Влияние химической модификации поверхности оксисиланами на изменение структурно-фазового состояния высокопористых оксигидроксидов алюминия при отжиге до 1200°C
- Авторы: Ходан А.Н.1,2, Быков А.В.3, Киселев М.Р.1
-
Учреждения:
- Институт физической химии и электрохимии им. А.Н. Фрумкина Российской академии наук
- Тамбовский государственный университет им. Г.Р. Державина
- Московский государственный университет им. М.В. Ломоносова, химический факультет
- Выпуск: Том 59, № 2 (2023)
- Страницы: 161-166
- Раздел: НАНОРАЗМЕРНЫЕ И НАНОСТРУКТУРИРОВАННЫЕ МАТЕРИАЛЫ И ПОКРЫТИЯ
- URL: https://journal-vniispk.ru/0044-1856/article/view/134344
- DOI: https://doi.org/10.31857/S0044185623700195
- EDN: https://elibrary.ru/SYSYRH
- ID: 134344
Цитировать
Полный текст
Аннотация
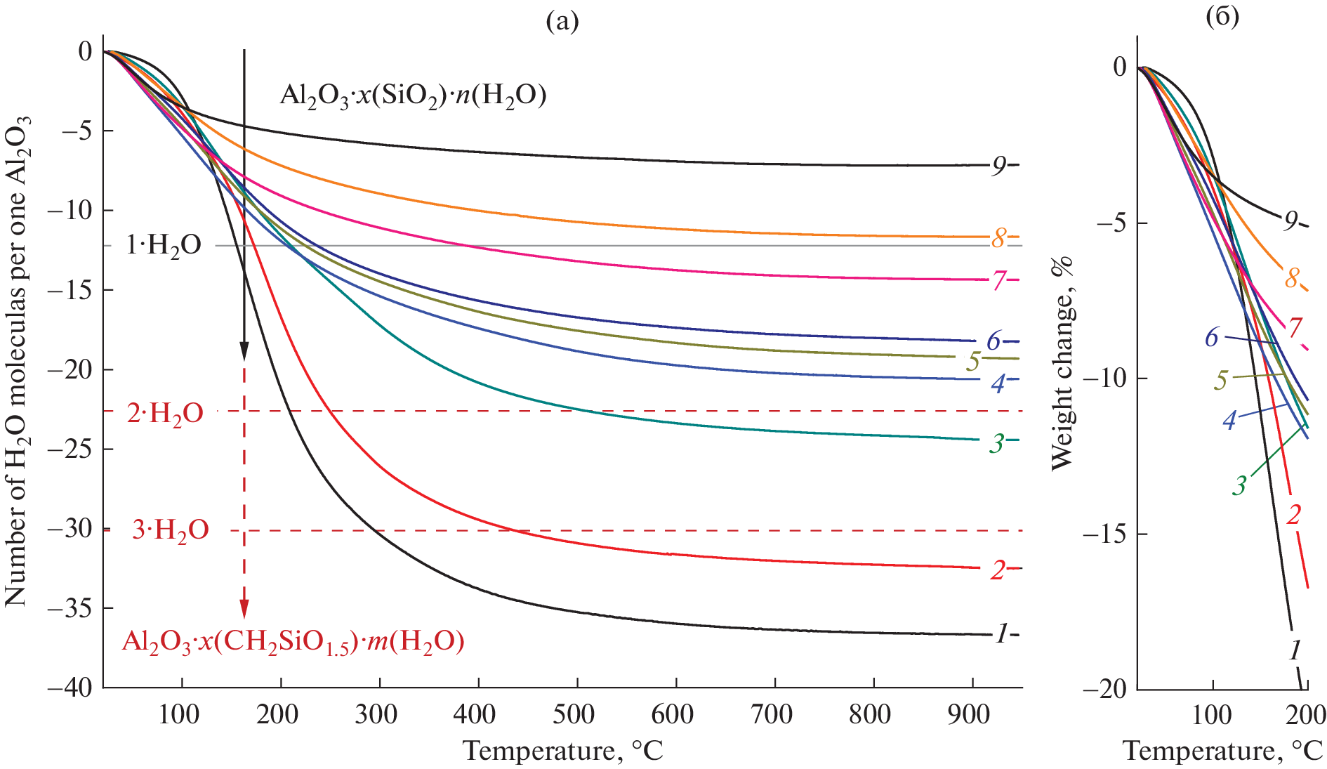
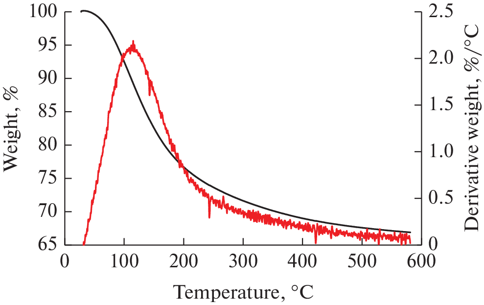
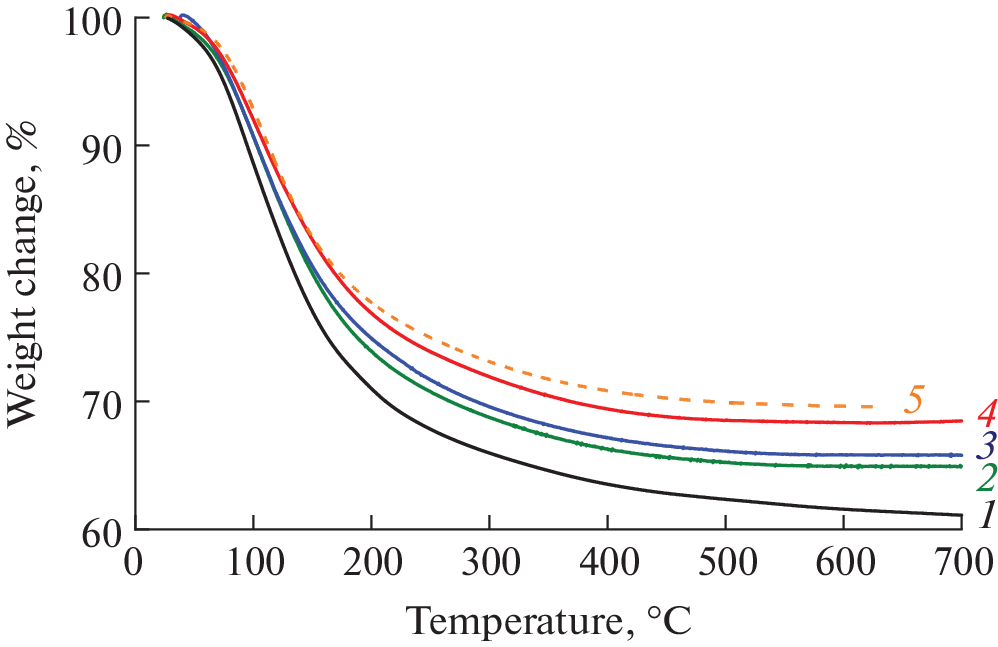
Методами термического анализа исследованы изменения состава и физико-химических свойств пористых монолитных 3D наноструктур оксигидроксидов алюминия (ПМОА) химически модифицированных в парах метилтриметоксисилана. Определены условия формирования и состав кремнийорганических соединений на поверхности ПМОА, подтверждена высокая степень гидролиза (91%) алкокси-групп модификатора при хемоадсорбции. Исследована зависимость состава пористой нанокомпозитной структуры Al2O3–SiO2 от условий химической и термической обработки. Описано общее изменение химического состава нанокомпозита при использовании разного времени отжига в диапазоне от 100 до 1200°C.
