Вкусовые ответы карповых рыб (Cyprinidae) на карбоновые кислоты. 1. Вкусовые предпочтения
- Авторы: Касумян А.О.1, Михайлова Е.С.1
-
Учреждения:
- Московский государственный университет
- Выпуск: Том 65, № 2 (2025)
- Страницы: 227-240
- Раздел: Статьи
- URL: https://journal-vniispk.ru/0042-8752/article/view/294686
- DOI: https://doi.org/10.31857/S0042875225020096
- EDN: https://elibrary.ru/CWCAXG
- ID: 294686
Цитировать
Аннотация
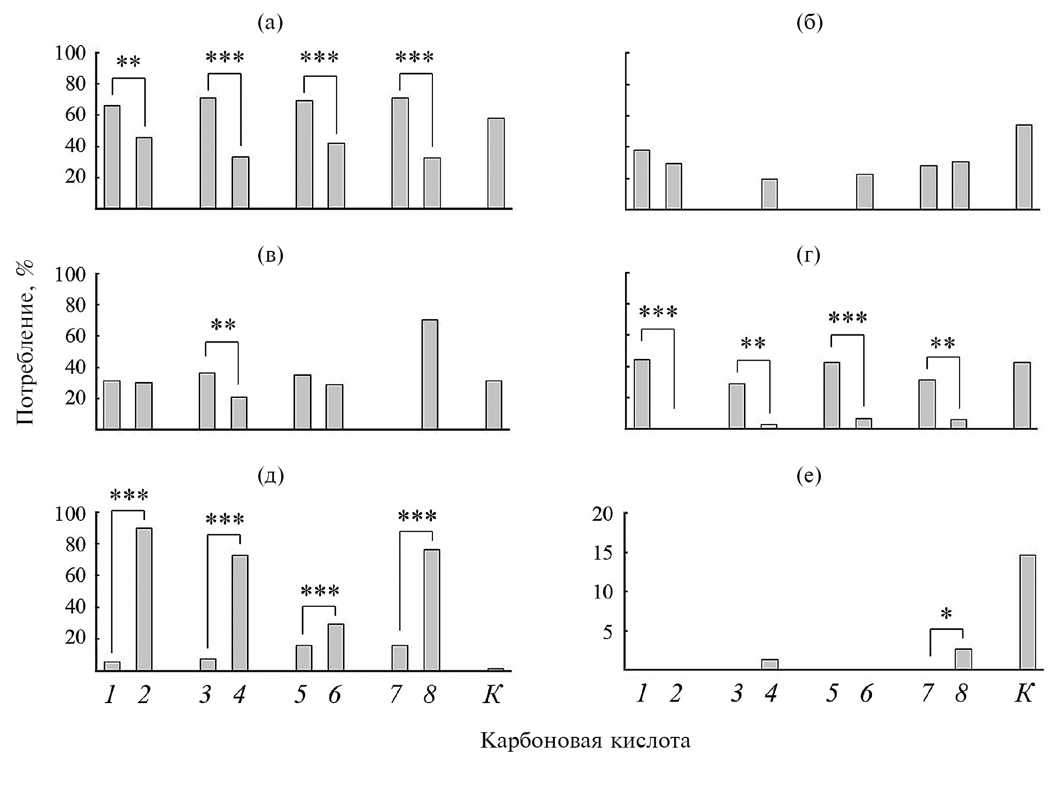
Оценена вкусовая привлекательность карбоновых и некоторых других органических кислот (10−1 М) для ельца Leuciscus leuciscus, плотвы Rutilus rutilus и карпа Cyprinus carpio. Подтверждён вывод о видовой специфичности вкусовых предпочтений у рыб. У ельца потребление гранул стимулируют четыре карбоновые кислоты из 17, из них муравьиная кислота наиболее сильная по действию. Достоверное снижение потребления вызывают 10 кислот. Для плотвы привлекательные по вкусу карбоновые кислоты не обнаружены, большинство их (13 из 15) имеют отталкивающий вкус. Для карпа привлекательным вкусом обладают четыре кислоты, отталкивающим — одна (малоновая), остальные 11 кислот влияния на потребление гранул не оказывают. Стимулирующее действие кислот сохраняется до концентраций 10−4 и 10−3 М. Среди карбоновых кислот нет ни одной, обладающей одинаковыми свойствами для исследованных рыб. Значимого сходства между ельцом, плотвой, карпом и другими видами рыб по вкусовой привлекательности карбоновых кислот не обнаружено. У плотвы и ельца наблюдается прямая зависимость потребления гранул от pH растворов карбоновых кислот, у карпа она отсутствует. Зависимость вкусовой привлекательности карбоновых кислот от размера их молекулы выражена слабо. Структурные преобразования молекулы кислот не всегда приводят к сдвигам вкусовых свойств, причём у разных видов они могут не совпадать или быть противоположными. Аскорбиновая кислота (витамин С) обладает отталкивающим вкусом для плотвы, индифферентным для ельца и привлекательным для карпа, что подтверждает отсутствие связи между физиологическими потребностями в незаменимых микронутриентах и их вкусовой привлекательностью, показанное ранее на примере аминокислот.
