Daily and Seasonal Variation in Downstream Migration of Juvenile Pink Salmon Oncorhynchus gorbuscha (Salmonidae) in Rivers across the Sakhalin and Kuril Region
- Authors: Kaev А.М.1, Romasenko L.V.1, Dzen G.N.1
-
Affiliations:
- Sakhalin Branch of the Russian Federal Research Institute of Fishery and Oceanography
- Issue: Vol 64, No 3 (2024)
- Pages: 277-293
- Section: Articles
- URL: https://journal-vniispk.ru/0042-8752/article/view/265475
- DOI: https://doi.org/10.31857/S0042875224030032
- EDN: https://elibrary.ru/DSFKYU
- ID: 265475
Cite item
Full Text
Abstract
The four-year study outcomes for downstream migration of the juvenile Pink salmon Oncorhynchus gorbuscha in the Bolshaya Khuzi, Malaya Khuzi, Lazovaya, and Voznesenka Rivers on the East Sakhalin Island and in the Rybatskaya River on the Iturup Island, located far apart from one another along a meridian line (between 45° and 51° N) in different climatic regions, are present. Almost all smolts could migrate over two months, May and June. Similar trends in dynamics of daily downstream smalt migration in all the rivers, associated with reduction in the period of mass migration recorded at dark time during each 24-hour day at approaching the date of the summer solstice, were recorded. The climate patterns of regional variations (dates and degrees of warming trends, heavy precipitation at southern latitudes) significantly modify the pattern variations in the downstream migrant number (downstream migratory phases of increased and decreased passage activities) over a season relative to the river temperature and flow regimes under the spring warming conditions. Therefore, the relationships between the smolt downstream movement rate and the river water temperature and level tend to become weaker, largely, in the southern regions under the impact of the short-term weather variations in unsettled patterns relative to the impact strength and duration.
Full Text
Покатная миграция (скат) молоди является неотъемлемым элементом миграционного цикла анадромных рыб, так как направлена на расселение и освоение районов нагула. От успешности её реализации во многом зависит судьба поколений – формирование численности, масштаб и характер миграций в последующие периоды жизни (Pavlov, 1994). Поэтому изучению ската посвящено множество публикаций, судя по которым, наблюдается высокая изменчивость рассматриваемых его характеристик, связанная с географией районов, геоморфологией речных долин, метеорологическими условиями и пр. Для Сахалино-Курильского региона это имеет особое значение ввиду значительной протяжённости с севера на юг, а также различного термического режима примыкающих морских вод, в результате чего отдельные районы региона различаются по климатическим условиям (Атлас …, 1967). В этой связи весьма актуальным является сопоставление характеристик покатной миграции из разных рек. Такое обобщение по динамике ската молоди горбуши Oncorhynchus gorbuscha и условиям среды проведено для рек северной части Восточного Сахалина в некоторые из 1960–1970-х гг. (Гриценко и др., 1987), а при его доработке по Восточному Сахалину добавлены результаты по р. Бахура (южная часть острова), полученные в 1980-х гг. (Гриценко, 2002). Данные, полученные в последние годы, позволяют сопоставить характеристики покатной миграции молоди этого вида в реках разных районов региона (между 45° и 51° с.ш.), различающихся по климатическим условиям, – в северной и южной частях Восточного Сахалина и на о-ве Итуруп. Особую значимость такому сравнению придаёт высокий уровень воспроизводства горбуши в этих районах, обеспечивавший в текущем веке ~ 80% уловов вида в регионе. Цель нашего исследования – установить особенности покатной миграции молоди горбуши в реках, протекающих в основных районах её воспроизводства в Сахалино-Курильском регионе, и возможные причины, их обусловливающие.
МАТЕРИАЛ И МЕТОДИКА
Использованы первичные данные количественных учётов покатной молоди горбуши, полученные сотрудниками СахНИРО в реках Большая Хузи, Малая Хузи, Лазовая и Вознесенка на восточном побережье о-ва Сахалин, а также в р. Рыбацкая на о-ве Итуруп (табл. 1, рис. 1). Учитывая наличие у горбуши репродуктивно изолированных генеративных линий чётных и нечётных лет, для каждой реки изучены по два поколения этих линий, за исключением северо-восточного побережья Сахалина, по которому недостаточно данных вследствие недавнего возобновления учётов после многолетнего перерыва. Все выбранные для учёта сравнительно небольшие реки имеют горный характер и являются типичными для нереста горбуши, судя по плотности заполнения её нерестилищ в сравнении с крупными реками, протекающими в обширных низменностях (Каев и др., 2010).
Рис. 1. Схема расположения пунктов учёта покатной молоди горбуши Oncorhynchus gorbuscha в реках на восточном побережье о-ва Сахалин (1–4) и на о-ве Итуруп (5): 1 – Большая Хузи, 2 – Малая Хузи, 3– Лазовая, 4 – Вознесенка, 5 – Рыбацкая.
Учёт вели методом выборочных обловов, адаптированных к небольшим водотокам Сахалина и Курильских о-вов (Воловик, 1967; Каев, 2010). Расположение учётных створов определяли по двум основным критериям: нахождение нерестилищ горбуши выше по течению и удалённость от устья за пределы зоны влияния приливов. В качестве орудия лова служила коническая ловушка с квадратным входным отверстием 50 × 50 см, которую ежечасно с вечерних сумерек до рассвета устанавливали в контрольной позиции (как правило, в стрежневой части потока) на 1–5 мин (в зависимости от величины уловов). Суточные серии ловов не проводили, так как в бореальной зоне в небольших горных реках типичным является скат горбуши в сумеречно-ночные часы. Если он и отмечается в дневные часы при паводках, то его интенсивность, как показывают данные по р. М. Хузи (Кириллов и др., 2018), ничтожна в сравнении с ночными часами и не имеет существенного значения для оценки суммарного ската. При наших эпизодических ловах в июне 1984 г. в предвечернее время в реках Рыбацкая, Чистая и в протоках озёр Сопочное и Куйбышевское на о-ве Итуруп поимок молоди горбуши не зарегистрировано.
Для расчёта численности скатившейся молоди периодически проводили специальные серии ловов, последовательно устанавливая ловушку в разных позициях от одного берега к другому, что позволяло определить долю облавливаемых в контрольной позиции мальков в их общем количестве, мигрирующем в данное время через весь учётный створ реки (Каев, 2010). Даты начала учёта определяли, исходя из результатов поимок молоди в предыдущие годы. Учёт обычно завершали, если в сериях ночных ловов суммарный улов не превышал двух-трёх покатников. Учитывая эти нюансы, профили динамики ската достраивали пропорционально его изменениям, зарегистрированным в ближайшие ночи, а также исходя из имевшихся результатов учёта в другой реке данного района. Величина ежегодных коррекций составила в среднем 2.67% при наибольших за ночь в течение каждого из сезонов значениях, составлявших от 0.07 до 1.69% общей численности скатившейся молоди. Известны случаи более крупных коррекций (вплоть до двукратного увеличения численности покатников), неоднократно осуществлявшихся фактически на основе экспертной оценки с использованием ранее известных данных о сроках и динамике ската в исследуемой и других реках данного района, метеорологических условий и так далее. Считается, что такие экспертные заключения могут быть полезными для оценки выживаемости новых поколений горбуши и ретроспективной оценки прогноза возврата производителей (Павлов и др., 2015; Кириллов и др., 2018).
