А.Б. 2015. Особенности развития неврологической дисфункции после перинатальной гипоксии головного мозга и стресса раннего периода жизни у экспериментальных животных. Сибирское медицинское обозрение. № 5. С. 49. (Uspenskaya Yu.A., Malinovskaya N.A., Volkova V.V., Panina Yu.A., Ryabokon R.V., Frolova O.V., Salmina A.B. 2015. Development of neurological deficit after perinatal hypoxia and early life stress in laboratory animals. Siberian Medical Review. V. 5. P. 49.)
- Agostini M., Romeo F., Inoue S., Niklison-Chirou M.V., Elia A.J., Dinsdale D., Morone N., Knight R.A., Mak T.W., Melino G. 2016. Metabolic reprogramming during neuronal differentiation. Cell Death Differ. V. 23. P. 1502.
- Benedetti B., Dannehl D., König R., Coviello S., Kreutzer C., Zaunmair P., Jakubecova D., Weiger T.M., Aigner L., Nacher J., Engelhardt M., Couillard-Després S. 2020. Functional integration of neuronal precursors in the adult murine piriform cortex. Cereb. Cortex. V. 30. P. 1499.
- Berdugo-Vega G., Arias-Gil G., López-Fernández A., Artegiani B., Wasielewska J.M., Lee C.-C., Lippert M.T., Kempermann G., Takagaki K., Calegari F. 2020. Increasing neurogenesis refines hippocampal activity rejuvenating navigational learning strategies and contextual memory throughout life. Nat. Commun. V. 11. P. 135.
- Besnard A., Sahay A. 2021. Enhancing adult neurogenesis promotes contextual fear memory discrimination and activation of hippocampal-dorsolateral septal circuits. Behav. Brain Res. V. 399. P. 112917.
- Bonfanti L., Seki T. 2021. The PSA-NCAM-positive “immature” neurons: an old discovery providing new vistas on brain structural plasticity. Cells. V. 10. P. 2542.
- Coviello S., Gramuntell Y., Castillo-Gomez E., Nacher J. 2020. Effects of dopamine on the immature neurons of the adult rat piriform cortex. Front. Neurosci. V. 14. P. 574234.
- Fogelman N., Canli T. 2019. Early life stress, physiology, and genetics: a review. Front. Psychol. V. 10. P. 1668.
- Gómez-Climent M.A., Castillo-Gómez E., Varea E., Guirado R., Blasco-Ibáñez J.M., Crespo C., Martínez-Guijarro F.J., Nácher J. 2008. A population of prenatally generated cells in the rat paleocortex maintains an immature neuronal phenotype into adulthood. Cereb. Cortex. V. 18. P. 2229.
- Gómez-Climent M.A., Guirado R., Castillo-Gómez E., Varea E., Gutierrez-Mecinas M., Gilabert-Juan J., García-Mompó C., Vidueira S., Sanchez-Mataredona D., Hernández S., Blasco-Ibáñez J.M., Crespo C., Rutishauser U., Schachner M., Nacher J. 2011. The polysialylated form of the neural cell adhesion molecule (PSA-NCAM) is expressed in a subpopulation of mature cortical interneurons characterized by reduced structural features and connectivity. Cereb. Cortex. V. 21. P. 1028.
- Herzberg M.P., Gunnar M.R. 2020. Early life stress and brain function: activity and connectivity associated with processing emotion and reward. Neuroimage. V. 209. P. 116493.
- Huang L.-T. 2014. Early-life stress impacts the developing hippocampus and primes seizure occurrence: cellular, molecular, and epigenetic mechanisms. Front. Mol. Neurosci. V. 7. P. 8.
- Iwata R., Vanderhaeghen P. 2021. Regulatory roles of mitochondria and metabolism in neurogenesis. Curr. Opin. Neurobiol. V. 69. P. 231.
