Scale Resistance of Titanium Silicide Ti5Si–Titanium-Aluminide TiAl3 Powder Composites
- Authors: Pribytkov G.A.1, Korzhova V.V.1, Firsina I.A.1, Baranovskiy A.V.1, Krivopalov V.P.1
-
Affiliations:
- Federal State Budgetary Institution “Institute of Strength Physics and Materials Science”, Siberian Branch, Russian Academy of Sciences, 634055, Tomsk, Russia
- Issue: Vol 59, No 2 (2023)
- Pages: 181-187
- Section: ФИЗИКО-ХИМИЧЕСКИЕ ПРОБЛЕМЫ ЗАЩИТЫ МАТЕРИАЛОВ
- URL: https://journal-vniispk.ru/0044-1856/article/view/134347
- DOI: https://doi.org/10.31857/S0044185623700225
- EDN: https://elibrary.ru/SZBLFM
- ID: 134347
Cite item
Full Text
Abstract
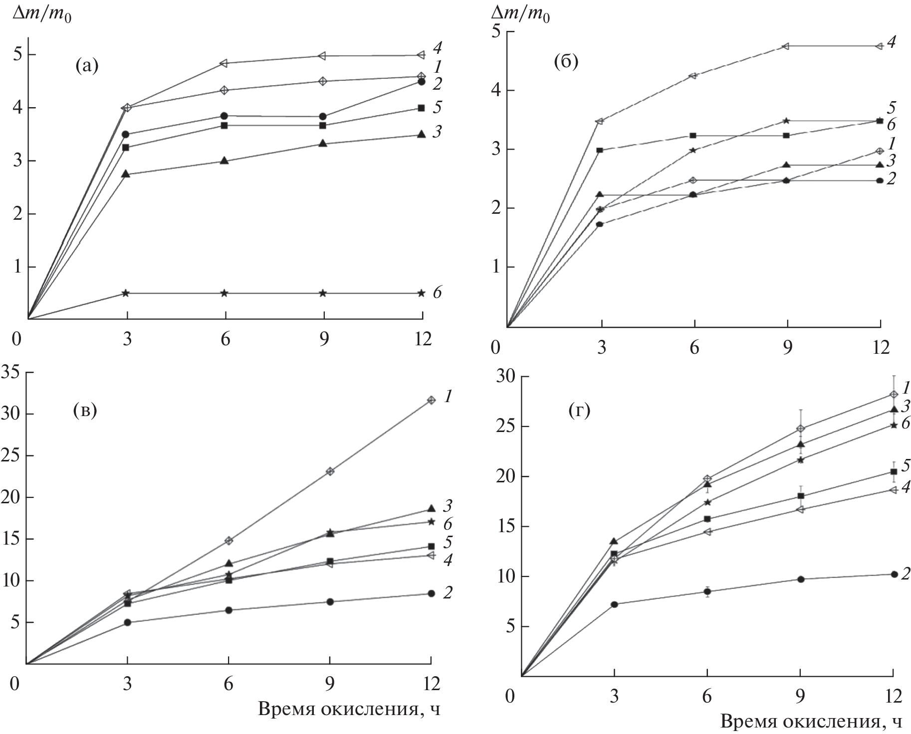
The microstructure, phase composition, and resistance to oxidation upon heating in air in the temperature range of 600–1100°С for composites synthesized in the gasless combustion mode of reactive powder mixtures of titanium, aluminum, and silicon have been studied. Silicide Ti5Si3 and titanium trialuminide TiAl3 were synthesized from two-component mixtures. The combustion products of ternary mixtures contain Ti5Si3 and TiAl3, the ratio of which depends on the aluminum content in the reaction mixtures. The scale resistance of the synthesized powder composites is determined to a greater extent by the microstructure of the granules than by their phase composition. The composition was determined of the reaction powder mixture, the combustion products of which have a scale resistance 1.5–3 times higher than the combustion products of the other studied compositions.
