Зоогеографический анализ особенностей температурных предпочтений рыб европейской части России
- Авторы: Смирнов А.К.1
-
Учреждения:
- Институт биологии внутренних вод РАН – ИБВВ РАН
- Выпуск: Том 63, № 2 (2023)
- Страницы: 132-143
- Раздел: Статьи
- URL: https://journal-vniispk.ru/0042-8752/article/view/135166
- DOI: https://doi.org/10.31857/S0042875223020248
- EDN: https://elibrary.ru/FAFKLS
- ID: 135166
Цитировать
Полный текст
Аннотация
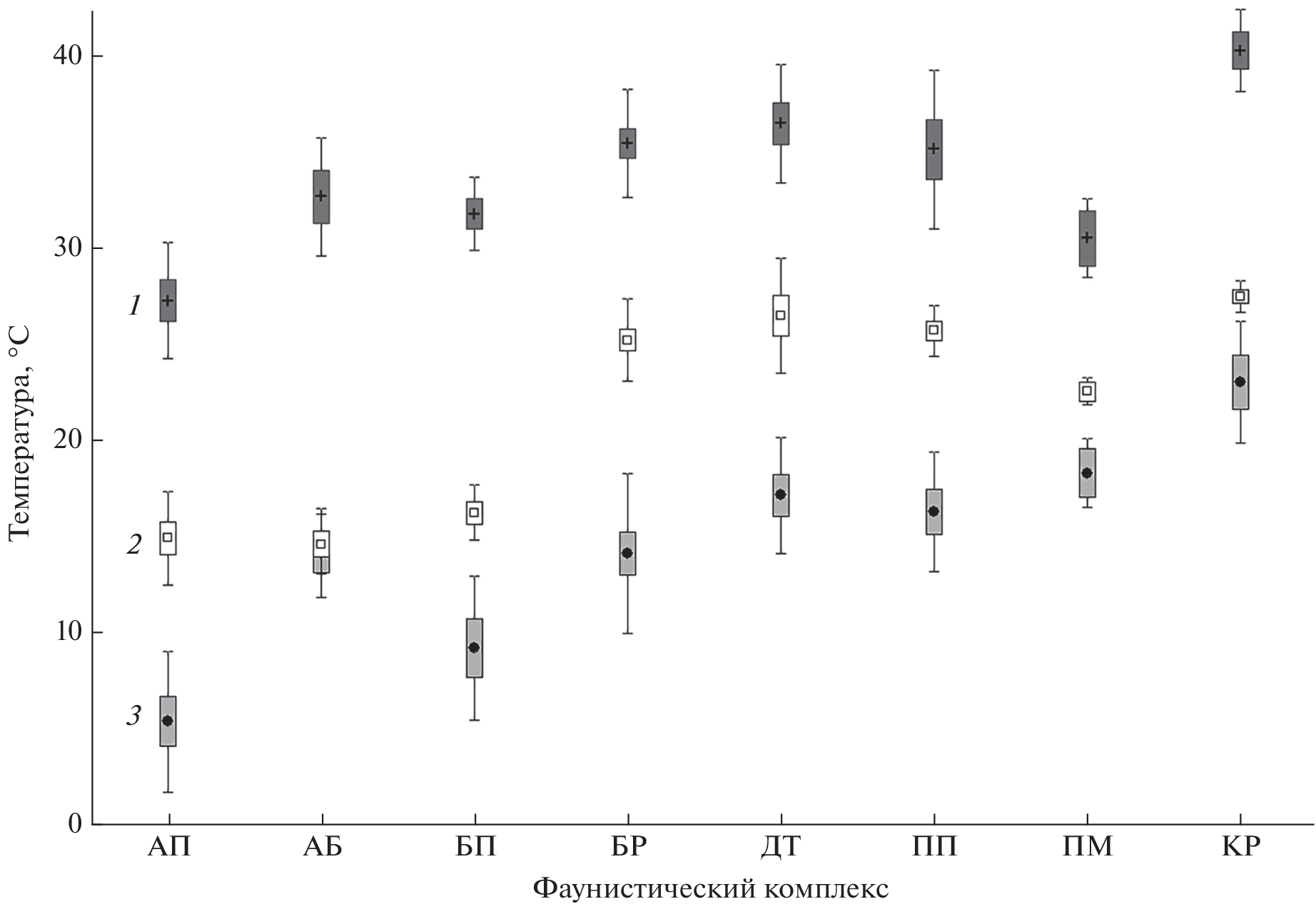
Представлены результаты анализа температурных предпочтений 54 видов рыб и круглоротых, населяющих пресные водоёмы европейской части России. Показано, что сведения по основным температурным критериям фундаментальной экологической ниши (оптимум, лимиты и нерестовая температура) не могут быть использованы в качестве чёткого признака принадлежности видов к тому или иному фаунистическому комплексу. Тем не менее эти критерии являются, по всей видимости, определённым отражением климатических условий, существовавших во время возникновения и становления видов. Среди изученных рыб и круглоротых выделены две обособленные группы “северных” холодолюбивых и “южных” теплолюбивых видов. Их наличие обусловлено историческими особенностями формирования ихтиофауны региона. Климатическая тенденция к росту температуры воды, наметившаяся в последние десятилетия, вероятно, благоприятствует распространению на север представителей теплолюбивой “южной” группы видов, что может привести к дальнейшей перестройке конкурентных отношений в популяциях рыб и вызвать изменения границ их ареалов.