Полный текст
Об авторах
А. О. Касумян
Московский государственный университет
Автор, ответственный за переписку.
Email: alex_kasumyan@mail.ru
Россия, Москва
Е. С. Михайлова
Московский государственный университет
Email: alex_kasumyan@mail.ru
Россия, Москва
Список литературы
- Касумян A.O. 1997. Вкусовая рецепция и пищевое поведение рыб // Вопр. ихтиологии. Т. 37. № 1. С. 78–93.
- Касумян A.O. 2016. Вкусовая привлекательность и физико-химические и биологические свойства свободных аминокислот (на примере рыб) // Журн. эволюц. биохимии и физиологии. Т. 52. № 4. С. 245–254.
- Касумян А.О., Исаева О.М. 2023. Вкусовые предпочтения карповых рыб (Cyprinidae). Сравнительное исследование // Вопр. ихтиологии. Т. 63. № 1. С. 81–109. https://doi.org/10.31857/S0042875223010071
- Касумян А.О., Морси А.М.Х. 1996. Вкусовая чувствительность карпа к свободным аминокислотам и классическим вкусовым веществам // Там же. Т. 36. Вып. 3. С. 386–399.
- Касумян А.О., Прокопова О.М. 2001. Вкусовые предпочтения и динамика вкусового поведенческого ответа у линя Tinca tinca (Cyprinidae) // Там же. Т. 41. № 5. С. 670–685.
- Левина А.Д., Касумян А.О. 2024. Вкусовая привлекательность изомеров аминокислот для цихлидовых рыб (Cichlidae) // Там же. Т. 64. № 1. С. 94–106. https://doi.org/10.31857/S0042875224010095
- Михайлова Е.С., Касумян А.О. 2018. Вкусовые свойства карбоновых кислот для девятииглой колюшки Pungitius pungitius // Там же. Т. 58. № 4. С. 496–502. https://doi.org/10.1134/S0042875218040124
- Adams M.A., Johnsen P.B., Zhou H.-Q. 1988. Chemical enhancement of feeding for the herbivorous fish Tilapia zillii // Aquaculture. V. 72. № 1–2. P. 95–107. https://doi.org/10.1016/0044-8486(88)90150-0
- Breslin P.A.S. 2013. An evolutionary perspective on food and human taste // Curr. Biol. V. 23. № 9. P. R409–R418. https://doi.org/10.1016/j.cub.2013.04.010
- Caprio J. 1975. High sensitivity of catfish taste receptors to amino acids // Comp. Biochem. Physiol. Pt. A. Physiol. V. 52. № 1. P. 247–251. https://doi.org/10.1016/s0300-9629(75)80160-5
- CoSeteng M.Y., McLellan M.R., Downing D.L. 1989. Influence of titratable acidity and pH on intensity of sourness of citric, malic, tartaric, lactic and acetic acid solutions on the overall acceptability of imitation apple juice // Can. Inst. Food Sci. Technol. J. V. 22. № 1. P. 46–51. https://doi.org/10.1016/S0315-5463(89)70300-X
- Da Conceicao Neta E.R., Johanningsmeier S.D., Drake M.A., McFeeters R.F. 2007. A chemical basis for sour taste perception of acid solutions and fresh-pack dill pickles // J. Food. Sci. V. 72. № 6. P. S352–S359. https://doi.org/10.1111/j.1750-3841.2007.00400.x
- Dabrowski K. 2000. Ascorbic acid in aquatic organisms: status and perspectives. Boca Raton: CRC Press, 280 p. https://doi.org/10.1201/9781420036312
- Dabrowski K., Hinterleitner S., Sturmbauer C. et al. 1988. Do carp larvae require vitamin C? // Aquaculture. V. 72. № 3–4. P. 295–306. https://doi.org/10.1016/0044-8486(88)90218-9
- Dabrowski K., Segner H., Dallinger R. et al. 1989. Rearing of cyprinid fish larvae: the vitamin C–minerals interrelationship and nutrition-related histology of the liver and intestine of roach (Rutilus rutilus L.) // J. Anim. Physiol. Anim. Nutr. № 62. № 1–5. P. 188–202. https://doi.org/10.1111/j.1439-0396.1989.tb00834.x
- Daldorph P.W.G., Thomas J.D. 1991. Snail cadavers as sources of short-chain carboxylic acids to scavenging freshwater invertebrates // Hydrobiologia. V. 209. № 2. P. 133–140. https://doi.org/10.1007/bf00006925
- Drouin G., Godin J.-R., Pagé B. 2011. The genetics of vitamin C loss in vertebrates // Curr. Genomics. V. 12. № 5. P. 371–378. https://doi.org/10.2174/138920211796429736
- Frank H.E.R., Amato K., Trautwein M. et al. 2022. The evolution of sour taste // Proc. R. Soc. B. V. 289. № 1968. Article 20211918. https://doi.org/10.1098/rspb.2021.1918
- Froese R., Pauly D. (eds.). 2025. FishBase. World Wide Web electronic publication (www.fishbase.org. Version 02/2025).