Сезонную продолжительность покатной миграции оценивали по датам, между которыми скатывалось 99% покатников, это позволяло понизить степень неопределённости оценок при единичных уловах мальков. Если в этот диапазон попадали восстановленные данные с величиной ската за ночь, превышавшей указанный выше установленный на практике предел (1.7%), то результаты таких учётов не анализировали вследствие существенной потери информации по динамике ската, особенно на фазе его подъёма. По этой причине, в частности, не удалось изучить покатную миграцию в разных реках в одном и том же диапазоне лет (табл. 1).
Таблица 1. Годы и сроки учёта покатной молоди горбуши Oncorhynchus gorbuscha в реках Сахалино-Курильского региона
Река | Год | Период учёта (день, месяц) | |
начало | окончание | ||
Большая Хузи | 2019 | 19.05 | 06.07 |
Малая Хузи | 2021 | 16.05 | 15.07 |
2022 | 01.06 | 09.07 | |
Лазовая | 2019 | 16.05 | 25.06 |
2020 | 20.05 | 24.06 | |
2021 | 23.05 | 19.06 | |
2022 | 18.05 | 24.06 | |
Вознесенка | 2014 | 14.05 | 15.06 |
2015 | 18.05 | 24.06 | |
2019 | 13.05 | 13.06 | |
2020 | 14.05 | 10.06 | |
Рыбацкая | 2019 | 06.05 | 24.06 |
2020 | 08.05 | 21.06 | |
2021 | 01.05 | 20.06 | |
2022 | 29.04 | 21.06 | |
В процессе учётов регистрировали уровень и температуру воды. Уровень от условного нуля отмечали обычно только в вечерние часы, если не наблюдалось заметных изменений этого параметра в течение ночи. Температуру воды измеряли в процессе обычных серий ловов при каждой постановке ловушки. Поскольку вода сравнительно быстро остывала, расчёт средних значений её температуры проводили для диапазона, измерения в течение которого, с учётом сокращения тёмного времени суток, проводили во все ночи. Освещённость оценивали визуально в ранге вечерних и утренних сумерек и ночного времени, а также наличия луны и состояния погоды. Такие оценки вполне объективны, так как инструментально замеренные уровни ночной освещённости подтверждают их изменения в зависимости от фазы луны и её положения на небе, времени её восхода и захода, метеорологических условий – облачности и наличия тумана (Кириллов и др., 2018).
Серии ловов в тёмное время суток проводили в режиме ночь через ночь. В пропущенные ночи число скатившихся мальков, температуру и уровень воды принимали как среднее между смежными значениями. Взаимные изменения этих показателей в публикациях разные авторы оценивают либо визуально по степени совпадения фрагментов на графиках, либо через попарные корреляции, выясняя степень сопряжённости интенсивности ската с температурой и уровнем воды. Двухфакторный анализ не приводит в данном случае к улучшению результата, так как синхронные изменения уровня и температуры воды чаще разнонаправлены. Поэтому при выявлении связей мы традиционно использовали метод парных корреляций Пирсона (r), но для более тщательного анализа расчёты провели по двум вариантам. Измеренные величины выразили в процентах к их среднему значению для каждого года, что позволило получить единый массив данных для всех лет наблюдений. В первом варианте коэффициенты парных корреляций рассчитаны по измеренным значениям раздельно для периода массового ската, в течение которого мигрировало ~ 60% мальков, и, соответственно, начального и завершающего периодов. Во втором варианте для фазы роста численности покатников (от начала первых ловов до даты, на которую приходилась половина скатившейся молоди) произведён расчёт парных корреляций между синхронными для разных показателей последовательными отклонениями значений изучаемых признаков от их предыдущих значений.
О состоянии погоды в районах судили по представленным на сайте “Расписание погоды” (http://rp5.ru) суточным данным гидрометеорологических станций (ГМС). Для рек Малая Хузи и Большая Хузи использовали результаты наблюдений в с. Пограничное (ГМС 32076, 50°24′ с.ш., 143°46′ в.д.), р. Лазовая – в г. Макаров (ГМС 32116, 48°38′ с.ш., 142°46′ в.д.), р. Вознесенка – в г. Долинск (ГМС 32133, 47°20′ с.ш., 142°48′ в.д.), р. Рыбацкая – в с. Китовое (ГМС 32174, 45°15′ с.ш., 147°53′ в.д.). Статистическую обработку проводили в программе Microsoft Excel.
РЕЗУЛЬТАТЫ
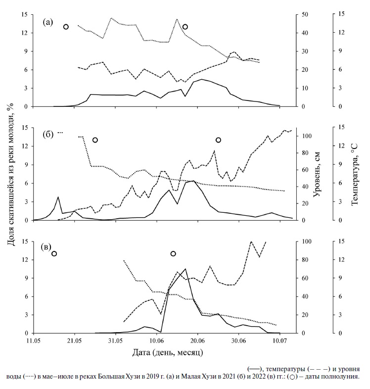
Реки Большая Хузи (длина 29 км) и Малая Хузи (32 км) почти на всём протяжении имеют горный характер, стекая с отрогов Восточно-Сахалинских гор. Расстояние между устьями ~ 1.5 км. Площадь нерестилищ лососей в первой 27.5 тыс. м2, во второй – 37.0 тыс. м2, в обеих реках нерестится в основном горбуша. В 2019 г. сотрудники СахНИРО проводили учёт молоди лососей в р. Б. Хузи, результаты которого были вполне аналогичны таковым, полученным сотрудниками Института проблем экологии и эволюции РАН (ИПЭЭ РАН) в том же году в р. М. Хузи: 90% молоди в р. Б. Хузи скатилось с 25 мая по 29 июня, в р. М. Хузи (Кириллова, 2019) – с 24 мая по 26 июня, причём по времени совпадали даже отдельные пики. Вследствие этого мы посчитали возможным включить данные по р. Б. Хузи в группу данных по р. М. Хузи, в которой в последующие годы были продолжены наблюдения с участием СахНИРО, условно назвав эту группу “Хузи”.
Молодь скатывалась с наибольшей интенсивностью с 00:00 до 03:00, в течение этого промежутка времени в первой половине миграции (фаза роста) мигрировало в среднем 79.6%, а во второй (фаза спада) – 82.0% покатников (табл. 2). В 2019 и 2021 гг. интенсивность ската снижалась при полнолунии. В 2022 г. после кратковременного снижения перед наступлением полнолуния она стала нарастать, и это совпало с появлением плотной облачности (100%). Формально скат наиболее продолжительным был в 2021 г. (61 ночь) вследствие рассчитанного большого количества молоди, скатившейся в середине мая (рис. 2). Однако эти результаты получены на основе уловов единичных мальков при выставлении ловушки вследствие паводка не в стандартной позиции. Отсутствие уловов или единичные поимки мальков в последующие ночи были основанием для отказа от проведения серии ловов для корректного суждения о плотности миграционного потока в разных позициях поперечного створа. Такую серию провели только в ночь на 13 июня при спавшем уровне воды и с поимкой мальков на всех позициях створа, в том числе с наибольшими уловами в стрежневой части потока. Исходя из этих данных, позиции лова до 26 мая находились за пределами основного миграционного потока молоди, что чревато появлением крупных ошибок при расчётах численности покатников (Каев, 2009). Поэтому данные, полученные до 26 мая, не использованы при аналитических расчётах. С учётом такого нюанса продолжительность покатной миграции за три года составила в среднем 42 (33–47) ночи, в то же время 90% покатников мигрировали в среднем за 29 (21–36) ночей.