About the authors
G. A. Pribytkov
Federal State Budgetary Institution “Institute of Strength Physics and Materials Science”, Siberian Branch, Russian Academy of Sciences, 634055, Tomsk, Russia
Email: gapribyt@mail.ru
Россия, 634055, Томск, пр. Академический, 2/4
V. V. Korzhova
Federal State Budgetary Institution “Institute of Strength Physics and Materials Science”, Siberian Branch, Russian Academy of Sciences, 634055, Tomsk, Russia
Email: gapribyt@mail.ru
Россия, 634055, Томск, пр. Академический, 2/4
I. A. Firsina
Federal State Budgetary Institution “Institute of Strength Physics and Materials Science”, Siberian Branch, Russian Academy of Sciences, 634055, Tomsk, Russia
Email: gapribyt@mail.ru
Россия, 634055, Томск, пр. Академический, 2/4
A. V. Baranovskiy
Federal State Budgetary Institution “Institute of Strength Physics and Materials Science”, Siberian Branch, Russian Academy of Sciences, 634055, Tomsk, Russia
Email: gapribyt@mail.ru
Россия, 634055, Томск, пр. Академический, 2/4
V. P. Krivopalov
Federal State Budgetary Institution “Institute of Strength Physics and Materials Science”, Siberian Branch, Russian Academy of Sciences, 634055, Tomsk, Russia
Author for correspondence.
Email: gapribyt@mail.ru
Россия, 634055, Томск, пр. Академический, 2/4
References
- Головко Э.И. Высокотемпературное окисление металлов и сплавов. Справочник. Киев: Наук. Думка, 1980. 296 с.
- Dai J., Zhu J., Chen C., Weng F. // J. Alloys and Compounds. 2016. V. 685. P. 784–798.
- Mitra R. // Internal Materials Reviews. 2006. V. 51. P. 13–64.
- Pribytkov G.A., Krinitsyn M.G., Korzhova V.V. et al. // Prot. Met. Phys. Chem. Surf. 2022. V. 58. P. 70–75.
- Yoshihara M.M., Miura K. // Intermetallics. 1995. V. 3. P. 351–363.
- Quiang S., Liu B., Li J. et al. // Materials Science and Engineering. Powder metallurgy. 2015. V. 20(4). P. 616–622.
- Dong Z., Jiang H., Feng X., Wang Z. // Trans. Nonferrous Met. Soc. China. 2006. V. 16. P. 2004–2008.
- Liang W., Zhao X.G. // Scripta mater. 2001. V. 44. P. 1049–1054.
- Wu Y., Wang A.H., Zhang Z. et al. // Applied Surface Science. 2014. V. 305. P. 16–23.
- Riley D.P. // Intermetallics. 2006. V. 14. P. 770–775.
- Vojtech D., Kubatik T., Pavlickova M., Maixner J. // Intermetallics. 2006. V. 14. P. 1181–1186.
- Udayashankar N.K., Rajasekaran S., Nayak Jagannath // Trans. Indian Inst. Met. 2008. V. 61. № 2–3. P. 231–233.
- Li Z., Gao W., He Y., Li S. // High Temperature Materials and Processes. 2002. V. 21. № 1–2. P. 35–45.
- Lavrenko V.O., Firstov S.O., Panasyuk A.D. et al. // Powder Metallurgy and Metal Ceramics. 2003. V. 42. № 3–4. P. 184–188.
- Sun F.S., Kim S.E., Cao C.X. et al. // Scripta Materialia. 2001. V. 456. P. 383–389.
- Sun F.S., Froes F.H. (Sam) // Materials Science and Engineering A. 2003. V. 345. P. 262–269.
- Tkachenko S., Datskevich O., Dvorak K., Kulak L. // J. Alloys and Compounds. 2017. V. 694. P. 1098–1108.
- Nov’ak P., Michalcov’a A., Šeráak J. et al. // J. Alloys and Compounds. 2009. V. 470. P. 123–126.
- Novak P., Pruša F., Šerak J. et al. // J. Alloys and Compounds. 2010. V. 504. P. 320–324.
- Zha M., Wang H.Y., Li S.T. et al. // Materials Chemistry and Physics. 2009. V. 114. P. 709–715.
- Zha M., Wang H.Y., Li S.T. et al. // ISIJ International. 2009. V 49. № 3. P. 453–457.
Supplementary files






