Сравнительная характеристика размерных показателей нитчатого шлемоносца Gymnocanthus pistilliger (Cottidae) в заливе Петра Великого (Японское море) и у западного побережья Камчатки (Охотское море)
- Authors: Панченко В.В.1, Матвеев А.А.2
-
Affiliations:
- Национальный научный центр морской биологии Дальневосточного отделения РАН
- Камчатский филиал Всероссийского научно-исследовательского института рыбного хозяйства и океанографии
- Issue: Vol 64, No 2 (2024)
- Pages: 199-205
- Section: Articles
- URL: https://journal-vniispk.ru/0042-8752/article/view/258819
- DOI: https://doi.org/10.31857/S0042875224020041
- EDN: https://elibrary.ru/GXPRUN
- ID: 258819
Cite item
Full Text
Abstract
Показано, что в заливе Петра Великого – южной части ареала нитчатого шлемоносца Gymnocanthus pistilliger – его максимальные размеры больше, чем в расположенных севернее водах у Западной Камчатки. В уловах трала достоверный учёт вида начинается по достижении особями абсолютной длины тела 20 см. Так как самцы достигают меньших размеров, чем самки, полнота их учёта, особенно на севере, хуже. Темпы роста рыб в заливе Петра Великого выше, в связи с чем одновозрастные рыбы здесь крупнее, чем в прикамчатских водах. Масса одноразмерных особей в заливе также больше. Лучший рост в расположенном южнее районе определяется более благоприятными условиями водной среды. Несмотря на различия в росте, достигаемый максимальный возраст рыб в популяциях близок. Близко и соотношение полов с преобладанием самок.
Full Text
Нитчатый шлемоносец Gymnocanthus pistilliger – арктическо-бореальный вид, в Арктике отмечаемый в водах Чукотского моря. Южная граница его ареала располагается в Японском море у южной оконечности п-ова Корея (Линдберг, Красюкова, 1987; Kim, Yoon, 1992; Amaoka et al., 1995; Новиков и др., 2002; Mecklenburg et al., 2002; Kim et al., 2005; Парин и др., 2014). Ранее рассматривали различные аспекты его биологии, в том числе и размерные показатели, в южной части ареала – в Японском море, в основном в зал. Петра Великого (Вдовин и др., 1994; Шелехов, Панченко, 2007; Панченко, Зуенко, 2009; Панченко, 2012, 2013; Панченко и др., 2020). По северу ареала известны некоторые данные о виде из восточной части Берингова моря (Hoff, 2000). Ряд публикаций имеется и по прикамчатским водам (Токранов, 1981, 1987; Матвеев, Терентьев, 2016; Матвеев и др., 2021; Матвеев, 2021) – области, прилегающей к северной части ареала. Детального сравнения размеров нитчатого шлемоносца в различных местах обитания до настоя- щего времени не проводили.
Цель работы – проведя сравнение размерных показателей и особенностей батиметрического распределения нитчатого шлемоносца, выявить различия его роста в зал. Петра Великого и у западного побережья Камчатки.
Материал и методика
Использованы сведения, полученные при выполнении донных тралений. По зал. Петра Великого (рис. 1) проанализированы данные уловов нитчатого шлемоносца в летних донных траловых съёмках Тихоокеанского филиала Всероссийского научно-исследовательского института рыбного хозяйства и океанографии (ТИНРО) 1985–2014 гг. на судах различного типа. Для вод у Западной Камчатки сравнительный материал по размерному составу получен из результатов промеров, выполненных в летние месяцы в траловых съёмках 2016–2019 гг. на научно-исследовательских судах “ТИНРО” и “Профессор Кагановский”. В качестве сравнительного материала по распределению нитчатого шлемоносца использовали только данные съёмки 2017 г., так как она вся была выполнена в летний сезон (с конца июня по начало августа), а в 2016, 2018 и 2019 гг. начало съёмки у Западной Камчатки было сдвинуто на май.