Таблица 2. Средняя доля покатной молоди горбуши Oncorhynchus gorbuscha за 1 ч ската в разное время суток на фазах роста (А) и последующего снижения (Б) численности покатников в разных реках (осреднённые данные за годы наблюдений), %
Время, ч | “Хузи”* | Лазовая | Вознесенка | Рыбацкая | ||||
А | Б | А | Б | А | Б | А | Б | |
20 | 0 | 0 | 0 | 0 | 0 | 0 | 0.59 | 0 |
21 | 0.27 | 0 | 0.78 | 0.51 | 0.14 | 0.10 | 10.78 | 1.01 |
22 | 1.90 | 0.47 | 4.46 | 4.19 | 2.65 | 2.35 | 35.82 | 25.07 |
23 | 9.54 | 7.76 | 9.86 | 11.85 | 13.81 | 13.52 | 24.84 | 34.92 |
24 | 20.52 | 19.93 | 12.93 | 14.97 | 22.94 | 20.93 | 12.71 | 19.64 |
01 | 22.62 | 21.46 | 14.11 | 18.54 | 22.39 | 22.35 | 7.44 | 11.00 |
02 | 22.14 | 20.17 | 16.99 | 20.16 | 17.33 | 19.09 | 4.28 | 5.09 |
03 | 14.30 | 20.44 | 18.45 | 15.79 | 11.69 | 13.96 | 2.12 | 2.09 |
04 | 7.26 | 8.87 | 13.53 | 10.63 | 7.36 | 6.80 | 0.96 | 0.87 |
05 | 1.30 | 0.90 | 7.51 | 3.08 | 1.60 | 0.88 | 0.41 | 0.28 |
06 | 0.15 | 0 | 1.32 | 0.28 | 0.09 | 0.02 | 0.05 | 0.03 |
07 | 0 | 0 | 0.06 | 0 | 0 | 0 | 0 | 0 |
Примечание. *Здесь и в табл. ٣: объединённые данные по рекам Малая и Большая Хузи.
Рис. 2. Динамика покатной миграции молоди горбуши Oncorhynchus gorbuscha
Покатная миграция протекала на фоне тенденции снижения объёмов стока вследствие постепенного таяния снегов. Этот процесс был связан в основном с весенним потеплением. Наиболее интенсивное снижение уровня воды при скате молоди в 2022 г. было обусловлено, видимо, обильными осадками в мае (179 мм), способствующими таянию снега, и весьма слабыми в июне (22 мм). В 2019 (103 мм в мае и 46 мм в июне) и 2021 гг. (соответственно 151 и 68 мм) эта разница по месяцам была не столь существенной.
В начальный период покатной миграции наблюдалась положительная корреляция интенсивности ската с температурой воды и отрицательная с её уровнем, в завершающий период, напротив, отрицательная с температурой воды и положительная с её уровнем. При массовой миграции значения коэффициента корреляции ската с температурой и уровнем воды были ниже. Связь интенсивности ската, оценённая по отклонениям каждого из измеряемых признаков на фазе подъёма численности покатников, с температурой воды оказалась слабее рассчитанной по их фактическим значениям для начального периода миграции, а с уровнем воды практически отсутствовала (табл. 3). Наиболее рано массовый скат начался в 2019 г., он совпал с тёплой весной в этом году, в котором средняя температура воздуха в мае составила 3.9°С против 2.0 и 2.6°С соответственно в 2021 и 2022 гг.
Рис. 3. Динамика покатной миграции молоди горбуши Oncorhynchus gorbuscha, температуры и уровня воды в р. Лазовая в мае–июне 2019 (а), 2020 (б), 2021 (в) и 2022 (г) гг. Здесь и на рис. 4, 5: обозначения см. на рис. 2.
Таблица 3. Коэффициенты корреляции между изменениями численности мальков горбуши Oncorhynchus gorbuscha, температурой (t) и уровнем (h) воды в разные периоды покатной миграции (измеренные значения) и на фазе роста численности покатников (отклонения значений) в среднем за годы наблюдений в разных реках
Река | Параметр | Период миграции | Фаза роста | ||
начальный | средний | завершающий | |||
“Хузи”* | t | 0.78 | 0.40 | −0.44 | 0.70 |
h | −0.37 | 0.34 | 0.60 | 0.03 | |
Лазовая | t | 0.10 | 0.31 | 0.31 | 0.08 |
h | 0.30 | 0.02 | −0.03 | 0.01 | |
Вознесенка | t | 0.76 | 0.49 | 0.18 | 0.48 |
h | −0.32 | −0.19 | −0.13 | −0.13 | |
Рыбацкая | t | 0.30 | 0.00 | −0.11 | 0.22 |
h | −0.26 | 0.04 | 0.25 | 0.18 | |
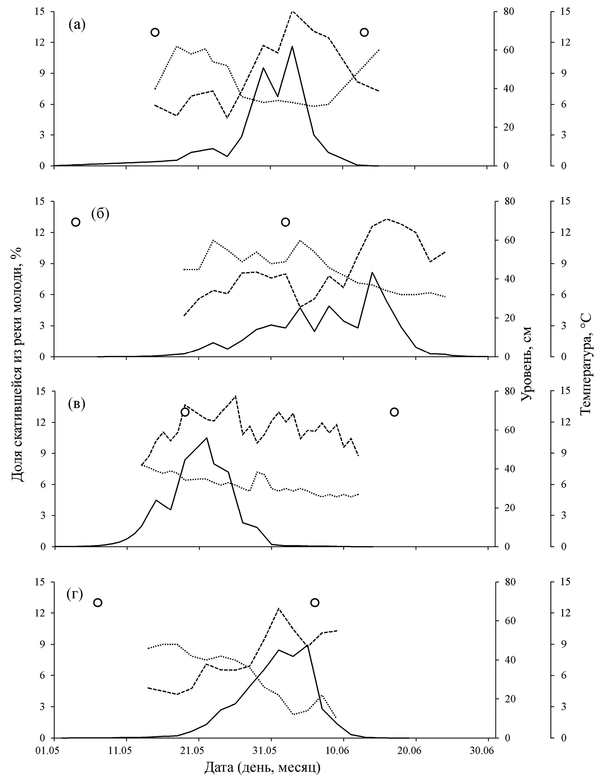
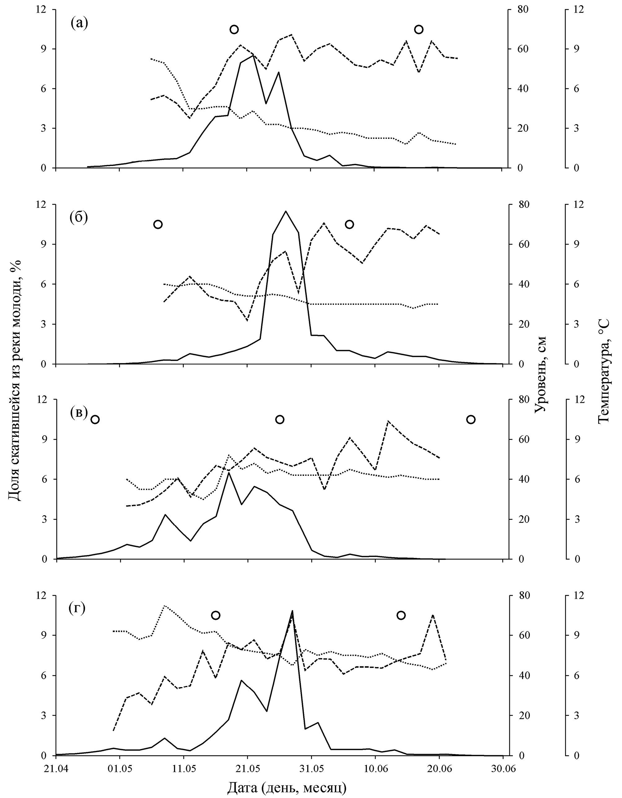
Река Лазовая (длина 36 км, площадь нерестилищ преимущественно горбуши 220 тыс. м2) почти на всем протяжении имеет горный характер, протекая в основном по юго-восточным отрогам Камышового хребта. На фазе подъёма численности основная часть молоди (86.8%) мигрировала в разные ночи с 24:00 до 04:00, на фазе снижения произошло смещение ската большинства покатников (81.3%) на более раннее время – с 23:00 до 03:00 (табл. 2). Продолжительность покатной миграции составляла в среднем 39 (35–45) ночей, в то время как 90% покатников мигрировали в среднем за 26 (23–33) ночей. Наиболее рано молодь скатывалась в 2019 г.: в мае мигрировало 56% мальков против 23–35% в последующие годы. Средняя температура воздуха в первой половине мая 2019 г. составила 5.2°С, а во второй – 10.1°С, в июне она оставалась на таком же уровне (в первой и второй половинах в среднем соответственно 9.0 и 10.1°С). Антиподом ему стал 2022 г., в котором среднесуточные температуры воздуха свыше 10°С начали отмечаться только во второй половине июня. 2020 и 2021 гг. занимали по температуре воздуха промежуточное положение. Таким особенностям прогрева воздуха вполне соответствовал температурный режим в реке, судя по тому, что в 2019 г. уже во второй половине мая прогрев воды достиг уровня, который сохранялся затем в течение июня (рис. 3). Изменения уровня воды были связаны в основном с более интенсивным таянием остатков снежного покрова либо в тёплые дни (в конце мая 2020 г. до 20°С), либо при сильных осадках в сочетании с тёплой погодой (паводок в начале июня 2021 г., 44 мм осадков за двое суток). Несмотря на значительные изменения температурного и уровневого режимов воды в реке, не обнаружено существенных связей интенсивности ската с этими параметрами как при сопоставлении наблюдённых значений по разным периодам покатной миграции, так и по их соответствующим отклонениям в пределах фазы роста численности покатников (табл. 3). Пики миграционной активности приходились на периоды между полнолуниями. Лишь только в 2020 г. в начале июня начал формироваться пик миграционной активности молоди перед наступлением полнолуния, но он не получил своего развития в результате снижения численности покатников непосредственно при полнолунии.
