European River Lamprey Lampetra fluviatilis (Petromyzontidae) of the Pskov Lakeland: Current State of Isolated Populations
- Authors: Zvezdin A.O.1, Kucheryavyy A.V.1, Kolotei A.V.1, Polyakova N.V.1, Pavlov D.S.1
-
Affiliations:
- Severtsov Institute of Ecology and Evolution, Russian Academy of Sciences, Moscow, Russia
- Issue: Vol 63, No 6 (2023)
- Pages: 653-664
- Section: Articles
- URL: https://journal-vniispk.ru/0042-8752/article/view/232381
- DOI: https://doi.org/10.31857/S0042875223060279
- EDN: https://elibrary.ru/APRQQU
- ID: 232381
Cite item
Full Text
Abstract
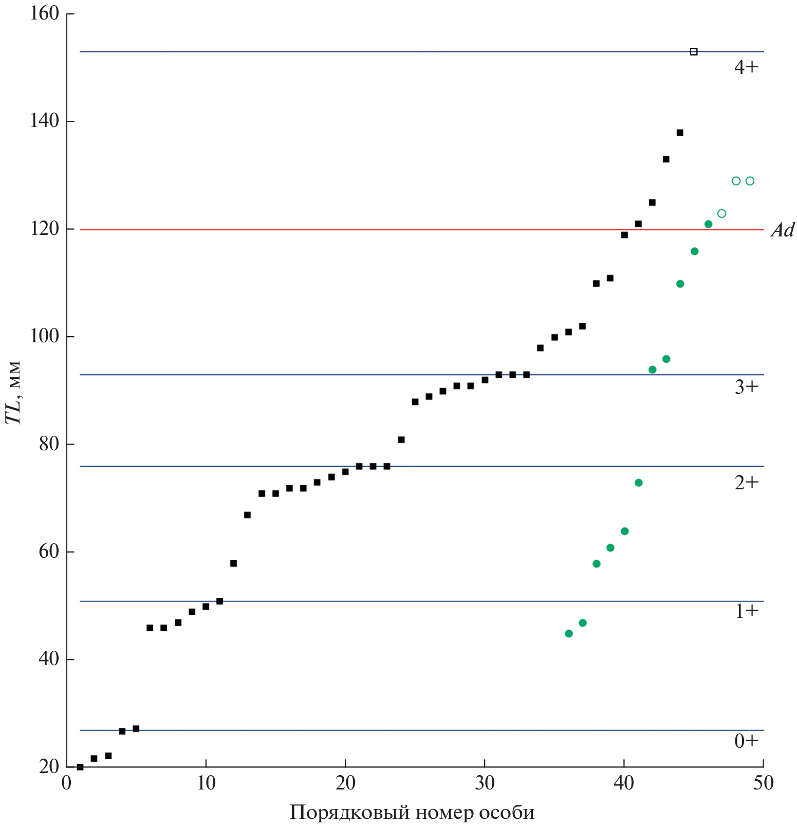
Small freshwater (resident) populations of the European river lamprey Lampetra fluviatilis from an isolated from the sea upper part of a river system with numerous lakes (the upper reaches of tributaries of the Daugava River and Lake Peipus, Pskov Oblast, Russia) have been studied. Adult individuals of the lamprey have been attributed to common and large size groups; adults are similar to other resident lamprey from the Baltic Sea basin. The presence of larvae of different size and age groups indicates regular spawning of the European river lamprey in the studied watersheds. Analysis of the modern and historical (before the isolation) distribution of lamprey revealed a reduction in habitats and a decrease in the number of individuals. Dam-associated disruption of migration routes led to the disappearance of anadromous form, and consequently, disappearance of resident lamprey from most of the studied waterbodies. We attribute the decrease in the number of rivers inhabited by lamprey and abundance of the lamprey both to anthropogenic factors (direct blocking of an access of anadromous form of the lamprey to spawning grounds by hydraulic construction) and to the characteristics of the studied area. The richness of the river system with lentic waterbodies makes it suitable for lamprey inhabitation with an influx of large anadromous individuals capable of crossing such reservoirs in search of spawning sites.
About the authors
A. O. Zvezdin
Severtsov Institute of Ecology and Evolution, Russian Academy of Sciences, Moscow, Russia
Email: a.o.zvezdin@gmail.com
Россия, Москва
A. V. Kucheryavyy
Severtsov Institute of Ecology and Evolution, Russian Academy of Sciences, Moscow, Russia
Email: a.o.zvezdin@gmail.com
Россия, Москва
A. V. Kolotei
Severtsov Institute of Ecology and Evolution, Russian Academy of Sciences, Moscow, Russia
Email: a.o.zvezdin@gmail.com
Россия, Москва
N. V. Polyakova
Severtsov Institute of Ecology and Evolution, Russian Academy of Sciences, Moscow, Russia
Email: a.o.zvezdin@gmail.com
Россия, Москва
D. S. Pavlov
Severtsov Institute of Ecology and Evolution, Russian Academy of Sciences, Moscow, Russia
Author for correspondence.
Email: a.o.zvezdin@gmail.com
Россия, Москва
References
Supplementary files


