В водах у Камчатки траления осуществляли донным тралом типа ДТ/ТВ с длиной верхней подборы 27.1 м, имевшим в кутце дель ячеёй 30 × 30 мм, покрытую мелкоячейной вставкой (10 ×10 мм). Всего в 2017 г. выполнено 258 тралений (из них 248 с измерением температуры воды) на глубинах от 14 до 409 м. В зал. Петра Великого проведено 2530 (881) тралений на глубинах 5–652 м. Здесь траления проводили тралами такого же типа, что и у берегов Камчатки, и тоже с делью (30 × 30 мм) в кутце. Длина их верхней подборы составляла 23.2 или 27.1 м. Начиная с 2009 г. все траления здесь выполняли с использованием мелкоячейной вставки (10 × 10 мм), при более ранних работах такое дополнительное оснащение применяли не всегда. Однако при сравнении уловов было выявлено, что размерный состав нитчатого шлемоносца при тралениях, выполненных в летний период как с использованием, так и без использования мелкоячейной вставки, существенно не различается (Панченко, 2013).
Измерение абсолютной длины рыб (TL) осуществляли с точностью до 1 см: при превышении целого значения на 0.1 см и более особь относили к следующему сантиметровому классу; так, например, особей TL 19.1–20.0 см включали в размерный класс 20 см (Методическое пособие …, 2017). Индивидуальное взвешивание осуществляли при выполнении биологических анализов, в этом случае точность измерений длины составляла 0.1 см. В зал. Петра Великого измерено 30 386 особей нитчатого шлемоносца, у 12 457 из них был определён пол, проведено индивидуальное взвешивание 957 экз. В водах у Западной Камчатки промерено 5619 особей (4787 с определением пола), измерена масса 254 экз.
Рис. 1. Карта района работ и прилегающих акваторий: 1 – зал. Петра Великого, 2 – обследованная область западнокамчатского шельфа.
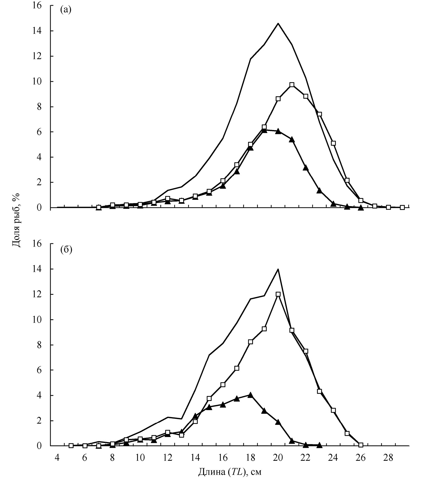
Рис. 2. Размерный состав (абсолютная длина) нитчатого шлемоносца Gymnocanthus pistilliger в уловах в летний период в зал. Петра Великого (а) и у Западной Камчатки (б): (―□―) – самки, (―▲―) – самцы, (―) – оба пола.
Результаты
По нашим измерениям, размеры нитчатого шлемоносца в зал. Петра Великого варьировали в пределах от 4 до 29 см (рис. 2а). В промерах, выполненных в этом районе без нашего участия, имеются выбивающиеся из общего ряда сведения о встрече по одному экземпляру рыб TL 31, 32 и 33 см, которые включать в анализ мы не стали. Тем не менее и при принятии, что максимальный размер нитчатого шлемоносца в зал. Петра Великого не превышает 29 см, у Западной Камчатки длина его оказалась ниже. Здесь размер вида в уловах варьировал от 5 до 26 см (рис. 2б).
Несмотря на меньший в прикамчатских водах, по сравнению с водами зал. Петра Великого, максимальный размер нитчатого шлемоносца, динамика изменения размерного состава в траловых уловах двух районов была близка. Среди рыб TL < 20 см (без разделения по полу) с увеличением размеров постепенно возрастала их доля в уловах, наибольшее количество пришлось на особей 20-сантиметрового класса (рыбы TL 19.1–20.0 см). С дальнейшим повышением размеров нитчатого шлемоносца в обоих районах следовало снижение их количества в уловах. При этом доля рыб TL > 20 см в каждом из сантиметровых классов в зал. Петра Великого была несколько большей, чем в водах у Камчатки (рис. 2).
Среди промеренных рыб как залива, так и прикамчатских вод наибольшая длина была характерна для самок – 29 и 26 см соответственно. Максимальное же количество пойманных в зал. Петра Великого самок пришлось на размерный класс 21 см (рис. 2а), а в водах Камчатки – 20 см (рис. 2б). Таким образом, этот показатель различался не так значительно, как отмеченная межрайонная разница максимальных размеров. Самцы же в зал. Петра Великого достигали размера 26 см (рис. 2а), у западного побережья Камчатки – 23 см (рис. 2б). Пойманные в заливе самцы в большинстве имели длину 19 см, но лишь немногим меньшее число приходилось и на размерный класс 20 см (рис. 2а). В прикамчатских водах размеры доминирующих в уловах самцов были значительно меньше – лишь 17 и 18 см (рис. 2б). Среди рыб, промеренных с определением пола, в зал. Петра Великого доля самцов составила 36%, самок – 64%. У Западной Камчатки доля самцов в уловах оказалась ниже: 27 против 73%.