Река Вознесенка (длина 14 км, площадь нерестилищ в основном горбуши 21 тыс. м2) почти на всём протяжении имеет горный характер, стекая с Сусунайского хребта. Молодь скатывалась с наибольшей интенсивностью с 23:00 до 03:00, в этот интервал доли мигрантов на фазах роста (88.2%) и спада (89.8%) покатной миграции были довольно близкими. Однако и в этом случае на фазе спада произошло некоторое смещение ската основной массы покатников на более позднее время, это видно как при сопоставлении пиковых значений на фазах роста и спада (соответственно в 24:00 и 01:00), так и по более высоким уловам покатников в 02:00 и 03:00, наблюдаемых на фазе спада (табл. 2). В рассматриваемые годы продолжительность покатной миграции составила в среднем 31 (24–38) ночь, при этом основная часть молоди (90%) скатывалась в более сжатые сроки – за 19 (16–24) ночей. Наибольшая продолжительность в 2015 г. была обусловлена смещением ската основной массы покатников на более поздние даты и, как следствие, наиболее поздним его завершением (рис. 4). Наиболее ранним и кратковременным период массовой покатной миграции был в 2019 г., в котором в отличие от других лет температура воды во второй половине мая была выше наблюдённой в первой половине июня. Подъёмы уровня воды во время проведения учётов во всех случаях были связаны с дождевыми осадками, наиболее обильными 12–19.06.2014 г. (131 мм), но это не приводило к одновременному снижению температуры воды, как это зачастую происходит при интенсивном таянии снега. В начальный период покатной миграции отмечена наиболее сильная положительная её связь с температурой воды и слабая отрицательная – с её уровнем. В периоды массового ската и его завершения значения коэффициента корреляции последовательно снижались с сохранением положительной или отрицательной направленности рассматриваемых связей. При анализе синхронных отклонений значений изучаемых показателей на фазе роста покатной миграции направленность связей осталась такой же, однако их сила заметно уменьшилась в сравнении с таковой в начальный период ската (табл. 3). В 2014 г. практически вся молодь скатилась в период между полнолуниями с хорошо выраженным пиком миграционной активности. В 2015 г. продолжительное с невысоким темпом прироста увеличение численности покатников началось в третьей декаде мая, достигшее своего пика только в середине июня после фазы полнолуния. В условиях плотной облачности с небольшими дождевыми осадками пик миграционной активности в 2019 г. сформировался сразу после достижения фазы полнолуния в результате быстрого прироста численности покатников, а в 2020 г., напротив, перед полнолунием с резким падением численности при его наступлении.
Рис. 4. Динамика покатной миграции молоди горбуши Oncorhynchus gorbuscha, температуры и уровня воды в р. Вознесенка в мае–июне 2014 (а), 2015 (б), 2019 (в) и 2020 (г) гг.
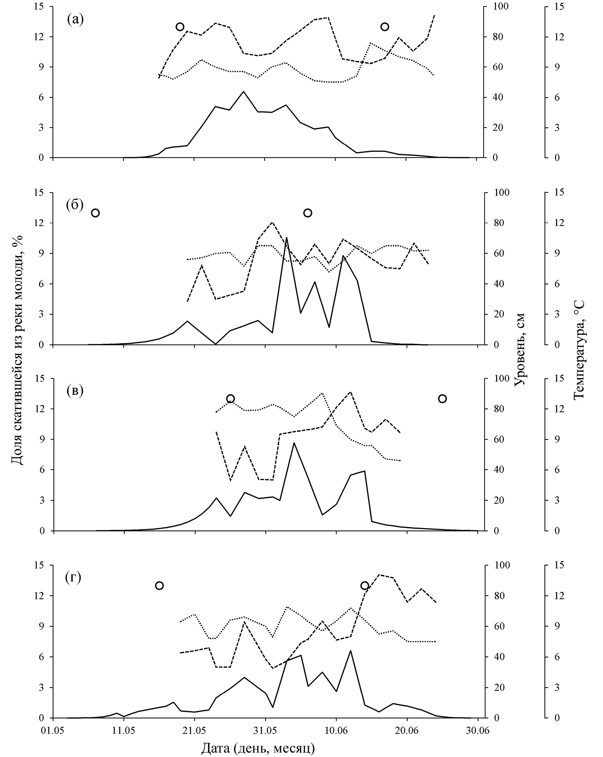
Река Рыбацкая (длина 8 км, площадь нерестилищ горбуши 12 тыс. м2, кеты – 4.2 тыс. м2) на всём протяжении имеет горный характер, стекая с Рубецкого хребта. Молодь скатывалась в тёмное время суток с наибольшей интенсивностью сначала между 21:00 и 24:00, затем между 22:00 и 01:00, в течение указанных промежутков времени мигрировало в среднем соответственно 84.1 и 90.6% покатников (табл. 2). Продолжительность покатной миграции в 2019–2022 гг. составляла в среднем 48 (42–54) ночей, в то время как 90% покатников мигрировали в среднем за 27 (22–30) ночей. Средняя температура воздуха в мае и июне была довольно близкой в 2019 (соответственно 9.8 и 10.2°С) и 2022 гг. (9.1 и 8.7°С) и сильнее различалась в эти месяцы в 2020 (6.4 и 11.4°С) и 2021 гг. (6.4 и 10.1°С), это, видимо, и привело к различиям гидрологических режимов во время ската молоди. Раннее потепление в 2019 и 2022 гг. обусловило тенденцию снижения уровня воды в реке, в то время как в 2020 и 2021 гг. уровень воды был сравнительно стабилен (рис. 5). Коэффициенты корреляции между изменениями численности покатников и режимами (температурным и уровневым) воды показали отсутствие связи в период массовой миграции и наличие слабых связей в начальный и завершающий её периоды. Слабая связь интенсивности ската с данными параметрами среды установлена также на фазе роста численности покатников при сопоставлении синхронных отклонений соответствующих показателей (табл. 3). Если прохождение “волны” высокой численности покатников приходилось на даты, близкие к фазе полнолуния, то купол на профиле кривой, характеризующей динамику ската, выглядел размытым: максимальные суточные значения относительной численности скатывавшихся за ночь покатников были ниже (2019, 2021) в сравнении с таковыми, приходящимися на срединные даты между полнолуниями (2020, 2022).
