Growth of the Whitefish Coregonus lavaretus (Salmonidae: Coregoninae) in the Ural Tributaries of the Pechora River
- Autores: Boznak E.I.1, Ponomarev V.I.1
-
Afiliações:
- Institute of Biology, Komi Scientific Center, Ural Branch, Russian Academy of Sciences, Syktyvkar, Russia
- Edição: Volume 63, Nº 1 (2023)
- Páginas: 39-49
- Seção: Articles
- URL: https://journal-vniispk.ru/0042-8752/article/view/135152
- DOI: https://doi.org/10.31857/S0042875223010022
- EDN: https://elibrary.ru/CYTDLR
- ID: 135152
Citar
Texto integral
Resumo
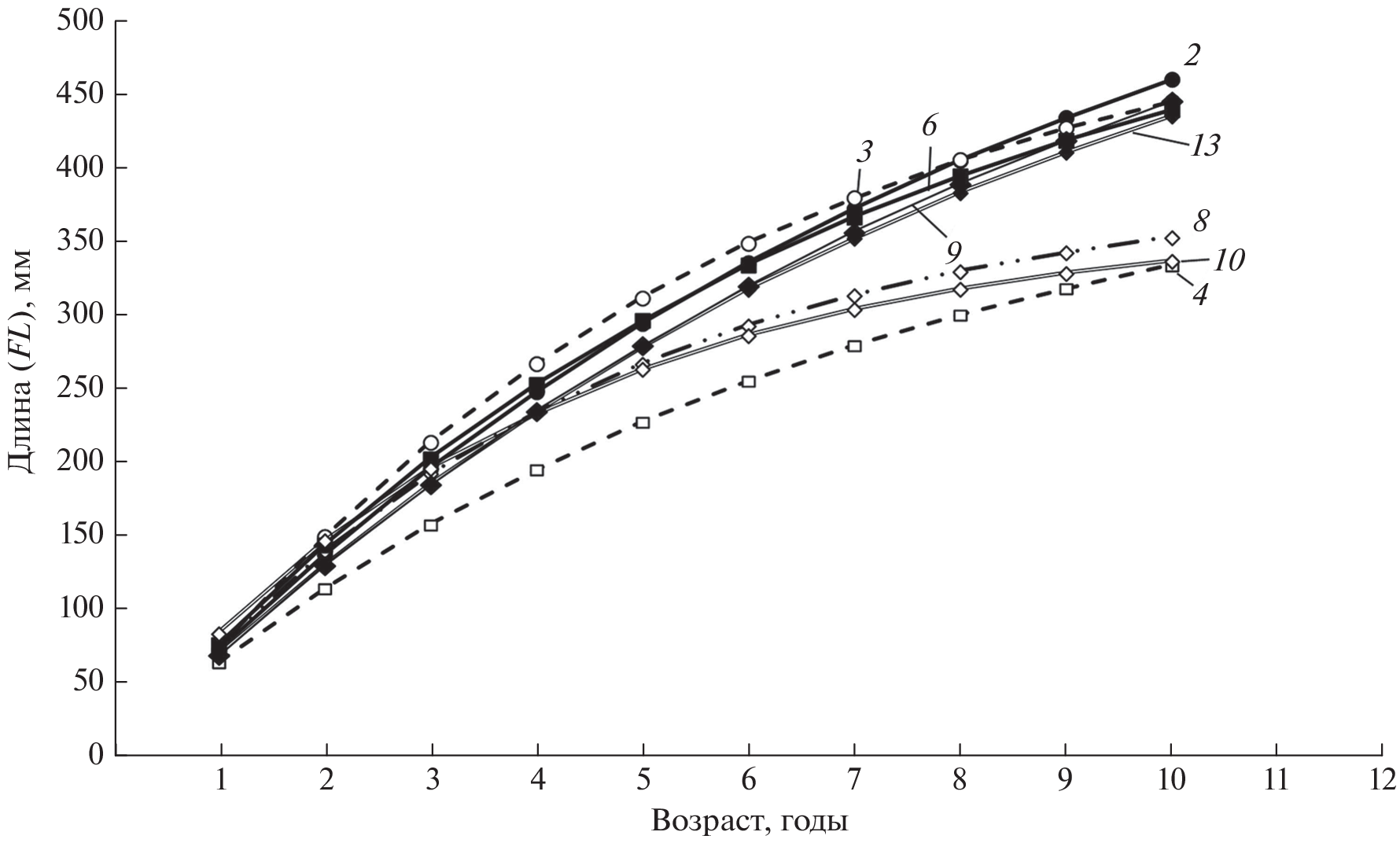
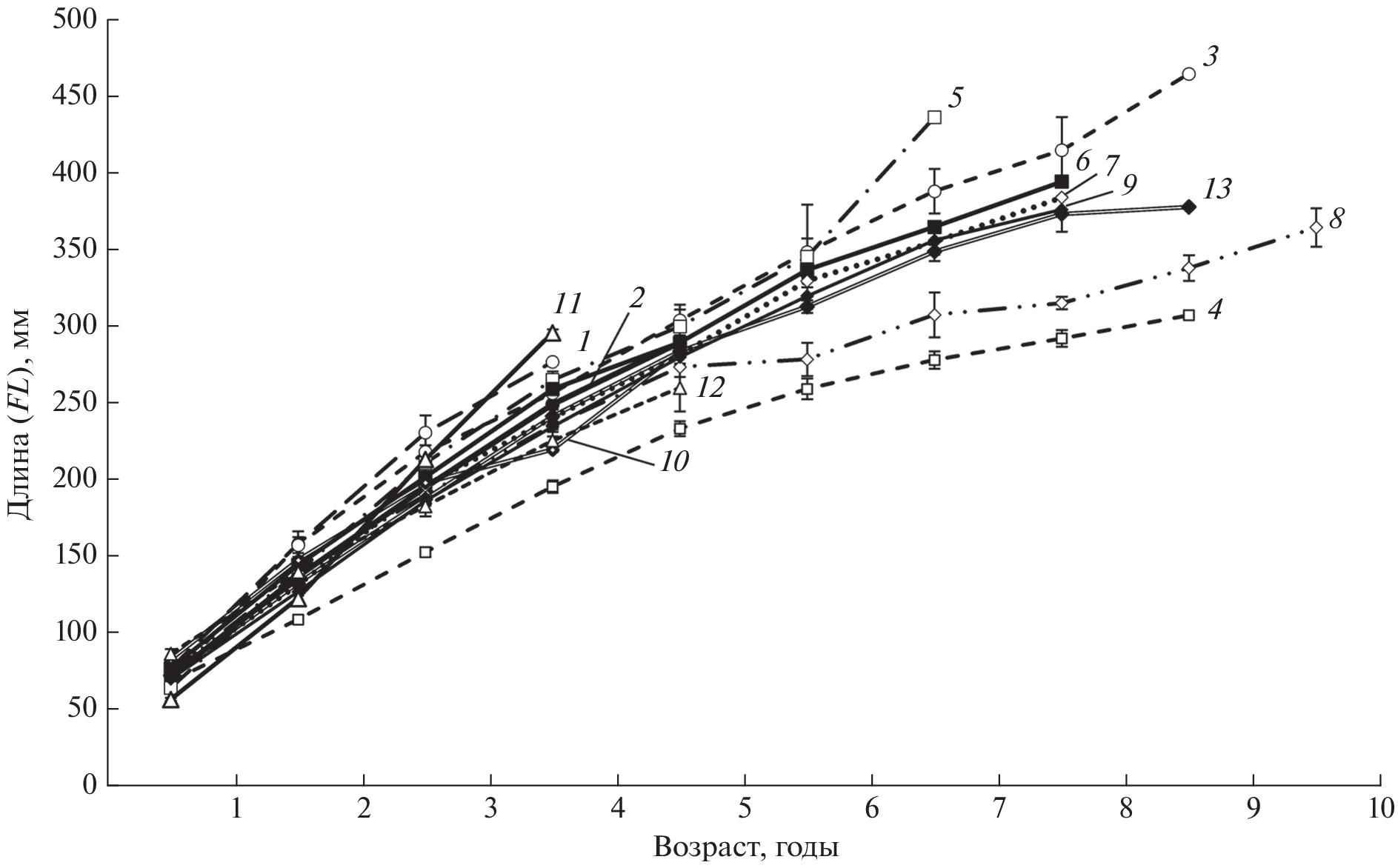
For the first time, we represent a comparative characteristic of the growth of, presumably, the freshwater form of the whitefish Coregonus lavaretus in the Ural tributaries of the Pechora River. The growth rate of the whitefish in the studied rivers varies significantly, which testifies the assumption of existence of several local groups in the Pechora river system, confined to different parts of the river basin. In the Ilych and Kosyu rivers as well as in the upper reaches of the Pechora River (Northern Urals), the calculated body lengths and linear growth rates do not differ significantly. Similar growth rates have been observed for the whitefish from the plain tributaries of the Pechora (lower reaches of the Kosyu and Usa rivers). In the rivers of the Subpolar Urals, the variability of whitefish growth rates is significantly higher. The specific growth rate of the subadult whitefish positively correlates with the benthos biomass in the watercourse (ρs = 0.57 according to Spearman, p = 0.04), while the dependence on climatic conditions is less significant.