Об авторах
А. Н. Ходан
Институт физической химии и электрохимии им. А.Н. Фрумкина Российской академии наук; Тамбовский государственный университет им. Г.Р. Державина
Email: anatole.khodan@gmail.com
Россия, 199071, Москва, Ленинский пр., 31; Россия, 390000 , Тамбов, Интернациональная ул., 33
А. В. Быков
Московский государственный университет им. М.В. Ломоносова, химический факультет
Email: anatole.khodan@gmail.com
Россия, 119991, Москва, Ленинские горы, 1
М. Р. Киселев
Институт физической химии и электрохимии им. А.Н. Фрумкина Российской академии наук
Автор, ответственный за переписку.
Email: anatole.khodan@gmail.com
Россия, 199071, Москва, Ленинский пр., 31
Список литературы
- Golovan L.A., Timoshenko V.Yu., Kashkarov P.K. // Physics Uspekhi. 2007. V. 50. № 6. P. 595–612.
- di Costanzo T., Fomkin A.A., Frappart C., Khodan A.N., Kuznetsov D.G., Mazerolles L., Michel D., Minaev A.A., Sinitsin V.A., Vignes J.-L. // Mater. Sci. Forum. 2004. V. 453–454. P. 315–322.
- Vignes J.-L., Frappart C., di Costanzo T., Rouchaud J.-C., Mazerolles L., Michel D. // J. Mater. Sci. 2008. V. 43. P. 1234–1240.
- Khodan A., Nguyen T.H.N., Esaulkov M., Kiselev M. R., Amamra M., Vignes J.-L. and Kanaev A. // J. Nanopart. Res. 2018. V. 20. P. 194–204.
- Karlash A.Yu., Skryshevsky V.A., Khodan A.N., Kanaev A.V., Gayvoronsky V.Ya. // J. Phys. D: Appl. Phys. 2012. V. 45. P. 365108.
- Khodan A.N., Kopitsa G.P., Yorov Kh.E., Baranchikov A.E., Ivanov V.K., Feoktystov A., Pipich V. // J. Surf. Invest.: X-Ray Synchrotron Neutron Tech. 2018. V. 12. № 2. P. 296–305.
- Martynov A.G., Bykov A.V., Gorbunova Yu.G., Khodan A.N., Tsivadze A.Yu // Prot. Met. Phys. Chem. Surf. 2018. V. 54. P. 185–191.
- Yorov Kh.E., Khodan A.N., Baranchikov A.E., Utochnikova V.V., Simonenko N.P., Beltiukov A.N., Petukhov D.I., Kanaev A., Ivanov V.K. // Microporous Mesoporous Mater. 2020. V. 293. P. 109804.
- Bouslama M., Amamra M.C., Jia Z., Ben Amar M., Chhor K., Brinza O., Abderrabba M., Vignes J.-L., Kanaev A. // ACS Catal. 2012. V. 2. P. 1884–1892.
- Bouslama M., Amamra M.C., Brinza O., Tieng S., Chhor K., Abderrabba M., Vignes J.-L., Kanaev A. // Appl. Catal. A-Gen. 2011. V. 402. № 1–2. P. 156–161.
- Mukhin V.I., Khodan A.N., Nazarov M.M., Shkurinov A.P. // Radiophysics and Quantum Electronics 2012 V. 54. № 8–9. P. 591–599.
- Khatim O., Nguyen T.H.N., Amamra M., Museur L., Khodan A.N., Kanaev A. // Acta Mater. 2014. V. 71. P. 108–116.
- Katsuki F., Saguchi A., Takahashi W., Watanabe J. // Jpn. J. Appl. Phys. Part 1. 2002. V. 41. P. 4919–4923.
- Inoue Y., Takai O. // Plasma Sources Sci. Technol. 1996. V. 5. P. 339–343.
- Blaine B.L., Hahn B.K. // J. Therm. Anal. Calorim. 1998. V. 54. P. 695–704.
Дополнительные файлы