Рис. 5. Динамика покатной миграции молоди горбуши Oncorhynchus gorbuscha, температуры и уровня воды в р. Рыбацкая в апреле–июне 2019 (а), 2020 (б), 2021 (в) и 2022 (г) гг.
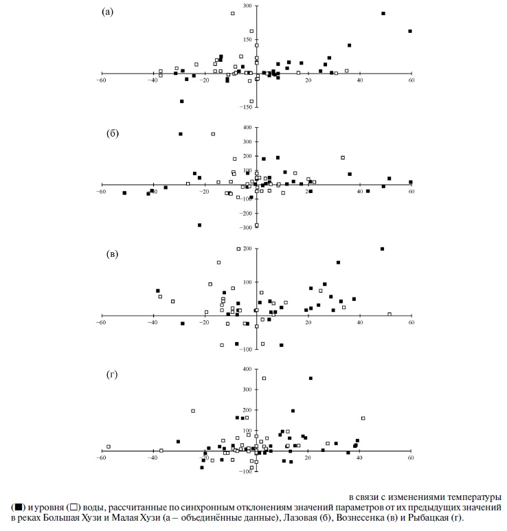
Во всех массивах данных, полученных при сопоставлении величин синхронных отклонений текущих значений признаков от их предыдущих значений, происходивших на фазе подъёма численности покатной молоди, не выявлено сколь-нибудь заметных тенденций, свидетельствующих о влиянии температурного и уровневого режимов в каждой из изученных рек на динамику ската в них молоди горбуши, за исключением температуры воды в реках “Хузи” (рис. 6).
Рис. 6. Изменения интенсивности ската молоди горбуши Oncorhynchus gorbuscha
ОБСУЖДЕНИЕ
Рассмотренные реки по своему характеру (горного типа) являются типично горбушевыми и протекают в районах, характеризующихся высокой эффективностью воспроизводства этого вида (Каев и др., 2010). Результаты изучения покатной миграции в этих реках полностью соответствуют точке зрения о том, что скат молоди горбуши в небольших водотоках бореальной зоны приурочен к тёмному времени суток (Воловик, 1967; Гриценко и др., 1987; Гриценко, 2002; Павлов и др., 2010; Кириллов и др., 2018). Экспериментально установлено, что начало и завершение покатной миграции молоди горбуши в течение суток регулируется комплексом врождённых поведенческих реакций (Павлов и др., 2019). Отрицательная фотореакция в совокупности с положительной тигмореакцией определяют нахождение молоди в светлое время в укрытиях, из которых её активный выход происходит в вечерние сумерки. При предпороговых значениях освещённости (~ 0.5 лк) покатники начинают проявлять двигательную активность, которая резко увеличивается с наступлением темноты (<0.1 лк) и сопровождается массовым выходом молоди в поток, в котором их векториальное движение в реоградиенте в направлении более высоких скоростей течения обусловливает скат основной части покатников в пределах стрежневого потока. Однако и в такой ситуации на её распределении по поперечному створу течения сказывается освещённость. Как показали многократные ловы молоди по такому створу в р. Вознесенка, в светлые ночи она в большей степени, чем в тёмные безлунные ночи, концентрировалась в стрежневом потоке (Каев, Игнатьев, 2015).
Приуроченность покатной миграции молоди горбуши к наиболее тёмному времени суток хорошо просматривается при сопоставлении периодов её наиболее активного ската в течение ночи на фазах роста и спада её сезонной миграции. Разделение на такие фазы сделано намеренно, чтобы нивелировать возможные расхождения по динамике ската при разной численности покатников. Первая фаза протекает задолго до даты летнего солнцестояния, а сроки второй фазы не только приближаются к такой дате, но порой и включают её в себя. Во всех реках на второй фазе интенсивность ската ещё более слабая (вплоть до его прекращения) в вечерние и утренние часы. Как следствие, происходит как бы сжатие во времени ночной миграции, судя по тому, что в каждой из рек на второй фазе увеличиваются доли молоди в часы её наиболее интенсивного ската. Такие изменения вполне объяснимы сокращением продолжительности ночей с приближением к дате летнего солнцестояния (Гриценко, 2002) и тем самым полностью соответствуют точке зрения о превалирующем значении освещённости при формировании суточной динамики покатной миграции (Павлов и др., 2019).
Сокращению длительности тёмного времени суток с приближением к дате летнего солнцестояния вполне соответствует также наблюдаемое смещение сроков массовой миграции в течение ночи (табл. 2). Достижение половины скатывавшейся за ночь молоди происходило в реках “Хузи” в 01:17 на первой фазе покатной миграции и в 01:31 – на второй, в р. Лазовая – соответственно в 01:58 и в 01:30, в р. Вознесенка – в 00:58 и в 01:05, в р. Рыбацкая – в 22:37 и в 23:11. Как видим, чем южнее река, тем раньше в ней наступала середина ночного ската, которая, в свою очередь, на второй сезонной фазе покатной миграции в каждой из рек смещалась на более позднее время. Исключением из этого правила является р. Лазовая, в которой середина ночного ската наступала наиболее поздно, а её смещение на второй фазе миграции наблюдалось, напротив, на более раннее время. Следовательно, эти тенденции определяются не только географической широтой протекания рек (в южном направлении длиннее ночь и короче время сумерек), но и другими причинами. Например, расположением нерестилищ, которые у горбуши сосредоточены большей частью в среднем течении таких небольших рек, как рассмотренные нами. В наиболее коротких из них (Рыбацкая и Вознесенка) основные нерестилища расположены не так далеко от учётного створа, как в реках Лазовая и “Хузи”, в которых в связи с большой протяжённостью нерестилищ период ночного ската наиболее растянут. При этом в р. Лазовая нерестилища располагаются в среднем выше за счёт большей удалённости районов их основного сосредоточения от учётного створа (ориентировочно на 7–8 км), это и объясняет выпадающую из общего правила динамику ночного ската молоди в этой реке.
Приведённые данные по локальному снижению численности покатной молоди при полнолунии не имеет смысла обсуждать в каком-либо ракурсе. Появление таких ситуаций наблюдатели естественно связывали со сравнительно светлыми ночами (Каев, Ардавичус, 1994; Зеленихина и др., 2015; Кириллов и др., 2018), что подтверждено инструментально (Кириллов и др., 2018). Однако для выявления особенностей их проявления требуется многолетний ряд наблюдений. Это важно и с тех позиций, что фактор полнолуния не так явно сказывается на в основном пассивно скатывающейся молоди горбуши в сравнении с кетой (O. keta), у которой наблюдаются статистически значимые изменения в численности покатников при смене фаз луны, приводящие к формированию отдельных волн покатной миграции в периоды между полнолуниями (Каев, Ромасенко, 2002, 2017).