Sobre autores
E. Boznak
Institute of Biology, Komi Scientific Center, Ural Branch, Russian Academy of Sciences, Syktyvkar, Russia
Email: boznak@ib.komisc.ru
Россия, Сыктывкар
V. Ponomarev
Institute of Biology, Komi Scientific Center, Ural Branch, Russian Academy of Sciences, Syktyvkar, Russia
Autor responsável pela correspondência
Email: boznak@ib.komisc.ru
Россия, Сыктывкар
Bibliografia
- Атлас пресноводных рыб России. 2002. Т. 1. М.: Наука, 379 с.
- Боровской А.В., Новоселов А.П. 2020. Пищевые отношения сиговых видов рыб в нижнем течении реки Уса в осенний период // Тр. КарНЦ РАН. № 5. С. 44–58. https://doi.org/10.17076/eco1196
- Дгебуадзе Ю.Ю. 2001. Экологические закономерности изменчивости роста рыб. М.: Наука, 275 с.
- Дгебуадзе Ю.Ю. 2010. Оценки возраста и роста в популяционных исследованиях рыб // Актуальные проблемы современной ихтиологии (к 100-летию Г.В. Никольского). М.: Т-во науч. изд. КМК. С. 201–240.
- Дгебуадзе Ю.Ю., Чернова О.Ф. 2009. Чешуя костистых рыб как диагностическая и регистрирующая структура. М.: Т-во науч. изд. КМК, 313 с.
- Дятлов М.А. 2002. Рыбы Ладожского озера (распространение, морфометрия, экология, промышленное использование). Петрозаводск: Изд-во ИБ КарНЦ РАН, 280 с.
- Захаров А.Б., Пономарев В.И., Таскаев А.И. 2008. Рыбные ресурсы крупных речных систем европейской части Арктики России и перспективы развития рыбного хозяйства // Север: арктический вектор социально-экологических исследований. Сыктывкар: Изд-во Коми НЦ УрО РАН. С. 329–349.
- Зверева О.С. 1962. Гидробиологическая изученность р. Усы и озер ее долины // Рыбы бассейна р. Усы и их кормовые ресурсы. М.; Л.: Изд-во АН СССР. С. 38–87.
- Зубова Е.М., Кашулин Н.А., Терентьев П.М. и др. 2016. Линейный рост малотычинкового сига Сoregonus lavaretus (Coregonidae) озера Имандра (Мурманская область) // Вопр. ихтиологии. Т. 56. № 4. С. 463–473. https://doi.org/10.7868/S0042875216040214
- Ильмаст Н.В., Стерлигова О.П., Милянчук Н.П. 2018. Биологические показатели сиговых видов рыб озера Тулос (западная Карелия) // Уч. зап. ПетрГУ. № 8 (177). С. 27–32. https://doi.org/10.15393/uchz.art.2018.246
- Козьмин А.К. 2016. Биология и состояние запасов сига-пыжьяна Сoregonus lavaretus pidschian (Gmelin, 1788) (отряд — Лососеобразные, семейство — Сиговые) в р. Печоре // Вестн. рыбохоз. науки. Т. 3. № 2 (10). С. 27–38.