Как показал анализ результатов индивидуального взвешивания нитчатого шлемоносца TL 7.0–26.0 см, зависимость массы рыб (W, г) от их длины в летний период для зал. Петра Великого описывается степенной зависимостью и имеет вид: W = 0.0113TL3.0268 (R2 = 0.949). Подобная функция для рыб TL 4.6–26.0 см из вод у Западной Камчатки для летнего периода имеет вид: W = 0.0064TL3.18 (R2 = 0.987).
В период исследований у западного побережья Камчатки нитчатый шлемоносец встречался от минимальных глубин исследований (14 м) до 64 м. В объёме данных по зал. Петра Великого, где исследовали и меньшие глубины, минимальная глубина обнаружения его располагалась в диапазоне 5–10 м, максимальная составила 104 м. У Камчатки основные скопления вида формировались на глубинах до 30 м и в меньшей степени – на 31–40 м. В заливе он концентрировался в диапазонах 51–70 и 41–50 м. На указанных глубинах двух районов вода была прогрета до сходных значений температуры (рис. 3). Соответственно и температуры, при которых концентрировался нитчатый шлемоносец, оказались сходными. Основная масса рыб в двух районах предпочитала температурный диапазон 2.1–6.5°C. В целом же температура придонного слоя воды у Западной Камчатки варьировала в пределах от –0.2 до 12.1°C, в зал. Петра Великого – от 0.4 до 22.6°C. В первом районе нитчатый шлемоносец встречался при температуре от 0.5 до 12.1°C, во втором – от 1.0 до 18.5°C.
Рис. 3. Доля (% общей численности уловов) нитчатого шлемоносца Gymnocanthus pistilliger в разных диапазонах глубин (■, □) и средняя температура (―✱―,―◊―) в них в зал. Петра Великого (■, ―✱―) и у Западной Камчатки (□, ―◊―).
Обсуждение
В наших измерениях, выполненных у западного побережья Камчатки (рис. 1), размеры нитчатого шлемоносца варьировали от 5 до 26 см (рис. 2б). Так как проводили биоанализ особи наибольшего размера, известна и точная её длина – 26.0 см. Таким образом, в выборку попали особи с размерами, близкими к предельным: в водах у Камчатки максимальный размер нитчатого шлемоносца составляет 26.3 см (Токранов, 1987). С продвижением на север ареала, в восточную часть Берингова моря, его размер уменьшается, составляя немногим > 20 см (Hoff, 2000).
Ранее считалось, что в водах Приморья, то есть в срединной части материкового прибрежья Японского моря – самого южного из дальневосточных морей (рис. 1), предельный размер рассматриваемого вида немногим больше, чем в прикамчатских водах, и составляет 28 см (Новиков и др., 2002). Южной оконечностью Приморья является зал. Петра Великого, где в наших исследованиях размеры нитчатого шлемоносца варьировали в пределах 4–29 см (рис. 2а). Так как данные об особи TL 29 см получены при массовом промере, выполнявшемся с точностью до 1 см, размер её имел одно из значений в диапазоне 28.1–29.0 см.
С продвижением далее к южной границе ареала, у п-ова Корея, обнаружены самые крупные особи нитчатого шлемоносца, достигающие TL 30 см (Kim et al., 2005). По представленным сведениям, прослеживается явная тенденция увеличения предельных размеров нитчатого шлемоносца в направлении с севера на юг.
Несмотря на разницу максимальных размеров нитчатого шлемоносца в зал. Петра Великого и у Западной Камчатки, повсеместно в промерах без разделения по полу наибольшее количество пришлось на рыб TL ~ 20 см (рис. 2). Отмечаемое при бо́льших размерах поступательное уменьшение количества рыб вполне естественно в связи со смертностью, повышающейся с приближением к крайним размерно-возрастным классам (Панченко, 2013). Так как у Западной Камчатки нитчатый шлемоносец достигает меньших размеров, вполне логично и то, что доля рыб TL > 20 см здесь ниже, чем в зал. Петра Великого. Но наблюдаемое в левой части размерных рядов повышение численности рыб с увеличением размеров противоестественно, так как на самом деле в природе доля мелкоразмерных особей, напротив, наиболее высока. Очевидно, что возрастание до определённого размера доли рыб в уловах связано с селективностью применяемых орудий лова. Можно заключить, что наиболее достоверным учёт нитчатого шлемоносца в траловых уловах становится при достижении им TL ~ 20 см.