Отмечаемый исследователями дневной скат молоди горбуши, на первый взгляд, ставит под сомнение полученные результаты анализа активности покатной миграции в сумеречные и ночные часы. В данной ситуации не рассматриваем такие сообщения по рекам северного побережья Охотского моря (Марченко, 2023), так как они связаны с географической составляющей (приполярные районы). А вот наблюдаемый в светлое время суток скат молоди горбуши в реках бореальной зоны требует внимания. Прежде всего следует разделять такую миграцию в коротких реках и крупных, таких как, например, Амур. Перемещение молоди горбуши вниз по течению в русле этой реки, в том числе и в дневные часы, совмещается с её нагулом, мальки питаются планктоном и сносимым бентосом, в результате масса их тела в процессе такой миграции возрастает на 28–30% (Рослый, 2002). В небольших реках также отмечается наличие пищи в желудках молоди горбуши, например в реках Кура (анивское побережье о. Сахалин), Иска (материковое побережье Сахалинского залива) и Малая Хузи (Антонов, Ким Хе Юн, 2011; Канзепарова и др., 2015; Кириллова, 2019), однако нет сведений об укрупнении размеров тела такой молоди в отличие от мальков кеты, часть из которых начинает нагул в пресных водах (Каев, 2003). Поэтому наблюдаемое разными исследователями перемещение стаек такой подросшей молоди кеты вниз по течению в светлое время суток (Каев, 1998, Павлов и др., 2010; Зеленихина и др., 2015; Хованский, Подорожнюк, 2021) является обыденным явлением, особенно в сравнительно крупных реках. Дневной скат молоди горбуши (менее интенсивный в сравнении с ночным) описан в основном для русел крупнейших рек Сахалина – Пороная и Тыми (Гриценко и др., 1987). Однако скат молоди горбуши в дневные часы неоднократно отмечали и в притоке Пороная – р. Орловка. Во всех случаях такой скат в этой реке регистрировали в разные годы в условиях паводка с высокой мутностью воды (Каев и др., 2007, 2012, 2014). Заметим также, что приток Орловка (длина 83 км) существенно крупнее изученных нами рек, его бо́льшая часть, на которой расположен пункт учёта, протекает по широкой Поронайской низменности. О дневном скате молоди горбуши в р. М. Хузи (Кириллов и др., 2018) во время паводка упоминали выше. Примерно такая же ситуация со скатом молоди этого вида в светлое время суток описана в р. Великая Кема в Северном Приморье (Колпаков, Колпаков, 2006). Лишь только при упоминании о редких поимках покатников горбуши в дневное время в р. Иска (материковое побережье Сахалинского залива) не указаны сведения о состоянии речного потока (Канзепарова и др., 2015). Исключая неясный последний случай можно констатировать, что дневной скат молоди горбуши в небольших нерестовых реках бореальной зоны является редким событием, спровоцированным высокой мутностью речного потока.
При описании покатной миграции молоди горбуши исследователи, как правило, рассматривают изменения уровня и температуры воды. Наиболее известна точка зрения, указывающая, что воздействие этих факторов интенсифицирует скат молоди лососей в его начальной стадии, а в дальнейшем резкие похолодания воды могут вызывать снижение количества покатников (Воловик, 1967; Гриценко и др., 1987; Гриценко, 2002). При этом совпадение сроков покатной миграции с повышением уровня воды рассматривается как адаптивно значимое явление, позволяющее молоди горбуши мигрировать в море с минимальными затратами энергии (Варнавский, 1990). Часть исследователей подтверждают эту точку зрения по указанным факторам (Колпаков, Колпаков, 2006; Колпаков и др., 2007; Павлов и др., 2010; Зеленихина и др., 2015; Канзепарова и др., 2015; Кириллова, 2022) или только по температурному режиму, отмечая противоречивость связей с уровнем воды (Кириллов и др., 2018), или же отвергая устойчивую связь интенсивности ската с обоими рассматриваемыми параметрами (Ромасенко и др., 2015). При изучении динамики ската молоди горбуши в наших реках также получены неоднозначные результаты, требующие обсуждения.
Начнём с того, что рассмотренные нами реки находятся в разных климатических областях (Атлас …, 1967). Реки “Хузи” и Лазовая – в среднесахалинской горной области, включающей несколько климатических районов. Один из них (южная часть северо-восточного побережья острова и Восточно-Сахалинские горы), в котором протекают реки “Хузи”, находится под влиянием холодного Сахалинского течения, которое делает этот район наиболее холодным в пределах указанной области в весенне-летний период. В другом районе (восточные склоны Камышового хребта), где протекает р. Лазовая, температурный режим существенно теплее, кроме того, этот район отличается наибольшим количеством осадков и частыми туманами в летний период. Река Вознесенка находится в южносахалинской климатической области, в которой зимой ослабевает влияние северо-западного муссона, во второй половине лета и осенью выпадает большое количество осадков, появляется теплолюбивая растительность. Остров Итуруп (р. Рыбацкая) входит в курильскую климатическую область, главной особенностью которой является перенос морского воздуха зимой и летом, в результате в ней самая тёплая зима и наиболее холодное лето в Сахалино-Курильском регионе. Однако Итуруп входит в состав южных Курильских о-вов, куда проникает тепловодное течение Соя, приводящее к потеплению летом в этом климатическом районе.
В реках “Хузи” ход уровня воды определяется в основном продолжительным таянием снежного покрова при сравнительно холодной погоде в мае и июне, в которых температура воздуха в годы изучения покатной миграции составляла в среднем соответственно 2.8 и 6.4°С. Вследствие хорошо выраженных тенденций постепенного прогрева воды и понижения её уровня в этих реках (рис. 2) наблюдалась наиболее сильная связь интенсивности покатной миграции с данными параметрами, в начальный период ската – положительная корреляция с температурой воды и отрицательная – с её уровнем, в заключительный – смена знаков у значений этих зависимостей, в период массового ската – промежуточные значения коэффициента корреляции. Такую ситуацию (фазы увеличения и последующего снижения численности покатников на фоне спада уровня воды после весеннего половодья и её постепенного прогрева) можно считать классической для Сахалино-Курильского региона.
В южных районах существенно теплее, в результате раньше разрушается снежный покров, и, как следствие, рассматриваемые характеристики водного режима в большей мере начинают определяться дождевыми осадками. В районе р. Лазовая средняя температура воздуха в мае и июне составляла соответственно 6.3 и 9.6°С., р. Вознесенка – 8.1 и 11.4°С, р. Рыбацкая – 7.9 и 10.1°С. По сумме выпавших осадков в эти месяцы районы на восточном побережье Сахалина почти не различались (от 182 до 194 мм), на Итурупе она была заметно ниже (135 мм). Однако если сопоставление провести по сумме осадков, выпавших за периоды проведения учётных съёмок, то районы с реками “Хузи” (62 мм) и Вознесенка (72 мм) явно отличаются от районов с реками Лазовая (118 мм) и Рыбацкая (116 мм). При этом в р. Вознесенка сила связи между интенсивностью ската и температурой воды в начальный период и при массовой миграции была близка к таковой в реках “Хузи”, в то время как в реках Лазовая и Рыбацкая, где было больше дождей, эта связь значительно слабее. Кроме того, в начальный период ската в р. Лазовая и в заключительный период в реках Лазовая и Вознесенка отмечено обусловленное выпадением осадков изменение знака коэффициента корреляции интенсивности ската с уровнем воды на противоположный его классическому варианту (табл. 3). Классическое выражение корреляционных связей между изучаемыми параметрами в начальный и заключительный периоды покатной миграции полностью сохранилось только для р. Рыбацкая, но со снижением соответствующих значений коэффициента корреляции в сравнении с таковыми для рек северо-восточного побережья Сахалина.
