Population Structure of European Whitefish Coregonus lavaretus (Salmonidae: Coregoninae) from the Lake–River System of the Subpolar Urals
- Authors: Boznak E.I.1, Ponomarev V.I.1
-
Affiliations:
- Institute of Biology, Komi Scientific Center, Ural Branch, Russian Academy of Sciences, Syktyvkar, Russia
- Issue: Vol 63, No 5 (2023)
- Pages: 582-593
- Section: Articles
- URL: https://journal-vniispk.ru/0042-8752/article/view/135233
- DOI: https://doi.org/10.31857/S004287522305003X
- EDN: https://elibrary.ru/SHZEKR
- ID: 135233
Cite item
Full Text
Abstract
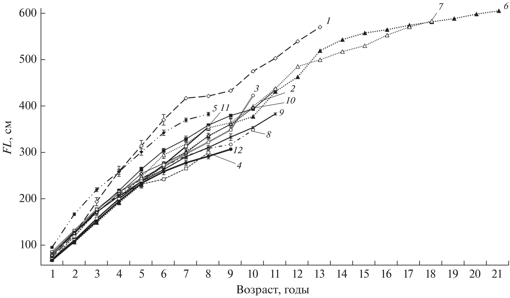
This paper presents the first description of the population structure of sparsely rakered whitefish Coregonus lavaretus, which lives in the mountain lake–river system of the middle reaches of the Maly Patok River (a second order tributary of the Pechora River). It has been established that European whitefish has formed a complex system of local groups here, which are associated with small lakes of different types, located on the catchment area of this river. A relatively isolated whitefish lacustrine group, which differs in the pattern of the population dynamics and a rapid linear growth of individuals, has been formed in one of the water bodies. There is a temporary aggregation of whitefish in a small endorheic lake, which is recruited only in years with a very high water level during floods. The results of the study of the linear growth indicate the interrelationship between different groups of floodplain–river whitefish from the Maly Patok River basin.
About the authors
E. I. Boznak
Institute of Biology, Komi Scientific Center, Ural Branch, Russian Academy of Sciences, Syktyvkar, Russia
Email: boznak@ib.komisc.ru
Россия, Сыктывкар
V. I. Ponomarev
Institute of Biology, Komi Scientific Center, Ural Branch, Russian Academy of Sciences, Syktyvkar, Russia
Author for correspondence.
Email: boznak@ib.komisc.ru
Россия, Сыктывкар
References
- Атлас пресноводных рыб России. 2003. Т. 1. М.: Наука, 379 с.
- Бассейн реки Малый Паток: дикая природа. 2007. Сыктывкар: Парус, 216 с.
- Бознак Э.И., Пономарев В.И. 2023. Рост сига Coregonus lavaretus (Salmonidae: Coregoninae) уральских притоков реки Печора // Вопр. ихтиологии. Т. 63. № 1. С. 39–49. https://doi.org/10.31857/S0042875223010022
- Бочкарев Н.А., Пестрякова Л.А., Захаров Е.С. и др. 2018. Сиг-пыжьян (Coregonus lavaretus pidschian, Coregonidae) р. Анабар: морфогенетическая структура популяций // Генетика. Т. 54. № 9. С. 1057–1067. https://doi.org/10.1134/S0016675818090047
- Бочкарев Н.А., Сендек Д.С., Зуйкова Е.И. и др. 2021. Популяционная структура и происхождение некоторых экологических форм Coregonus lavaretus pidschian из р. Оленёк // Там же. 2021. Т. 57. № 7. С. 797–809. https://doi.org/10.31857/S0016675821070043
- Дгебуадзе Ю.Ю. 2001. Экологические закономерности изменчивости роста рыб. М.: Наука, 275 с.
- Дгебуадзе Ю.Ю., Чернова О.Ф. 2009. Чешуя костистых рыб как диагностическая и регистрирующая структура. М.: Т-во науч. изд. КМК, 313 с.
- Ильмаст Н.В., Сендек Д.С., Титов С.Ф. и др. 2016. К вопросу о дифференциации экологических форм/подвидов сига Coregonus lavaretus озера Каменное // Уч. зап. ПетрГУ. № 4 (157). С. 42–53.
- Кучина Е.С. 1962. Ихтиофауна притоков р. Усы // Рыбы бассейна р. Усы и их кормовые ресурсы. М.; Л.: Изд-во АН СССР. С. 176–211.
- Мина М.В., Клевезаль Г.А. 1976. Рост животных. М.: Наука, 292 с.
- Никольский Г.В., Громчевская Н.А., Морозова Г.И., Пикулева В.А. 1947. Рыбы бассейна Верхней Печоры. М.: Изд-во МОИП, 224 с.
