Белок щелевых контактов коннексин-43 в глиальных клетках чувствительного ганглия крысы
- Авторы: Колос Е.А.1, Коржевский Д.Э.1
-
Учреждения:
- Институт экспериментальной медицины
- Выпуск: Том 65, № 6 (2023)
- Страницы: 583-592
- Раздел: Статьи
- URL: https://journal-vniispk.ru/0041-3771/article/view/232816
- DOI: https://doi.org/10.31857/S0041377123060056
- EDN: https://elibrary.ru/QPQWCJ
- ID: 232816
Цитировать
Полный текст
Аннотация
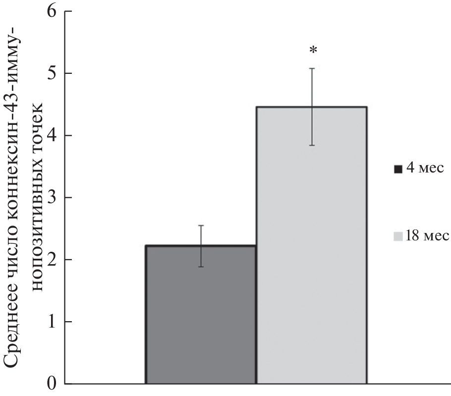
Цель настоящего исследования состояла в изучении динамики распределения и локализации белка щелевых контактов коннексина-43 (Сx43) в клетках ганглия заднего корешка спинного мозга (dorsal root ganglion, DRG) крысы на разных этапах постнатального онтогенеза для оценки морфологических признаков возрастных изменений межклеточных взаимодействий. Работа выполнена на крысах Вистар в возрасте 4 и 18 мес с помощью иммуногистохимических методов. Глиальные клетки выявляли с применением антител к глутаминсинтетазе, макрофаги – с применением маркера Iba-1. Установлено, что коннексин-43-содержащие структуры идентифицируются преимущественно в сателлитных глиальных клетках молодых и стареющих животных. Чувствительные нейроны, а также макрофаги DRG крыс исследованных возрастных групп коннексин-43 не содержат. При анализе возрастных изменений межклеточных контактов в DRG крыс было установлено, что зоны, обогащенные коннексином-43, соответствующие бляшкам (plaques) белковых каналов, обеспечивающие метаболическое взаимодействие сателлитных клеток в ганглиях задних корешков спинного мозга, с возрастом становятся более многочисленными. Данный факт может свидетельствовать об активации взаимодействия между глиальными клетками в чувствительных узлах крыс при старении.
Об авторах
Е. А. Колос
Институт экспериментальной медицины
Автор, ответственный за переписку.
Email: koloselena1984@yandex.ru
Россия, 197376, Санкт-Петербург
Д. Э. Коржевский
Институт экспериментальной медицины
Email: koloselena1984@yandex.ru
Россия, 197376, Санкт-Петербург
Список литературы
- Adamczyk A. 2023. Glial–neuronal interactions in neurological disorders: Molecular mechanisms and potential points for intervention. Int. J. Mol. Sci. V. 24. P. 6274. https://doi.org/10.3390/ijms24076274
- Almad A.A., Doreswamy A., Gross S.K., Richard J.P., Huo Y., Haughey N., Maragakis N.J. 2016. Connexin 43 in astrocytes contributes to motor neuron toxicity in amyotrophic lateral sclerosis. Glia. V. 64. P. 1154. https://doi.org/10.1002/glia.22989
- Basu R., Das Sarma J. 2018. Connexin 43/47 channels are important for astrocyte/oligodendrocyte cross-talk in myelination and demyelination. J. Biosci. V. 43. P. 1055. https://doi.org/10.1007/s12038-018-9811-0
- Brocardo L., Acosta L.E., Piantanida A.P., Rela L. 2019. Beneficial and detrimental remodeling of glial connexin and pannexin functions in rodent models of nervous system diseases. Front. Cell Neurosci. V. 13: 491. https://doi.org/10.3389/fncel.2019.00491
- Chew S.S., Johnson C.S., Green C.R., Danesh-Meyer H.V. 2010. Role of connexin 43 in central nervous system injury. Exp. Neurol. V. 225. P. 250. https://doi.org/10.1016/j.expneurol.2010.07.014
- Dublin P., Hanani M. 2007. Satellite glial cells in sensory ganglia: Their possible contribution to inflammatory pain. Brain Behav. Immun. V. 21. P. 592. https://doi.org/10.1016/j.bbi.2006.11.011