- Ganzevles P.G.J., Kroeze J.H.A. 1987. The sour taste of acids. The hydrogen ion and the undissociated acid as sour agents // Chem. Senses. V. 12. № 4. P. 563–576. https://doi.org/10.1093/CHEMSE/12.4.563
- Giles N., Street M., Wright R.M. 1990. Diet composition and prey preference of tench, Tinca tinca (L.), common bream, Abramis brama (L.), perch, Perca fluviatilis L. and roach, Rutilus rutilus (L.), in two contrasting gravel pit lakes: potential trophic overlap with wildfowl // J. Fish Biol. V. 37. № 6. P. 945–957. https://doi.org/10.1111/j.1095-8649.1990.tb03598.x
- Hara T.J. 2006. Gustation // Fish physiology: Sensory systems neuroscience. San Diego; London: Acad. Press. P. 45–96. https://doi.org/10.1016/S1546-5098(06)25002-7
- Jiang P., Josue J., Li X. et al. 2012. Major taste loss in carnivorous mammals // PNAS. V. 109. № 13. P. 4956–4961. https://doi.org/10.1073/pnas.1118360109
- Kasumyan A. 2024. The taste system in fish // Encyclopedia of fish physiology (Second edition). Amsterdam et al.: Acad. Press. P. 106–123. https://doi.org/10.1016/B978-0-323-90801-6.00118-X
- Kasumyan A., Døving K.B. 2003. Taste preferences in fish // Fish Fish. V. 4. № 4. Р. 289–347. https://doi.org/10.1046/j.1467-2979.2003.00121.x
- Kasumyan A.O., Mouromtsev G.E. 2020. The teleost fish, blue gourami Trichopodus trichopterus, distinguishes the taste of chemically similar substances // Sci. Rep. V. 10. Article 7487. https://doi.org/10.1038/s41598-020-64556-6
- Lammens E.H.R.R., Hoogenboezem W. 1991. Diets and feeding behavior // Cyprinid fishes. Dordrecht: Springer. P. 353–376. https://doi.org/10.1007/978-94-011-3092-9_12
- Laska M., Persson Suorra J., Rivas Bautista R.M., Hernandez Salazar L.T. 2008. Taste difference thresholds for monosodium glutamate and sodium chloride in pigtail macaques (Macaca nemestrina) and spider monkeys (Ateles geoffroyi) // Am. J. Primatol. V. 70. № 9. P. 839–847. https://doi.org/10.1002/ajp.20558
- Laska M., Rivas Bautista R.M., Hernandez Salazar L.T. 2009. Gustatory responsiveness to six bitter tastants in three species of nonhuman primates // J. Chem. Ecol. V. 35. № 5. P. 560–571. https://doi.org/10.1007/s10886-009-9630-8
- Levina A.D., Mikhailova E.S., Kasumyan A.O. 2021. Taste preferences and feeding behavior in the facultative herbivore fish, Nile tilapia Oreochromis niloticus // J. Fish Biol. V. 98. № 1. P. 1385–1400. https://doi.org/10.1111/jfb.14675
- Li X., Li W., Wang H. et al. 2005. Pseudogenization of a sweet-receptor gene accounts for cats’ indifference toward sugar // PLoS Genet. V. 1. № 1. Article e3. https://doi.org/10.1371/journal.pgen.0010003
- Lim L.-S., Lai S.-K.J., Yong A.S.-K. et al. 2017. Feeding response of marble goby (Oxyeleotris marmorata) to organic acids, amino acids, sugars and some classical taste substances // Appl. Anim. Behav. Sci. V. 196. P. 113–118. https://doi.org/10.1016/j.applanim.2017.06.014
- Liu C., Meng F., Tang X. et al. 2018. Comparison of nonvolatile taste active compounds of wild and cultured mud crab Scylla paramamosain // Fish. Sci. V. 84. № 5. P. 897–907. https://doi.org/10.1007/s12562-018-1227-0