- Пономарев В.И. 2017. Рыбы озер западных склонов Приполярного и Полярного Урала // Изв. Коми НЦ УрО РАН. Вып. 2 (30). С. 16–29.
- Пономарев В.И. 2019. Фауна водоемов бассейна р. Малый Паток (Приполярный Урал). I. Рыбы // Биол. внутр. вод. № 4. Вып. 1. С. 14–24. https://doi.org/10.1134/S0320965219040302
- Пономарев В.И., Сидоров Г.П. 2002. Обзор ихтиологических и рыбохозяйственных исследований в бассейне реки Печора // Тр. Коми НЦ УрО РАН. № 170. С. 5–33.
- Правдин И.Ф. 1966. Руководство по изучению рыб (преимущественно пресноводных). М.: Пищ. пром-сть, 376 с.
- Протопопов Н.К. 1983. Морфологическая характеристика и структура популяций сига-пыжьяна реки Печоры // Биология и промысел рыб в разнотипных водоемах Северо-Запада. Л.: Изд-во ГосНИОРХ. С. 103–127.
- Ресурсы поверхностных вод СССР. 1972. Т. 3. Северный край. Л.: Гидрометеоиздат, 664 с.
- Решетников Ю.С. 1980. Экология и систематика сиговых рыб. М.: Наука, 300 с.
- Романов В.И., Бочкарёв Н.А. 2009. К вопросу о статусе экологических форм сигов (Coregonus lavaretus pidschian) Таймырского озера // Вестн. ТГПУ. Вып. 11. С. 186–193.
- Рыбы в заповедниках России. 2010. Т. 1. Пресноводные рыбы. М.: Т-во науч. изд. КМК, 627 с.
- Сидоров Г.П. 1974. Рыбные ресурсы Большеземельской тундры. Л.: Наука, 164 с.
- Сидоров Г.П., Решетников Ю.С. 2014. Лососеобразные рыбы водоемов европейского северо-востока. М.: Т-во науч. изд. КМК, 346 с.
- Соловкина Л.Н. 1962. Рыбы среднего и нижнего течения р. Усы // Рыбы бассейна р. Усы и их кормовые ресурсы. М.; Л.: Изд-во АН СССР. С. 88–135.
- Соловкина Л.Н. 1975. Рыбные ресурсы Коми АССР. Сыктывкар: Коми книж. изд-во, 168 с.
- Чугунова Н.И. 1959. Руководство по изучению возраста и роста рыб (методическое пособие по ихтиологии). М.: Изд-во АН СССР, 164 с.
- Якубовский М. 1970. Методы выявления и окраски системы каналов в боковой линии и костных образований у рыб in toto // Зоол. журн. Т. 49. № 9. С. 1398–1402.
- Hudson A.G., Lundsgaard-Hansen B., Lucek K. et al. 2016. Managing cryptic biodiversity: Fine-scale intralacustrine speciation along a benthic gradient in Alpine whitefish (Coregonus spp.) // Evol. Appl. V. 10. № 3. P. 251–266. https://doi.org/10.1111/eva.12446
- Kahilainen K., Siwertsson A., Gjelland K.Ø. et al. 2011. The role of gill raker number variability in adaptive radiation of coregonid fish // Evol. Ecol. V. 25. № 3. P. 573–588. https://doi.org/10.1007/s10682-010-9411-4
- Østbye K., Amundsen P.-A., Bernatchez L. et al. 2006. Parallel evolution of ecomorphological traits in the European whitefish Coregonus lavaretus (L.) species complex during postglacial times // Mol. Ecol. V. 15. № 13. P. 3983–4001. https://doi.org/10.1111/j.1365-294X.2006.03062.x
- Næsje T.F., Vuorinen J.A., Sandlund O.T. 2004. Genetic and morphometric differentiation among sympatric spawning stocks of whitefish (Coregonus lavaretus (L.) in Lake Femund, Norway // J. Limnol. V. 63. № 2. P. 233–243. https://doi.org/10.4081/jlimnol.2004.233
- Vainikka A., Jakubavičiūtė E., Hyvärinen P. 2017. Synchronous decline of three morphologically distinct whitefish (Coregonus lavaretus) stocks in Lake Oulujärvi with concurrent changes in the fish community // Fish. Res. V. 196. P. 34–46. https://doi.org/10.1016/j.fishres.2017.08.013
- Zubova E.M., Kashulin N.A., Terentjev P.M. et al. 2022. Diversity and distribution of European whitefish (Coregonus lavaretus) in watercourses of Murmansk region // Pol. Polar Res. V. 43. № 1. P. 69–99. https://doi.org/10.24425/ppr.2021.138589
Supplementary files