- Fukuda T. 2007. Structural organization of the gap junction network in the cerebral cortex. Neuroscientist. V. 13. P. 199. https://doi.org/10.1177/1073858406296760
- Grigorev I.P., Korzhevskii D.E. 2018. Current technologies for fixation of biological material for immunohistochemical analysis (review). Modern Technologies in Medicine. V. 10. № 2. P. 156. https://doi.org/10.17691/stm2018.10.2.19
- Hanani M., Huang T.Y., Cherkas P.S., Ledda M., Pannese E. 2002. Glial cell plasticity in sensory ganglia induced by nerve damage. Neuroscience. V. 114. P. 279. https://doi.org/10.1016/s0306-4522(02)00279-8
- Hanani M. 2005. Satellite glial cells in sensory ganglia: from form to function. Brain Res. Brain Res. Rev. V. 48. P. 457. https://doi.org/10.1016/j.brainresrev.2004.09.001
- Hanani M., Spray D.C. 2012. Glial cells in autonomic and sensory ganglia. In: Neuroglia. New York, Oxford Academic, 3 edn, 122–134. https://doi.org/10.1093/med/9780199794591.003.0011
- Hanani M. 2015. Role of satellite glial cells in gastrointestinal pain. Front. Cell Neurosci. V. 9: 412. https://doi.org/10.3389/fncel.2015.00412
- Hanani M., Spray D.C. 2020. Emerging importance of satellite glia in nervous system function and dysfunction. Nat. Rev. Neurosci. V. 21. P. 485. https://doi.org/10.1038/s41583-020-0333-z
- Hanani M, Spray D.C., Huang T.Y. 2023. Age-related changes in neurons and satellite glial cells in mouse dorsal root ganglia. Int. J. Mol. Sci. V. 24: 2677. https://doi.org/10.3390/ijms24032677
- Huang T.Y., Hanani M., Ledda M., De Palo S., Pannese E. 2006. Aging is associated with an increase in dye coupling and in gap junction number in satellite glial cells of murine dorsal root ganglia. Neuroscience. V. 137. P. 1185. https://doi.org/10.1016/j.neuroscience.2005.10.020
- Huang T.Y., Belzer V., Hanani M. 2010. Gap junctions in dorsal root ganglia: possible contribution to visceral pain. Eur. J. Pain. V. 14. P. 49.e1. https://doi.org/10.1016/j.ejpain.2009.02.005
- Huang X., Su Y., Wang N., Li H., Li Z., Yin G., Chen H., Niu J., Yi C. 2021. Astroglial connexins in neurodegenerative diseases. Front. Mol. Neurosci. V. 14: 657514. https://doi.org/10.3389/fnmol.2021.657514
- Iacobas D.A., Urban-Maldonado M., Iacobas S., Scemes E., Spray D.C. 2003. Array analysis of gene expression in connexin-43 null astrocytes. Physiol. Genomics. V. 15. P. 177. https://doi.org/10.1152/physiolgenomics.00062.2003
- Jasmin L., Vit J.P., Bhargava A., Ohara P.T. 2010. Can satellite glial cells be therapeutic targets for pain control? Neuron Glia Biol. V. 6. P. 63. https://doi.org/10.1017/s1740925x10000098
- Ji R.R., Kawasaki Y., Zhuang Z.Y., Wen Y.R., Decosterd I. 2006. Possible role of spinal astrocytes in maintaining chronic pain sensitization: review of current evidence with focus on bFGF/JNK pathway. Neuron Glia Biol. V. 2. P. 259.
- Kettenmann H., Faissner A., Trotter J. 1996. Neuron-glia interactions in homeostasis and degeneration. In: Greger, R., Windhorst, U. (eds) Comprehensive Human Physiology. Springer, Berlin, Heidelberg. https://doi.org/10.1007/978-3-642-60946-6_27
- Kettenmann H., Hanisch U.K., Noda M., Verkhratsky A. 2011. Physiology of microglia. Physiol. Rev. V. 91. P. 461.