Для всех рек, и это очень существенно, значения коэффициента корреляции, характеризующие связи интенсивности ската с температурой и уровнем воды, рассчитанные по синхронным отклонениям значений этих показателей в пределах сезонной фазы роста численности покатников, оказались меньше рассчитанных по изменениям измеренных значений этих параметров в начальный период покатной миграции (табл. 3). А если используем для обоих вариантов одинаковые сроки (фаза роста), то эта разница ещё более возрастает в парах скат–температура воды, так как массив измеренных данных в этом случае пополняется пиковыми значениями ската на фоне продолжающегося роста температуры воды.
Отмеченные при разных методах оценки расхождения по силе связи между изучаемыми показателями или же слабый уровень этих связей в данных случаях не дают всё же веских оснований для отрицания воздействия на скат рассматриваемых факторов, так как выше при описании динамики ската молоди в каждой из рек приведены примеры смещения покатной миграции на более ранние сроки в тёплые годы. Сопоставление значений корреляции, рассчитанных по фактическим значениям признаков, свидетельствует о том, что климатические особенности разных районов вносят коррективы в классический вариант сопряжённых изменений в развитии покатной миграции (фазы её подъёма и спада), уровневого и температурного режима рек при весеннем потеплении. К тому же при развитии этих процессов присутствуют элементы случайности (кратковременные изменения погоды), определяющие более низкий уровень значений коэффициента корреляции, рассчитанных по отклонениям значений признаков. Поэтому многочисленные попытки связать изменения интенсивности ската с такими, казалось бы, очевидными факторами среды, как уровень и температура воды, зачастую не приводят к ожидаемым результатам. В какой-то мере эти случайные отклонения могут нивелироваться при длительных сроках протекания покатной миграции как, например, в р. Рыбацкая (соответствие знаков изучаемых связей классической схеме сохраняется, но сила этих связей ослабевает).
Относительно разных сроков покатной миграции молоди горбуши наиболее часто упоминается точка зрения, утверждающая, что у поколений с высокой численностью молоди её скат продолжительнее (Воловик, 1967; Шершнев, Жульков, 1979; Гриценко и др., 1987; Карпенко, 1998). Однако при детальном анализе выясняется, что строго пропорционально по фактору численности сроки и продолжительность ската молоди в разные годы не ранжируются (Шунтов, Темных, 2008). Наши данные по продолжительности покатной миграции молоди горбуши в разных реках также не соответствуют упомянутой точке зрения. Более того, у рассмотренных здесь поколений горбуши на о-ве Итуруп наблюдается хорошо выраженное снижение продолжительности ската при увеличении численности покатников (r = −0.93, n = 4). Однако эта связь сильно ослабевает при увеличении числа анализируемых поколений (r = −0.30, n = 16). В то же время просматривается сопряжённость сроков ската молоди с продолжительностью подходов рыб родительских поколений. К примеру, в рассматриваемые годы в среднем наименее продолжительным был скат молоди горбуши в р. Вознесенка (31 ночь), наиболее продолжительным – в р. Рыбацкая (48 ночей), а подходы горбуши родительских поколений к южной части юго-восточного побережья Сахалина и к о-ву Итуруп наблюдались, соответственно, в течение 71 и 89 сут. Более того, по данным о сроках и интенсивности подходов горбуши к о-ву Кунашир в 1991, 1994–2010 гг. и последующего ската молоди отмечается сходство и по динамике этих процессов (смещение модальных классов в распределениях), определяемых наличием у этого вида лососей разных темпоральных форм (Каев, Ромасенко, 2017).
ЗАКЛЮЧЕНИЕ
Во всех изученных реках интенсивность покатной миграции молоди горбуши увеличивалась в наиболее тёмное время суток, что тестировано по величине уловов покатников в сумеречные и ночные часы, изменением сроков ската молоди по мере сокращения тёмного периода суток, а также по имеющимся литературным данным о скате мальков этого вида в дневные часы. В закономерный характер изменений в течение сезона численности покатников (фазы подъёма и спада) в связи с температурным и уровневым режимами воды в реках в условиях весеннего потепления существенные коррективы вносят особенности климатических районов. При этом закономерные связи между этими переменными величинами ещё более ослабевают в результате кратковременных изменений погоды, носящих случайный характер в отношении силы и времени своего воздействия.
БЛАГОДАРНОСТИ
Авторы выражают благодарность В.В. Смирнову (председатель правления Ассоциации устойчивого рыболовства Северо-Востока Сахалина) за поддержку и техническое обеспечение учётов покатников в р. Малая Хузи и предоставление первичных данных учётов молоди, собранных Е.А. Кирилловой (КамчатНИРО, ИПЭЭ РАН) в этой реке; мы признательны за подробные пояснения к первичным данным учётов молоди в реках сотрудникам СахНИРО Д.В. Авдееву (р. Б. Хузи), Ю.И. Игнатьеву (р. Вознесенка) и И.В. Чеснакову (р. Рыбацкая).
About the authors
А. М. Kaev
Sakhalin Branch of the Russian Federal Research Institute of Fishery and Oceanography
Author for correspondence.
Email: kaev@outlook.com
Russian Federation, Yuzhno-Sakhalinsk
L. V. Romasenko
Sakhalin Branch of the Russian Federal Research Institute of Fishery and Oceanography
Email: kaev@outlook.com
Russian Federation, Yuzhno-Sakhalinsk
G. N. Dzen
Sakhalin Branch of the Russian Federal Research Institute of Fishery and Oceanography
Email: kaev@outlook.com
Russian Federation, Yuzhno-Sakhalinsk
References
- Антонов А.А., Ким Хе Юн. 2011. Питание и пищевые взаимоотношения молоди лососей рода Oncorhynchus в реке Кура залива Анива (о. Сахалин) // Тр. СахНИРО. Т. 12. С. 3–15.
- Атлас Сахалинской области. 1967. М.: ГУГК при СМ СССР, 135 с.
- Варнавский В.С. 1990. Смолтификация лососевых. Владивосток: Изд-во ДВО АН СССР, 180 с.
- Воловик С.П. 1967. Методы учёта и некоторые особенности поведения покатной молоди горбуши в реках Сахалина // Изв. ТИНРО. Т. 61. С. 104–117.
- Гриценко О.Ф. 2002. Проходные рыбы острова Сахалин (систематика, экология, промысел). М.: Изд-во ВНИРО, 248 с.
- Гриценко О.Ф., Ковтун А.А., Косткин В.К. 1987. Экология и воспроизводство кеты и горбуши. М.: Агропромиздат, 166 с.
- Зеленихина Г.С., Ельников А.Н., Точилина Т.Г. 2015. Покатная миграция сеголетков горбуши и кеты в р. Рейдовой о. Итуруп (южные Курильские острова) в весенне-летний период 2014 г. // Тр. ВНИРО. Т. 158. С. 6–14.
- Каев А.М. 1998. Идентификация происхождения и истории жизни охотоморской кеты Oncorhynchus keta по чешуе // Вопр. ихтиологии. Т. 38. № 5. С. 650–658.