Об авторах
А. К. Смирнов
Институт биологии внутренних вод РАН – ИБВВ РАН
Автор, ответственный за переписку.
Email: smirnov@ibiw.ru
Россия, Ярославская обл., пос. Борок
Список литературы
- Айвазян С.А., Бухштабер В.М., Енюков И.С., Мешалкин Л.Д. 1989. Прикладная статистика. Классификация и снижение размерности. М.: Финансы и статистика, 607 с.
- Василенко А.Н. 2019. Современные представления о термическом режиме рек и его трансформациях в условиях изменяющегося климата // Матер. Междунар. науч.-практ. конф. “Глобальные климатические изменения: региональные эффекты, модели, прогнозы”. Т. 1. Воронеж: Цифровая полиграфия. С. 359–363.
- Герасимов Ю.В., Смирнов А.К., Кодухова Ю.В. 2018. Оценка возможных причин изменений численности и половой структуры в популяциях серебряного карася (Carassius auratus gibelio Bloch., 1783) // Биология внутр. вод. № 1. С. 70–79. https://doi.org/10.7868/S0320965218010096
- Голованов В.К. 2013. Температурные критерии жизнедеятельности пресноводных рыб. М.: Полиграф-Плюс, 300 с.
- Голованов В.К., Капшай Д.С., Герасимов Ю.В. и др. 2013. Термоизбирание и термоустойчивость молоди ротана-головешки Perccottus glenii в осенний сезон // Вопр. ихтиологии. Т. 53. № 2. С. 246–250. https://doi.org/10.7868/S0042875213020033
- Законнова А.В., Литвинов А.С. 2016. Многолетние изменения гидроклиматического режима Рыбинского водохранилища // Тр. ИБВВ РАН. Вып. 75 (78). С. 16–22. https://doi.org/10.24411/0320-3557-2016-10016
- Карабанов Д.П. 2013. Генетические адаптации черноморско-каспийской тюльки Clupeonella cultriventris (Nordmann, 1840) (Actinopterygii: Clupeidae). Воронеж: Науч. книга, 179 с.
- Карабанов Д.П., Павлов Д.Д., Никитин Э.В. и др. 2020. Анализ видового состава, проблемы идентификации и путей расселения чужеродных видов рыб в бассейне реки Волги // Вестн. АГТУ. Сер. Рыбн. хоз-во. № 3. С. 7–17. https://doi.org/10.24143/2073-5529-2020-3-7-17
- Кауфман Б.З. 1985. Возможное эволюционное значение реакции термопреферендума пойкилотермных животных // Журн. общ. биологии. Т. 46. № 4. С. 509–515.
- Кияшко В.И., Карабанов Д.П., Яковлев В.Н. и др. 2012. Становление и развитие популяции Черноморско-Каспийской тюльки Clupeonella cultriventris (Clupeidae) в Рыбинском водохранилище // Вопр. ихтиологии. Т. 52. № 5. С. 571–580.
- Никольский Г.В. 1956. Рыбы бассейна Амура. Итоги Амурской ихтиологической экспедиции 1945–1949 гг. М.: Изд-во АН СССР, 551 с.
- Никольский Г.В. 1980. Структура вида и закономерности изменчивости рыб. М.: Пищ. пром-сть, 183 с.
- Озернюк Н.Д. 2000. Температурные адаптации. М.: Изд-во МГУ, 205 с.
- Решетников Ю.С. 1981. Идеи Г.В. Никольского о фаунистических комплексах и их современное развитие // Современные проблемы ихтиологии. М.: Наука. С. 75–95.
- Рыбы в заповедниках России. 2010. Т. 1. М.: Т-во науч. изд. КМК, 627 с.
- Рыбы Монгольской Народной Республики. 1983. М.: Наука, 278 с.
- Рыбы Рыбинского водохранилища: популяционная динамика и экология. 2015. Ярославль: Филигрань, 418 с.
- Сахарова Е.Г. 2019. Фитопланктон озера Плещеево в 2014–2016 гг. // Тр. ИБВВ РАН. Вып. 86 (89). С. 23–33. https://doi.org/10.24411/0320-3557-2019-10009
- Слоним А.Д. 1971. Экологическая физиология животных. М.: Высш. школа, 448 с.