- Mai K., Waagbø R., Zhou X.Q. et al. 2022. Vitamins // Fish nutrition (Four edition). London: Acad. Press. P. 57–179. https://doi.org/10.1016/B978-0-12-819587-1.00014-8
- Marui T., Caprio J. 1992. Teleost gustation // Fish chemoreception. Dordrecht: Springer. P. 171–198. https://doi.org/10.1007/978-94-011-2332-7_9
- Marui T., Harada S., Kasahara Y. 1983. Gustatory specificity for amino acids in the facial taste system of the carp, Cyprinus carpio L // J. Comp. Physiol. V. 153. № 3. P. 299–308. https://doi.org/10.1007/BF00612584
- Morais S. 2017. The physiology of taste in fish: potential implications for feeding stimulation and gut chemical sensing // Rev. Fish. Sci. Aquac. V. 25. № 2. P. 133–149. https://doi.org/10.1080/23308249.2016.1249279
- Nelson D.L., Cox M.M. 2021. Lehninger Principles of biochemistry. N.Y.: W.H. Freeman and Сo., 4381 p.
- Nutrient requirements of fish and shrimp. 2011. Washington: Natl. Acad. Press, 376 p. https://doi.org/10.17226/13039
- Roper S.D. 2014. TRPs in taste and chemesthesis // Mammalian transient receptor potential (TRP) cation channels. Cham: Springer. P. 827–871. https://doi.org/10.1007/978-3-319-05161-1_5
- Sterry P.R., Thomas J.D., Patience R.L. 1985. Changes in the concentrations of short-chain carboxylic acids and gases during decomposition of the aquatic macrophytes Lemna paucicostata and Ceratophyllum demersum // Freshw. Biol. V. 15. № 2. P. 139–153. https://doi.org/10.1111/j.1365-2427.1985.tb00188.x
- Sutterlin A.M., Sutterlin N. 1970. Taste responses in Atlantic salmon (Salmo salar) parr // J. Fish. Res. Board Can. V. 27. № 11. P. 1927–1942. https://doi.org/10.1139/f70-218
- Tan M., Armbruster J.W. 2018. Phylogenetic classification of extant genera of fishes of the order Cypriniformes (Teleostei: Ostariophysi) // Zootaxa. V. 4476. № 1. P. 6–39. https://doi.org/10.11646/zootaxa.4476.1.4
- Tu Y.-H., Cooper A.J., Teng B. et al. 2018. An evolutionarily conserved gene family encodes proton-selective ion channels // Science. V. 359. № 6379. P. 1047– 1050. https://doi.org/10.1126/science.aao3264
- Whitear M. 1992. Solitary chemosensory cells // Fish chemoreception. Dordrecht: Springer. P. 103–125. https://doi.org/10.1007/978-94-011-2332-7_6
- Xie S., Zhang L., Wang D. 2003. Effects of several organic acids on the feeding behavior of Tilapia nilotica // J. Appl. Ichthyol. V. 19. № 4. P. 255–257. https://doi.org/10.1046/j.1439-0426.2003.00451.x
- Yoshii K., Kamo N., Kurihara K., Kobatake Y. 1979. Gustatory responses of eel palatine receptors to amino acids and carboxylic acids // J. Gen. Physiol. V. 74. № 3. P. 301–317. https://doi.org/10.1085/jgp.74.3.301
- Zhao H., Yang J.-R., Xu H., Zhang J. 2010. Pseudogenization of the umami taste receptor gene Tas1r1 in the giant panda coincided with its dietary switch to bamboo // Mol. Biol. Evol. V. 27. № 12. P. 2669–2673. https://doi.org/10.1093/molbev/msq153
- Zhu K., Zhou X., Xu S. et al. 2014. The loss of taste genes in cetaceans // BMC Evol. Biol. V. 14. Article 218. https://doi.org/10.1186/s12862-014-0218-8
Дополнительные файлы