- Kronman H., Torres-Berrío A., Sidoli S., Issler O., Godino A., Ramakrishnan A., Mews P., Lardner C.K., Parise E.M., Walker D.M., van der Zee Y.Y., Browne C.J., Boyce B.F., Neve R., Garcia B.A. et al. 2021. Long-term behavioral and cell-type-specific molecular effects of early life stress are mediated by H3K79me2 dynamics in medium spiny neurons. Nat. Neurosci. V. 24. P. 667.
- La Rosa C., Parolisi R., Bonfanti L. 2020. Brain structural plasticity: from adult neurogenesis to immature neurons. Front. Neurosci. V. 14. P. 75.
- Liu J.-H., Wang Q., You Q.-L., Li Z.-L., Hu N.-Y., Wang Y., Jin Z.-L., Li S.-J., Li X.-W., Yang J.-M., Zhu X.-H., Dai Y.-F., Xu J.-P., Bai X.-C., Gao T.-M. 2020. Acute EPA-induced learning and memory impairment in mice is prevented by DHA. Nat. Commun. V. 11. P. 5465.
- Malinovskaya N.A., Morgun A.V., Lopatina O.L., Panina Y.A., Volkova V.V., Gasymly E.L., Taranushenko T.E., Salmina A.B. 2018. Early life stress: consequences for the development of the brain. Neurosci. Behav. Physiol. 2018. V. 48. P. 233.
- Mirescu C., Peters J.D., Gould E. 2004. Early life experience alters response of adult neurogenesis to stress. Nat. Neurosci. V. 7. P. 841.
- Piumatti M., Palazzo O., La Rosa C., Crociara P., Parolisi R., Luzzati F., Lévy F., Bonfanti L. 2017. Non-newly generated, “immature” neurons in the sheep brain are not restricted to cerebral cortex J. Neurosci. V. 38. P. 826.
- Rotheneichner P., Belles M., Benedetti B., König R., Dannehl D., Kreutzer C., Zaunmair P., Engelhardt M., Aigner L., Nacher J., Couillard-Despres S. 2018. Cellular plasticity in the adult murine piriform cortex: continuous maturation of dormant precursors into excitatory neurons. Cereb. Cortex. V. 28. P. 2610.
- Ruiz R., Roque A., Pineda E., Licona-Limón P., Valdéz–Alarcón J.J., Lajud N. 2018. Early life stress accelerates age-induced effects on neurogenesis, depression, and metabolic risk. Psychoneuroendocrinol. V. 96. P. 203.
- Salmina A.B., Gorina Y.V., Komleva Y.K., Panina Y.A., Malinovskaya N.A., Lopatina O.L. 2021. Early life stress and metabolic plasticity of brain cells: impact on neurogenesis and angiogenesis. Biomed. V. 9. P. 1092.
- Schellinck H.M., Forestell C.A., LoLordo V.M. 2001. A simple and reliable test of olfactory learning and memory in mice. Chem. Senses. V. 26. P. 663.
- Sorrells S.F., Paredes M.F., Velmeshev D., Herranz-Pérez V., Sandoval K., Mayer S., Chang E.F., Insausti R., Kriegstein A.R., Rubenstein J.L., Garcia-Verdugo J.M., Huang E.J., Alvarez-Buylla A. 2019. Immature excitatory neurons develop during adolescence in the human amygdala. Nat. Commun. V. 10. P. 2748.
- Vadodaria K.C., Yanpallewar S.U., Vadhvani M., Toshniwal D., Cameron Liles L., Rommelfanger K.S., Weinshenker D., Vaidya V.A. 2017. Noradrenergic regulation of plasticity marker expression in the adult rodent piriform cortex. Neurosci. Lett. V. 644. P. 76.
- Wang X., Liu H., Morstein J., Novak A.J.E., Trauner D., Xiong Q., Yu Y., Ge S. 2020. Metabolic tuning of inhibition regulates hippocampal neurogenesis in the adult brain. Proc. Natl. Acad. Sci. USA. V. 117. P. 25818.
Supplementary files
 
				
			 
					 
						 
						 
						 
						 
				
 
  
  
  Email this article
			Email this article 