- Kim Y.S., Choi J., Yoon B.-E. 2020. Neuron-glia interactions in neurodevelopmental disorders. Cells. V. 9: 2176. https://doi.org/10.3390/cells9102176
- Koike T., Tanaka S., Hirahara Y., Oe S., Kurokawa K., Maeda M., Suga M., Kataoka Y., Yamada H. 2019. Morphological characteristics of p75 neurotrophin receptor-positive cells define a new type of glial cell in the rat dorsal root ganglia. J. Comp. Neurol. V. 527. P. 2047. https://doi.org/10.1002/cne.24667
- Kolos E.A., Korzhevskii D.E. 2018. Glutamine synthetase-containing cells of the dorsal root ganglion at different stages of rat ontogeny. Russ. J. Dev. Biol. V. 49. P. 179. https://doi.org/10.1134/S1062360418030049
- Korzhevskii D.E., Sukhorukova E.G., Gilerovich E.G., Petrova E.S., Kirik O.V., Grigorev I.P. 2014. Advantages and disadvantages of zinc-ethanol-formaldehyde as a fixative for immunocytochemical studies and confocal laser microscopy. Neurosci. Behav. Physiol. V. 44. P. 542. https://doi.org/10.1007/s11055-014-9948-8
- Korzhevskii D.E., Sukhorukova E.G., Kirik O.V., Grigorev I.P. 2015. Immunohistochemical demonstration of specific antigens in the human brain fixed in zinc-ethanol-formaldehyde. Eur. J Histochem. V. 59. P. 233. https://doi.org/10.4081/ejh.2015.2530
- Li F., Li L., Song X.Y., Zhong J.H., Luo X.G., Xian C.J., Zhou X.F. 2009. Preconditioning selective ventral root injury promotes plasticity of ascending sensory neurons in the injured spinal cord of adult rats–possible roles of brain-derived neurotrophic factor, TrkB and p75 neurotrophin receptor. Eur. J. Neurosci. V. 30. P. 1280. https://doi.org/10.1111/j.1460-9568.2009.06920.x
- Lin S.H., Lu C.Y., Muhammad R., Chou W.Y., Lin F.C., Wu P.C., Lin C.R., Yang L.C. 2002. Induction of connexin 37 expression in a rat model of neuropathic pain. Brain Res. Mol. Brain Res. V. 99. P.134.
- Marshall A., Duchen L.W. 1975. Sensory system involvement in infantile spinal muscular atrophy. J. Neurol. Sci. V. 26. P. 349. https://doi.org/10.1016/0022-510x(75)90207-5
- Martinelli C., Sartori P., Ledda M., Pannese E. 2004. Gap junctions between perineuronal satellite cells increase in number with age in rabbit spinal ganglia. J. Submicrosc. Cytol. Pathol. V. 36. P. 17.
- Martinelli C., Sartori P., De Palo S., Ledda M., Pannese E. 2005. Increase in number of the gap junctions between satellite neuroglial cells during lifetime: an ultrastructural study in rabbit spinal ganglia from youth to extremely advanced age. Brain Res. Bull. V. 67. P. 19. https://doi.org/10.1016/j.brainresbull.2005.05.021
- Martinelli C., Sartori P., De Palo S., Ledda M., Pannese E. 2006. The perineuronal glial tissue of spinal ganglia. Quantitative changes in the rabbit from youth to extremely advanced age. Anat. Embryol. (Berl). V. 211. P. 455. https://doi.org/10.1007/s00429-006-0097-x
- Miyazaki I., Asanuma M. 2020. Neuron-astrocyte interactions in Parkinson’s disease. Cells. V. 9: 2623. https://doi.org/10.3390/cells9122623
- Meyer K., Kaspar B.K. 2017. Glia-neuron interactions in neurological diseases: Testing non-cell autonomy in a dish. Brain Res. V. 1656. P. 27. https://doi.org/10.1016/j.brainres.2015.12.051
- Nadeau J.R., Wilson-Gerwing T.D., Verge V.M. 2014. Induction of a reactive state in perineuronal satellite glial cells akin to that produced by nerve injury is linked to the level of p75NTR expression in adult sensory neurons. Glia. V. 62. P. 763. https://doi.org/10.1002/glia.22640