- Каев А.М. 2003. Особенности воспроизводства кеты в связи с ее размерно-возрастной структурой. Южно-Сахалинск: Изд-во СахНИРО, 288 с.
- Каев А.М. 2009. Критический анализ методов учета покатной молоди горбуши в реках Сахалина // Бюл. № 4 реализации “Концепции дальневосточной бассейновой программы изучения тихоокеанских лососей”. С. 134–139.
- Каев А.М. 2010. Методические аспекты количественного учёта покатной молоди лососей в реках Сахалино-Курильского региона // Изв. ТИНРО. Т. 162. С. 194–206.
- Каев А.М., Ардавичус А.И. 1994. К изучению покатной миграции молоди кеты Oncorhynchus keta и горбуши Oncorhynchus gorbuscha // Рыбохозяйственные исследования в Сахалино-Курильском районе и сопредельных акваториях. Южно-Сахалинск: Изд-во СахТИНРО. С. 87–91.
- Каев А.М., Игнатьев Ю.И. 2015. О распределении покатной молоди горбуши в потоке небольшой сахалинской реки // Изв. ТИНРО. Т. 180. С. 93–98. https://doi.org/10.26428/1606-9919-2015-180-93-98
- Каев А.М., Ромасенко Л.В. 2002. Покатная миграция и формирование изменчивости по длине тела у молоди горбуши и кеты // Там же. Т. 130. С. 819–828.
- Каев А.М., Ромасенко Л.В. 2017. Горбуша и кета острова Кунашир (структура популяций, воспроизводство, промысел). Южно-Сахалинск: Изд-во СахГУ, 124 с.
- Каев А.М., Захаров А.В., Руднев В.А. и др. 2007. Результаты учета покатной молоди горбуши в реках Сахалина и южных Курильских островов // Бюл. № 2 реализации “Концепции дальневосточной бассейновой программы изучения тихоокеанских лососей”. С. 182–186.
- Каев A.M., Сафронов С.Н., Никитин В.Д. и др. 2010. Подходы к созданию лососевых рыбохозяйственных заповедных зон в Сахалинской области // Лососевые рыбохозяйственные заповедные зоны на Дальнем Востоке России. М.: Изд-во ВНИРО. С. 51–59.
- Каев А.М., Антонов А.А., Захаров А.В. и др. 2012. Результаты количественного учёта покатной молоди горбуши в реках восточного побережья Сахалина и южных Курильских островов в 2012 г. и их интерпретация // Бюл. № 7 изучения тихоокеанских лососей на Дальнем Востоке. С. 66–74.
- Каев А.М., Антонов А.А., Захаров А.В. и др. 2014. Результаты количественного учёта покатной молоди горбуши и кеты в реках Сахалинской области в 2014 г. // Бюл. № 9 изучения тихоокеанских лососей на Дальнем Востоке. С. 69–78.
- Канзепарова А.Н., Золотухин С.Ф., Балушкин В.А. 2015. Молодь горбуши и кеты р. Иска (Сахалинский залив, Охотское море) в пресноводный период // Изв. ТИНРО. Т. 182. С. 55–68. https://doi.org/10.26428/1606-9919-2015-182-55-68
- Карпенко В.И. 1998. Ранний морской период жизни тихоокеанских лососей. М.: Изд-во ВНИРО, 165 с.
- Кириллов П.И., Кириллова Е.А., Павлов Д.С. 2018. Закономерности покатной миграции молоди горбуши Oncorhynchus gorbuscha в р. Малая Хузи (Сахалинская область) // Вопр. ихтиологии. Т. 58. № 6. С. 710–723. https://doi.org/10.1134/S0042875218060139
- Кириллова Е.А. 2019. Результаты количественного учета покатной молоди тихоокеанских лососей в реке Малая Хузи (северо-восток острова Сахалин) в 2019 г. // Бюл. № 14 изучения тихоокеанских лососей на Дальнем Востоке. С. 211–215.
- Кириллова Е.А. 2022. Результаты количественного учёта покатной молоди горбуши в реке Малая Хузи (северо-восток острова Сахалин) в 2021 году // Бюл. № 16 изучения тихоокеанских лососей на Дальнем Востоке. С. 110–118. https://doi.org/10.26428/losos_bull16-2022-110-118
- Колпаков Е.В., Колпаков Н.В. 2006. Особенности покатной миграции горбуши Oncorhynchus gorbuscha в р. Великая Кема (северное Приморье) // Бюл. № 1 реализации “Концепции дальневосточной бассейновой программы изучения тихоокеанских лососей”. С. 213–216.
- Колпаков Е.В., Мирошник В.В., Климкин В.В., Климкин А.Ф. 2007. Катадромная миграция молоди горбуши Oncorhynchus gorbuscha в р. Серебрянка (Тернейский район, Приморский край) в 2007 г. // Бюл. № 2 реализации “Концепции дальневосточной бассейновой программы изучения тихоокеанских лососей”. С. 209–213.
- Марченко С.Л. 2023. Горбуша Oncorhynchus gorbuscha (Salmoniformes, Salmonidae) материкового побережья Охотского моря. Сообщение 2. Молодь // Изв. ТИНРО. Т. 203. № 1. С. 3–15. https://doi.org/10.26428/1606-9919-2023-203-3-15
- Павлов Д.С., Кириллова Е.А., Кириллов П.И. 2010. Покатная миграция молоди лососевых рыб в р. Утхолок и ее притоках (северо-западная Камчатка). 1. Покатная миграция молоди первого года жизни // Там же. Т. 163. С. 3–44.
- Павлов Д.С., Кириллов П.И., Кириллова Е.А., Черешкевич Ф.Г. 2015. Покатная миграция молоди горбуши Oncorhynchus gorbuscha (Walbaum) в реке Малая Хузи (северо-восток острова Сахалин) // Биология внутр. вод. № 4. С. 64–75. https://doi.org/10.7868/S0320965215040129
- Павлов Д.С., Кириллова Е.А., Кириллов П.И. 2019. Активный выход молоди горбуши Oncorhynchus gorbuscha (Salmonidae) в поток для пассивной покатной миграции // Вопр. ихтиологии. Т. 59. № 6. С. 724–731. https://doi.org/10.1134/S0042875219060134
- Ромасенко Л.В., Захаров А.В., Никитин В.Д. 2015. Покатная миграция молоди горбуши и кеты в некоторых реках Сахалинской области в 2015 г. // Бюл. № 10 изучения тихоокеанских лососей на Дальнем Востоке. С. 112–115.
- Рослый Ю.С. 2002. Динамика популяций и воспроизводство тихоокеанских лососей в бассейне Амура. Хабаровск: Изд-во ХоТИНРО; Хабар. кн. изд-во, 210 с.
- Хованский И.Е., Подорожнюк Е.В. 2021. Особенности ската молоди тихоокеанских лососей в бассейне реки Амур // Рыб. хоз-во. № 2. С. 52–59. https://doi.org/10.37663/0131-6184-2021-2-52-59
- Шершнев А.П., Жульков А.И. 1979. Особенности ската молоди и некоторые показатели эффективности воспроизводства горбуши Oncorhynchus gorbuscha (Walbaum) в р. Приторной // Вопр. ихтиологии. Т. 19. Вып. 1 (114). С. 128–133.
- Шунтов В.П., Темных О.С. 2008. Тихоокеанские лососи в морских и океанических экосистемах. Т. 1. Владивосток: Изд-во ТИНРО-центр, 481 с.
- Pavlov D.S. 1994. The downstream migration of young fishes in river (mechanisms and distribution) // Folia Zool. V. 43. № 3. P. 193–208.
Supplementary files