Вследствие полового диморфизма больший размер у нитчатого шлемоносца характерен для самок (Токранов, 1987; Hoff, 2000; Шелехов, Панченко, 2007; Панченко, 2012; Матвеев и др., 2021). Соответственно и в наших выборках как в зал. Петра Великого, так и у Западной Камчатки больший размер был присущ самкам: 29 и 26 см. В меньшей степени, чем максимально достигаемые размеры, различалась длина самок, составлявших основу уловов: в зал. Петра Великого наиболее часто вылавливали особей этого пола TL 21 см (рис. 2а), а в водах Камчатки – 20 см (рис. 2б).
Так как большей длины повсеместно достигают самки, именно на них приходится основная масса хорошо учитываемых рыб в обоих районах. В зал. Петра Великого и самцы при траловых съёмках учитываются, видимо, лишь немногим хуже самок. При достижении здесь самцами максимальной TL 26 см в уловах рыб этого пола доминировали особи TL 19–20 см (рис. 2а). Такие рыбы, как было отмечено выше, приближались к относительно хорошо учитываемым размерным классам или соответствовали им. В водах же у Камчатки, где в связи с меньшими предельными размерами (23 см) максимальное количество пойманных самцов пришлось на меньшие размерные классы (17 и 18 см), учитываемость самцов явно хуже, чем в зал. Петра Великого. Этим можно объяснить меньшую у Западной Камчатки долю в уловах самцов: в зал. Петра Великого она составила 36%, самок – 64%, а у Западной Камчатки эти показатели оказались соответственно 27 против 73%. Видимо, реальное соотношение полов нитчатого шлемоносца в исследованных районах сходно и ближе к данным залива. Между тем очевидно, что повсеместно жизненная стратегия вида направлена на преобладание самок.
Приведённые нами выше зависимости массы тела от длины рыб свидетельствуют, что в зал. Петра Великого весовой рост нитчатого шлемоносца опережает таковой у Западной Камчатки. Так, исходя из приведённых формул, у хорошо учитываемых рыб TL 20 см их масса в водах Камчатки должна составлять 88 г, а в зал. Петра Великого – 98 г. Таким образом, помимо достижения в расположенном севернее районе меньшей максимальной длины тела одноразмерные особи здесь имеют меньшую массу, чем в более южном районе.
В водах Камчатки, по последним данным (Матвеев, 2021), самки нитчатого шлемоносца достигают возраста не менее 11 полных лет, самцы – не менее 10. Максимальные значения возраста были получены при наличии в выборке самок TL до 26.0 см и самцов TL до 22.5 см, т. е. приближающихся к предельным для района отмеченным значениям длины. Близкие показатели достигаемого в прикамчатских водах максимального возраста этим видом (особенно самками) приведены и Токрановым (1987). По его мнению, самки в этом районе доживают до 12 лет при длине 26.3 см. Самцы максимальных для района размеров в его выборке отсутствовали, а для имеющегося наиболее крупного самца TL 19.0 см возраст был определён в 10 лет. В заливе же Петра Великого при выборке самцов TL до 21.2 см и самок TL до 25.4 см максимальный возраст составил соответственно лишь 6+ и 9+ лет (Панченко, 2012). Таким образом, при сходных размерах в зал. Петра Великого возраст нитчатого шлемоносца обоих полов оказался меньшим, чем в водах у Камчатки. Следовательно, темп его роста в первом районе, т. е. в южной части ареала, выше, чем во втором, в северной части.
Несмотря на достижение нитчатым шлемоносцем в зал. Петра Великого более крупных размеров, чем в водах у Камчатки, достигаемый видом в двух районах максимальный возраст, видимо, близок. Ведь в отличие от прикамчатских вод в зал. Петра Великого в возрастной выборке как самцов, так и самок не было особей, представляющих терминальные размерные классы, возраст которых явно выше, чем у среднеразмерных рыб.