- Смирнов А.К., Смирнова Е.С. 2019. Поведение молоди окуня Perca fluviatilis (Percidae) в гетеротермальной среде при разной обеспеченности пищей // Зоол. журн. Т. 98. № 2. С. 182–192. https://doi.org/10.1134/S0044513419020168
- Яковлев В.Н. 1964. История формирования фаунистических комплексов пресноводных рыб // Вопр. ихтиологии. Т. 4. Вып. 1 (30). С. 10–22.
- Angilletta M.J., Niewiarowski P.H., Navas C.A. 2002. The evolution of thermal physiology in ectotherms // J. Therm. Biol. V. 27. № 4. P. 249–268. https://doi.org/10.1016/S0306-4565(01)00094-8
- Araújo M.B., Ferri-Yáñez F., Bozinovic F. et al. 2013. Heat freezes niche evolution // Ecol. Letters. V. 16. № 9. P. 1206–1219. https://doi.org/10.1111/ele.12155
- Armstrong J.B., Schindler D.E., Ruff C.P. et al. 2013. Diel horizontal migration in streams // Ecology. V. 94. № 9. P. 2066–2075. https://doi.org/10.1890/12-1200.1
- Beitinger T.L., Bennett W.A., McCauley R.W. 2000. Temperature tolerances of North American freshwater fishes exposed to dynamic changes in temperature // Environ. Biol. Fish. V. 58. № 3. P. 237–275. https://doi.org/10.1023/A:1007676325825
- Bennett S., Duarte C.M., Marbà N., Wernberg T. 2019. Integrating within-species variation in thermal physiology into climate change ecology // Phil. Trans. R. Soc. B. V. 374. № 1778. Article 20180550. https://doi.org/10.1098/rstb.2018.0550
- Bicego K.C., Barros R.C.H., Branco L.G.S. 2007. Physiology of temperature regulation // Comp. Biochem. Physiol. A Mol. Integr. Physiol. V. 147. № 3. P. 616–639. https://doi.org/10.1016/j.cbpa.2006.06.032
- Brett J.R. 1971. Energetic responses of salmon to temperature. A study of some thermal relations in the physiology and freshwater ecology of sockeye salmon (Oncorhynchus nerka) // Am. Zool. V. 11. № 1. P. 99–113. https://doi.org/10.1093/icb/11.1.99
- Brown J.H., Feldmeth C.R. 1971. Evolution in constant and fluctuating environments // Evolution. V. 25. № 2. P. 390–398. https://doi.org/10.1111/j.1558-5646.1971.tb01893.x
- Chen Z., Anttila K., Wu J. et al. 2013. Optimum and maximum temperatures of sockeye salmon (Oncorhynchus nerka) populations hatched at different temperatures // Can. J. Zool. V. 91. № 5. P. 265–274. https://doi.org/10.1139/cjz-2012-0300
- Clark C.W., Levy D.A. 1988. Diel vertical migrations by juvenile sockeye salmon and the antipredation window // Am. Nat. V. 131. № 2. P. 271–290.
- Clark D.S., Green J.M. 1991. Seasonal variation in temperature preference of juvenile Atlantic cod (Gadus morhua), with evidence supporting an energetic basis for their diel vertical migration // Can. J. Zool. V. 69. № 5. P. 1302–1307. https://doi.org/10.1139/z91-183
- Clough S., Ladle M. 1997. Diel migration and site fidelity in a stream-dwelling cyprinid, Leuciscus leuciscus // J. Fish Biol. V. 50. № 5. P. 1117–1119. https://doi.org/10.1111/j.1095-8649.1997.tb01635.x
- Cooper B.S., Williams B.H., Angilletta M.J. 2008. Unifying indices of heat tolerance in ectotherms // J. Therm. Biol. V. 33. № 6. P. 320–323. https://doi.org/10.1016/j.jtherbio.2008.04.001
- Dahlke F.T., Wohlrab S., Butzin M., Pörtner H.O. 2020. Thermal bottlenecks in the life cycle define climate vulnerability of fish // Science. V. 369. № 6499. P. 65–70. https://doi.org/10.1126/science.aaz3658
- Elliott J.M., Elliott J.A. 1995. The critical thermal limits for the bullhead, Cottus gobio, from three populations in north-west England // Freshw. Biol. V. 33. № 3. P. 411–418. https://doi.org/10.1111/j.1365-2427.1995.tb00403.x
- Elliott J.M., Klemetsen A. 2002. The upper critical thermal limits for alevins of Arctic charr from a Norwegian lake north of the Arctic circle // J. Fish Biol. V. 60. № 5. P. 1338–1341. https://doi.org/10.1006/jfbi.2002.1934
- Fangue N.A., Hofmeister M., Schulte P.M. 2006. Intraspecific variation in thermal tolerance and heat shock protein gene expression in common killifish, Fundulus heteroclitus // J. Exp. Biol. V. 209. № 15. P. 2859–2872. https://doi.org/10.1242/jeb.02260
- Fields R., Lowe S.S., Kaminski C. et al. 1987. Critical and chronic thermal maxima of northern and Florida largemouth bass and their reciprocal F1 and F2 hybrids // Trans. Am. Fish. Soc. V. 116. № 6. P. 856–863. https://doi.org/10.1577/1548-8659(1987)116<856:CACTMO>2.0.CO;2
- Fry F.E.J. 1947. Effects of the environment on animal activity // Univ. Toronto Stud. Biol. Ser. № 55. (Publ. Ontario Fish. Res. Lab. № 68). P. 1–62.