- Кучина Е.С. 1962. Ихтиофауна притоков р. Усы // Рыбы бассейна р. Усы и их кормовые ресурсы. М.; Л.: Изд-во АН СССР. С. 176–211.
- Лоскутова О.А. 2004. Зообентос малых рек национального парка “Югыд ва” // Матер. докл. науч.-практ. конф. “Проблемы особо охраняемых природных территорий европейского Севера”. Сыктывкар: Изд-во Коми НЦ УрО РАН. С. 89–92.
- Лоскутова О.А. 2007. Зообентос // Биоразнообразие экосистем Полярного Урала. Сыктывкар: Изд-во ИБ Коми НЦ УрО РАН. С. 90–111.
- Мельниченко И.П., Богданов В.Д. 2014. Современное состояние сига-пыжьяна в бассейне реки Северной Сосьвы // Вестн. АГТУ. Сер. Рыбн. хоз-во. № 4. С. 16–22.
- Мина М.В., Клевезаль Г.А. 1976. Рост животных. М.: Наука, 292 с.
- Моисеенко Т.И. 2002. Изменение стратегии жизненного цикла рыб под воздействием хронического загрязнения вод // Экология. № 1. С. 50–60.
- Никольский Г.В. 1974. Теория динамики стада рыб как биологическая основа рациональной эксплуатации и воспроизводства рыбных ресурсов. М.: Пищ. пром-сть, 447 с.
- Остроумов Н.А. 1953. Рыбы // Рыбы и рыбный промысел среднего и нижнего течения Печоры. М.; Л.: Изд-во АН СССР. С. 61–117.
- Первозванский В.Я. 1986. Рыбы водоемов района Костомукшского железорудного месторождения (экология, воспроизводство, использование). Петрозаводск: Карелия, 216 с.
- Пономарев В.И. 2017. Рыбы озер западных склонов Приполярного и Полярного Урала // Изв. Коми НЦ УрО РАН. № 2 (30). С. 16–29.
- Пономарев В.И., Захаров А.Б. 2021. Распространение и биологические особенности хариуса Thymallus thymallus (Thymallidae) на Европейском Северо-Востоке России // Вопр. ихтиологии. Т. 61. № 2. С. 153–166. https://doi.org/10.31857/S0042875221010136
- Пономарев В.И., Лоскутова О.А. 2002. Мониторинг состояния рыбных ресурсов и водных беспозвоночных бассейна реки Большой Паток (Северный Урал) // Водные организмы в естественных и трансформированных экосистемах Европейского Северо-Востока. Сыктывкар: Изд-во Коми НЦ УрО РАН. С. 90–113.
- Пономарев В.И., Лоскутова О.А. 2020. Влияние высотного градиента на структуру водных сообществ бассейна реки Вангыр (Приполярный Урал) // Экология. № 1. С. 62–71. https://doi.org/10.31857/S0367059720010096
- Пономарев В.И., Шубина В.Н., Серегина Е.Ю. 2000. Популяционные особенности питания хариуса Thymallus thymallus L. (на примере тиманских притоков р. Печора) // Биология внутр. вод. № 2. С. 116–124.
- Попов П.А. 2007. Рыбы Сибири: распространение, экология, вылов. Новосибирск: Изд-во НГУ, 526 с.
- Правдин И.Ф. 1966. Руководство по изучению рыб. М.: Пищ. пром-сть, 376 с.
- Протопопов Н.К. 1983. Морфологическая характеристика и структура популяций сига-пыжьяна реки Печоры // Биология и промысел рыб в разнотипных водоемах Северо-Запада. Л.: Изд-во ГосНИОРХ. С. 103–127.
- Рафиков Р.Р. 2019. Среднетычинковая форма сига Coregonus lavaretus (Linnaeus, 1758) из бассейна реки Печоры // Тез. докл. XII съезда гидробиол. о-ва РАН. Петрозаводск: Изд-во КарНЦ РАН. С. 398–399.
- Решетников Ю.С. 1980. Экология и систематика сиговых рыб. М.: Наука, 300 с.