Предположение о том, что в различных районах обитания нитчатый шлемоносец достигает сходного возраста, подтверждают и данные по росту самцов севернее, в восточной части Берингова моря. Наибольший из отмеченных здесь возраст самцов оказался аналогичным таковому у Камчатки – 10 лет, несмотря на меньшие достигаемые видом в этом районе размеры: 16.1 см у самцов и 20.1 см у самок (Hoff, 2000). Возраст же самок из Берингова моря оказался меньшим, чем самцов – 9 лет, что, видимо, обусловлено недостаточным количеством их в выборке. Ведь для нитчатого шлемоносца, как и для других видов рода Gymnocanthus, характерно достижение самками не только бо́льших, чем самцами, размеров, но и большего возраста (Токранов, 1987; Панченко, 2012).
Наиболее интенсивно рост рыб обычно идёт в течение летнего нагула. Не составляет исключения и нитчатый шлемоносец, у которого структура отолита свидетельствует о приуроченности периода активного роста к тёплому времени года (Шелехов, Панченко, 2007). В это время у западного побережья Камчатки нитчатый шлемоносец придерживается гораздо меньших глубин, чем в зал. Петра Великого, за счёт чего в двух районах достигается обитание в водах с близкой температурой (рис. 3).
Так как в южной части ареала нитчатый шлемоносец не концентрируется при более высоких значениях температуры, чем севернее, то в этом аспекте температурный фактор не оказывает определяющего влияния на различия в росте. Несмотря на это, характерный в целом для года более высокий темп роста рыб юга ареала обусловлен, по нашему мнению, более благоприятным гидрологическим режимом. В расположенном в южной части ареала зал. Петра Великого прогрев вод идёт интенсивнее, чем на севере. В результате гидрологическая продолжительность наиболее благоприятного для роста летнего нагульного периода составляет здесь не три, а четыре месяца: кроме июня–августа включает ещё и сентябрь (Зуенко, 1994, 2008). Вероятно, заметный рост нитчатого шлемоносца проходит в заливе и в смежные переходный от весеннего к летнему сезону май и от летнего к осеннему октябрь, так как вид в это время здесь также большей частью сосредоточен в местах нагула (Панченко и др., 2020). У Камчатки продолжительность благоприятного для роста тёплого нагульного периода меньшая. Это вполне закономерно, так как лёд в центральной части зал. Петра Великого наблюдается в среднем с середины января по середину февраля, а в средней части шельфа Западной Камчатки гораздо дольше – с начала января до начала апреля (Якунин, 1987). В связи с этим на шельфе Западной Камчатки аномалии, сформированные зимними условиями, сохраняются продолжительное время, во многом определяя температурные особенности и циркуляцию вод шельфа и склона Охотского моря на протяжении тёплого периода (Фигуркин, 2002).
Благодарности
Авторы выражают признательность членам научных групп в рейсах, принимавших участие в сборе ихтиологического материала, и экипажам судов за техническое обеспечение работ.
About the authors
В. В. Панченко
Национальный научный центр морской биологии Дальневосточного отделения РАН
Author for correspondence.
Email: vlad-panch@yandex.ru
Russian Federation, Владивосток
А. А. Матвеев
Камчатский филиал Всероссийского научно-исследовательского института рыбного хозяйства и океанографии
Email: vlad-panch@yandex.ru
Russian Federation, Петропавловск-Камчатский
References
- Вдовин А. Н., Швыдкий Г. В., Афанасьева Н. И. и др. 1994. Пространственно-временная изменчивость распределения нитчатого шлемоносца в заливе Петра Великого // Экология. № 4. С. 53–59.
- Зуенко Ю. И. 1994. Типы термической стратификации вод на шельфе Приморья // Комплексные исследования морских гидробионтов и условий их обитания. Владивосток: Изд-во ТИНРО. С. 20–39.
- Зуенко Ю. И. 2008. Промысловая океанография Японского моря. Владивосток: Изд-во ТИНРО-центр, 227 с.
- Линдберг Г. У., Красюкова З. В. 1987. Рыбы Японского моря и сопредельных частей Охотского и Желтого морей. Ч. 5. Л.: Наука, 526 с.
- Матвеев А. А. 2021. Многолетняя динамика биомассы, распределение, промысел и некоторые аспекты биологи массовых видов рогатковых у Западной Камчатки: Автореф. дис. … канд. биол. наук. Петропавловск-Камчатский: КамчатГТУ, 22 с.