- Garner P., Clough S., Griffiths S.W. et al. 1998. Use of shallow marginal habitat by Phoxinus phoxinus: a trade-off between temperature and food? // J. Fish Biol. V. 52. № 3. P. 600–609. https://doi.org/10.1111/j.1095-8649.1998.tb02020.x
- Jobling M. 1981. Temperature tolerance and the final preferendum—rapid methods for the assessment of optimum growth temperatures // J. Fish Biol. V. 19. № 4. P. 439–455. https://doi.org/10.1111/j.1095-8649.1981.tb05847.x
- Karabanov D.P., Bekker E.I., Pavlov D.D. et al. 2022. New sets of primers for DNA identification of non-indigenous fish species in the Volga-Kama basin (European Russia) // Water. V. 14. № 3. Article 437. https://doi.org/10.3390/w14030437
- Konecki J.T., Woody C.A., Quinn T.P. 1995. Temperature preference in two populations of juvenile coho salmon, Oncorhynchus kisutch // Environ. Biol. Fish. V. 44. № 4. P. 417–421. https://doi.org/10.1007/BF00008256
- Lyytikäinen T., Koskela J., Rissanen I. 1997. Thermal resistance and upper lethal temperatures of underyearling Lake Inari Arctic charr // J. Fish Biol. V. 51. № 3. P. 515–525. https://doi.org/10.1111/j.1095-8649.1997.tb01509.x
- Magnuson J.J., Crowder L.B., Medvick P.A. 1979. Temperature as an ecological resource // Am. Zool. V. 19. № 1. P. 331–343. https://doi.org/10.1093/icb/19.1.331
- McKenzie D.J., Zhang Y., Eliason E.J. et al. 2020. Intraspecific variation in tolerance of warming in fishes // J. Fish Biol. V. 98. № 6. P. 1536–1555. https://doi.org/10.1111/jfb.14620
- Mehner T. 2012. Diel vertical migration of freshwater fishes – proximate triggers, ultimate causes and research perspectives // Freshw. Biol. V. 57. № 7. P. 1342–1359. https://doi.org/10.1111/j.1365-2427.2012.02811.x
- Mulhollem J.J., Suski C.D., Wahl D.H. 2015. Response of largemouth bass (Micropterus salmoides) from different thermal environments to increased water temperature // Fish Physiol. Biochem. V. 41. № 4. P. 833–842. https://doi.org/10.1007/s10695-015-0050-0
- Pörtner H.O. 2002. Climate variations and the physiological basis of temperature dependent biogeography // Comp. Biochem. Physiol. A Mol. Integr. Physiol. V. 132. № 4. P. 739–761. https://doi.org/10.1016/S1095-6433(02)00045-4
- Pörtner H.O., Knust R. 2007. Climate change affects marine fishes through the oxygen limitation of thermal tolerance // Science. V. 315. № 5808. P. 95–97. https://doi.org/10.1126/science.1135471
- Ricklefs R.E. 2006. Evolutionary diversification and the origin of the diversity–environment relationship // Ecology. V. 87. № sp7. P. S3–S13. https://doi.org/10.1890/0012-9658(2006)87[3:EDATOO]-2.0.CO;2
- Sokal R.R., Rohlf F.J. 1995. Biometry. New York: W.H. Freeman, 899 p.
- Sprent P., Smeeton N.C. 2007. Applied Nonparametric Statistical Methods. Boca Raton: Chapman and Hall; CRC, 530 p. https://doi.org/10.1201/b15842
- Sunday J.M., Bates A.E., Dulvy N.K. 2012. Thermal tolerance and the global redistribution of animals // Nat. Clim. Change. V. 2. № 9. P. 686–690. https://doi.org/10.1038/nclimate1539
- Zakhartsev M.V., Wachter B., Sartoris F.J. et al. 2003. Thermal physiology of the common eelpout (Zoarces viviparus) // J. Comp. Physiol. B. V. 173. № 5. P. 365–378. https://doi.org/10.1007/s00360-003-0342-z