- Obata K., Katsura H., Sakurai J., Kobayashi K., Yamanaka H., Dai Y., Fukuoka T., Noguchi K. 2006. Suppression of the p75 neurotrophin receptor in uninjured sensory neurons reduces neuropathic pain after nerve injury. J. Neurosci. V. 26. P. 11 974. https://doi.org/10.1523/jneurosci.3188-06.2006
- Ohsawa K., Imai Y., Kanazawa H., Sasaki Y., Kohsaka S. 2000. Involvement of Iba1 in membrane ruffling and phagocytosis of macrophages/microglia. J. Cell Sci. V. 113. P. 3073. https://doi.org/10.1242/jcs.113.17.3073
- Orellana J.A., von Bernhardi R., Giaume C., Sáez J.C. 2012. Glial hemichannels and their involvement in aging and neurodegenerative diseases. Rev. Neurosci. V. 23. P. 163. https://doi.org/10.1515/revneuro-2011-0065
- Orellana J.A., Retamal M.A., Moraga-Amaro R., Stehberg J. 2016. Role of astroglial hemichannels and pannexons in memory and neurodegenerative diseases. Front. Integr. Neurosci. V. 10: 26. https://doi.org/10.3389/fnint.2016.00026
- Pannese E. 1981.The satellite cells of the sensory ganglia. Adv. Anat. Embryol. Cell Biol. V. 65. P. 1.
- Pannese E., Ledda M., Cherkas P.S., Huang T.Y., Hanani M. 2003. Satellite cell reactions to axon injury of sensory ganglion neurons: increase in number of gap junctions and formation of bridges connecting previously separate perineuronal sheaths. Anat. Embryol. (Berl). V 206. P. 337. https://doi.org/10.1007/s00429-002-0301-6
- Pannese E. 2010. The structure of the perineuronal sheath of satellite glial cells (SGCs) in sensory ganglia. Neuron Glia Biol. V. 6. P. 3. https://doi.org/10.1017/S1740925X10000037
- Pierezan F., Mansell J., Ambrus A., Hoffmann R.A. 2014. Immunohistochemical expression of ionized calcium binding adapter molecule 1 in cutaneous histiocytic proliferative, neoplastic and inflammatory disorders of dogs and cats. J. Comp. Pathol. V. 151. P. 347. https://doi.org/10.1016/j.jcpa.2014.07.003
- Procacci P., Magnaghi V., Pannese E. 2008. Perineuronal satellite cells in mouse spinal ganglia express the gap junction protein connexin43 throughout life with decline in old age. Brain Res. Bull. V. 75. P. 562. https://doi.org/10.1016/j.brainresbull.2007.09.007
- Retamal M.A., Riquelme M.A., Stehberg J., Alcayaga J. 2017. Connexin43 hemichannels in satellite glial cells, can they influence sensory neuron activity? Front. Mol. Neurosci. V. 10: 374. https://doi.org/10.3389/fnmol.2017.00374
- Rodjakovic D., Salm L., Beldi G. 2021. Function of connexin-43 in macrophages. Int. J. Mol. Sci. V. 22: 1412. https://doi.org/10.3390/ijms2203141
- Schmitt L.-I., Leo M., Kutritz A., Kleinschnitz C., Hagenacker T. 2020. Activation and functional modulation of satellite glial cells by oxaliplatin lead to hyperexcitability of sensory neurons in vitro. Mol. Cell. Neurosci. V. 105: 103499. https://doi.org/10.1016/j.mcn.2020.103499
- Tsuda M., Inoue K., Salter M.W. 2005. Neuropathic pain and spinal microglia: a big problem from molecules in “small” glia. Trends Neurosci. V. 28. P. 101. https://doi.org/10.1016/j.tins.2004.12.002
- Wu A., Green C.R., Rupenthal I.D., Moalem-Taylor G. 2012. Role of gap junctions in chronic pain. J. Neurosci. Res. V. 90. P. 337. https://doi.org/10.1002/jnr.22764
- Xing J., Wang H., Chen L., Wang H., Huang H., Huang J., Xu C. 2023. Blocking Cx43 alleviates neuropathic pain in rats with chronic constriction injury via the P2X4 and P38/ERK-P65 pathways. Int. Immunopharmacol. V. 114: 109506. https://doi.org/10.1016/j.intimp.2022.109506
Дополнительные файлы