- Савосин Д.С., Стерлигова О.П., Ильмаст Н.В. 2016. Распространение и условия обитания многотычинкового сига Coregonus lavaretus (L.) водоемов Карелии // Тр. КарНЦ РАН. № 4. С. 48–58. https://doi.org/10.17076/eco209
- Сендек Д.С., Новоселов А.П., Бознак Э.И. 2016. Генетическая дифференциация сиговых рыб в реке Печоре // Сиб. экол. журн. № 2. С. 194–201. https://doi.org/10.15372/SEJ20160203
- Сидоров Г.П. 1974. Рыбные ресурсы Большеземельской тундры. Л.: Наука, 164 с.
- Сидоров Г.П., Решетников Ю.С. 2014. Лососеобразные рыбы водоемов европейского северо-востока. М.: Т-во науч. изд. КМК, 346 с.
- Соловкина Л.Н. 1962. Рыбы среднего и нижнего течения р. Усы // Рыбы бассейна р. Усы и их кормовые ресурсы. М.; Л.: Изд-во АН СССР. С. 88–135.
- Соловкина Л.Н. 1975. Рыбные ресурсы Коми АССР. Сыктывкар: Коми кн. изд-во, 168 с.
- Стерлигова О.П., Ильмаст Н.В., Савосин Д.С. 2016. Круглоротые и рыбы пресных вод Карелии. Петрозаводск: Изд-во КарНЦ РАН, 224 с.
- Туманов М.Д., Воробьев Д.С., Мартынов В.Г. 2013. Сиговые рыбы нижнего течения реки Усы в условиях техногенного загрязнения. Томск: Изд-во ТГУ, 204 с.
- Следь Т.В., Михайличенко Л.В., Лугаськов А.В. и др. 1990. Характеристика ихтиофауны бассейна р. Северной Сосьвы // Характеристика экосистемы реки Северной Сосьвы. Свердловск: Изд-во УрО РАН СССР. С. 94–179.
- Чугунова Н.И. 1959. Руководство по изучению возраста и роста рыб. М.: Изд-во АН СССР, 164 с.
- Шубина В.Н. 2006. Бентос лососевых рек Урала и Тимана. СПб.: Наука, 401 с.
- Экология рыб Обь-Иртышского бассейна. 2006. М.: Тов-во науч. изд. КМК, 596 с.
- Яржомбек А.А. 2011. Закономерности роста промысловых рыб. М.: Изд-во ВНИРО, 182 с.
- Healey M.C. 1980. Growth and recruitment in experimentally exploited lake whitefish (Coregonus clupeaformis) populations // Can. J. Fish. Aquat. Sci. V. 37. № 2. P. 255–267. https://doi.org/10.1139/f80-033
- Heino M., Baulier L., Boukal D.S. et al. 2008. Evolution of growth in Gulf of St. Lawrence cod? // Proc. R. Soc. B. Biol. Sci. V. 275. № 1639. P. 1111–1112. https://doi.org/10.1098/rspb.2007.1429
- Lorenz P., Trommer G., Stibor H. 2019. Impacts of increasing nitrogen: phosphorus ratios on zooplankton community composition and whitefish (Coregonus macrophthalmus) growth in a pre-alpine lake // Freshwat. Biol. V. 64. № 6. P. 1210–1225. https://doi.org/10.1111/fwb.13296
- Mayr C. 2001. The influence of population density on growth of whitefish (Coregonus lavaretus L.) in four prealpine lakes // Limnologica. V. 31. № 1. P. 53–60. https://doi.org/10.1016/S0075-9511(01)80049-9
- Nusslé S., Bornand C.N., Wedekind C. 2008. Fishery-induced selection on an Alpine whitefish: quantifying genetic and environmental effects on individual growth rate // Evol. Appl. V. 2. № 2. P. 200–208. https://doi.org/10.1111/j.1752-4571.2008.00054.x
- Thomas G., Eckmann R. 2007. The influence of eutrophication and population biomass on common whitefish (Coregonus lavaretus) growth – The Lake Constance example revisited // Can. J. Fish. Aquat. Sci. V. 64. № 3. P. 402–410. https://doi.org/10.1139/f07-019
Arquivos suplementares