- Матвеев А. А., Терентьев Д. А. 2016. Промысел, многолетняя динамика биомассы, распределение и размерный состав массовых видов рогатковых Cottidae у западного побережья Камчатки // Исслед. вод. биол. ресурсов Камчатки и сев.-зап. части Тихого океана. № 41. С. 17–42. https://doi.org/10.15853/2072–8212.2016.41.17–42
- Матвеев А. А., Баланов А. А., Панченко В. В. 2021. Распределение, размерно-половой состав Gymnocanthus pistilliger (Cottidae) у западного побережья Камчатки в летний период и современное состояние его запасов // Вопр. ихтиологии. Т. 61. № 2. С. 167–176. https://doi.org/10.31857/S004287522102017X
- Методическое пособие по сбору промысловой и биологической информации. 2017. Владивосток: Изд-во ТИНРО-Центр, 102 с.
- Новиков Н. П., Соколовский А. С., Соколовская Т. Г., Яковлев Ю. М. 2002. Рыбы Приморья. Владивосток: Изд-во Дальрыбвтуз, 552 с.
- Панченко В. В. 2012. Возраст и рост шлемоносных бычков рода Gymnocanthus (Cottidae) в заливе Петра Великого и прилегающих районах Приморья // Вопр. ихтиологии. Т. 52. № 2. С. 234–247.
- Панченко В. В. 2013. Размерно-возрастной состав и динамика численности нитчатого шлемоносца Gymnocanthus pistilliger (Cottidae) в заливе Петра Великого (Японское море) // Вопр. рыболовства. Т. 14. № 2 (54). С. 208–218.
- Панченко В. В., Зуенко Ю. И. 2009. Распределение бычков семейства Cottidae в заливе Петра Великого Японского моря в летний период // Там же. Т. 10. № 4 (40). С. 750–763.
- Панченко В. В., Матвеев А. А., Панченко Л. Л. 2020. Сезонное распределение нитчатого шлемоносца Gymnocanthus pistilliger (Cottidae) в российских водах Японского моря // Вопр. ихтиологии. Т. 60. № 2. С. 174–182. https://doi.org/10.31857/S0042875220020174
- Парин Н. В., Евсеенко С. А., Васильева Е. Д. 2014. Рыбы морей России: аннотированный каталог. М.: Т-во науч. изд. КМК, 733 с.
- Токранов А. М. 1981. Некоторые вопросы биологии нитчатого бычка Gymnocanthus pistilliger (Pallas) прикамчатских вод // Биологические ресурсы шельфа, их рациональное использование и охрана. Владивосток: Изд-во ДВНЦ АН СССР. С. 155–156.
- Токранов А. М. 1987. О размножении рогатковых рыб рода Gymnacanthus (Cottidae) в прибрежных водах Камчатки // Вопр. ихтиологии. Т. 27. Вып. 6. С. 1026–1030.
- Фигуркин Л. А. 2002. Развитие океанологических условий западной Камчатки по данным мониторинговых наблюдений 1997 и 2000 гг. // Изв. ТИНРО. Т. 130. Ч. 1. С. 103–116.
- Шелехов В. А., Панченко В. В. 2007. Возраст и рост нитчатого шлемоносца Gymnocanthus pistilliger (Cottidae) в водах южного Приморья (Японское море) // Вопр. ихтиологии. Т. 47. № 2. С. 228–237.
- Якунин Л. П. 1987. Атлас ледовитости дальневосточных морей СССР. Владивосток: ПУГКС, 79 с.
- Amaoka K., Nakaya K., Yabe M. 1995. The fishes of Northern Japan. Sapporo: Kita-Nihon Kaiyo Center Co. Ltd., 391 p.
- Hoff G. R. 2000. Biology and ecology of threaded sculpin, Gymnocanthus pistilliger, in the eastern Bering Sea // Fish. Bull. V. 98. № 4. P. 711–722.
- Kim I. S., Yoon C. H. 1992. Synopsis of the family Cottidae (Pisces: Scorpaeniformes) from Korea // Kor. J. Ichthyol. V. 4. № 1. P. 54–79.
- Kim I. S., Choi Y., Lee C. L. et al. 2005. Illustrated book of Korean fishes. Seoul: Kyo-Hak Publ., 615 p.
- Mecklenburg C. W., Mecklenburg T. A., Thorsteinson L. K. 2002. Fishes of Alaska. Bethesda: Am. Fish. Soc., 1037 p.
Supplementary files





