Cycloaliphatic Epoxy Matrix in the Development of Anticorrosive Coatings Containing Various Modifying Additives
- Authors: Golubeva N.K.1,2, Kondratenko Y.A.1, Ivanova A.G.1, Ugolkov V.L.1, Zagrebel’nyi O.A.1, Kochina T.A.1
-
Affiliations:
- Grebenshchikov Institute of Silicate Chemistry, Russian Academy of Sciences, 199034, St. Petersburg, Russia
- St. Petersburg State Technological Institute (Technical University), 190013, St. Petersburg, Russia
- Issue: Vol 59, No 2 (2023)
- Pages: 211-220
- Section: ФИЗИКО-ХИМИЧЕСКИЕ ПРОБЛЕМЫ ЗАЩИТЫ МАТЕРИАЛОВ
- URL: https://journal-vniispk.ru/0044-1856/article/view/134350
- DOI: https://doi.org/10.31857/S0044185623700262
- EDN: https://elibrary.ru/SZMAIW
- ID: 134350
Cite item
Full Text
Abstract
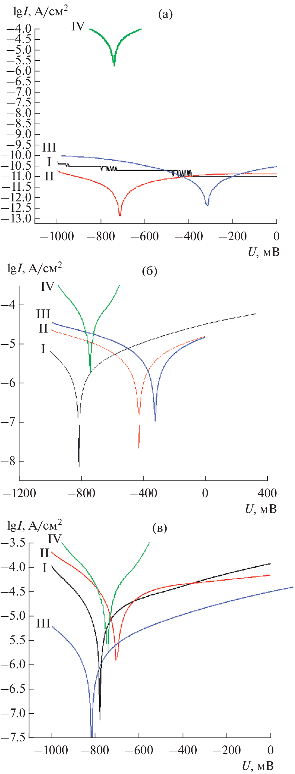
The effect of the hardening conditions and the nature of the filler and the organic modifier on the physical and mechanical properties of coatings based on a cycloaliphatic epoxy matrix filled with muscovite mica and TiO2 has been studied. The dependence of the values of hardness and the wetting angle on the amount of polyetheramine hardener (20–50 wt %) has been presented. The effect of the nature of the hardener and additives of ground granite and SiO2 microspheres on the values of hardness, adhesion, and impact and bending strengths of the epoxy coating has been studied. Four optimal compositions of epoxy coatings for the study of thermal stability and anticorrosive properties have been determined. It has been shown that coatings containing oligoethoxysiloxanes as organic modifiers are characterized by low degree of corrosion protection.
About the authors
N. K. Golubeva
Grebenshchikov Institute of Silicate Chemistry, Russian Academy of Sciences, 199034, St. Petersburg, Russia; St. Petersburg State Technological Institute (Technical University), 190013, St. Petersburg, Russia
Email: kondratencko.iulia@yandex.ru
Россия, 199034, Санкт-Петербург, , наб. Макарова, 2; Россия, 190013, Санкт-Петербург, Московский пр., 26
Yu. A. Kondratenko
Grebenshchikov Institute of Silicate Chemistry, Russian Academy of Sciences, 199034, St. Petersburg, Russia
Email: kondratencko.iulia@yandex.ru
Россия, 199034, Санкт-Петербург, , наб. Макарова, 2
A. G. Ivanova
Grebenshchikov Institute of Silicate Chemistry, Russian Academy of Sciences, 199034, St. Petersburg, Russia
Email: kondratencko.iulia@yandex.ru
Россия, 199034, Санкт-Петербург, , наб. Макарова, 2
V. L. Ugolkov
Grebenshchikov Institute of Silicate Chemistry, Russian Academy of Sciences, 199034, St. Petersburg, Russia
Email: kondratencko.iulia@yandex.ru
Россия, 199034, Санкт-Петербург, , наб. Макарова, 2
O. A. Zagrebel’nyi
Grebenshchikov Institute of Silicate Chemistry, Russian Academy of Sciences, 199034, St. Petersburg, Russia
Email: kondratencko.iulia@yandex.ru
Россия, 199034, Санкт-Петербург, , наб. Макарова, 2
T. A. Kochina
Grebenshchikov Institute of Silicate Chemistry, Russian Academy of Sciences, 199034, St. Petersburg, Russia
Author for correspondence.
Email: kondratencko.iulia@yandex.ru
Россия, 199034, Санкт-Петербург, , наб. Макарова, 2
References
- Sorensen P.A., Kiil S., Dam-Johansen K. et al. // J. Coat. Technol. Res. 2009. V. 6. P. 135–176.
- Кочина Т.А., Кондратенко Ю.А., Шилова О.А. и др. // Физикохимия поверхности и защита материалов. 2022. Т. 58. № 1. С. 86–112.
- Turner G.P.A. Introduction to Paint Chemistry and Principles of Paint Technology. N.Y.: Chapman & Hall, 1988.
- Kalendova A. // Anti-corros. Meth. Mater. 1998. V. 45. P. 344–349.
- Gimeno M.J., Chamorro S., March R. et al. // Prog. Org. Coat. 2014. V. 77. P. 2024–2030.
- Ahmed N.M., Abdel-Fatah H.T.M. Chapter 15. Study on the Anticorrosive Behavior of New Hygiene Structured Pigment Based on Waste Core and Nano Shell in Alkyd Paints / In: Developments in Corrosion Protection // IntechOpen, London, United Kingdom, 2014.
- Johnson J.A., Heidenreich J.J., Mantz R.A. et al. // Prog. Org. Coat. 2003. V. 47. P. 432–442.
- Touazi Y., Abdi A., Leshaf A. et al. // Prog. Org. Coat. 2020. V. 139. Article № 105458.
- Михайлов М.М., Соколовский А.Н. // Изв. высш. уч. завед. Физика. 2007. Т. 50. № 7. С. 90–92.
- Gerasimova L.G., Maslova M.V., Shchukina E.S. // Materials. 2021. V. 14. Article № 3369.
- Кочина Т.А., Буслаев Г.С., Кондратенко Ю.А. // ФХС. 2020. Т. 46. № 1. С. 27–43.
- Солдатов М.А., Шереметьева Н.А., Калинина А.А. и др. // Изв. АН. Сер. Хим. 2014. № 1 С. 267–272.
- Givenchy E., Amigoni S., Martin C. et al. // Langmuir. 2009. V. 25. P. 6448–6453.
- Lin B., Zhou S. // Prog. Org. Coat. 2017. V. 106. P. 145–154.
- Bamane P.B., Jagtap R.N. //Colloid Interface Sci. Commun. 2021. V. 43. Article № 100444.
- Васнев В.А., Измайлов Б.А., Баранов О.В. и др. // Патент РФ 2531818. Заявл. 07.12.2011. Опубл. 27.10.2014 Бюл. № 30.
- Дирдорф А., Либе Х., Вакер А. и др. // Патент РФ 2006128576. Заявл. 16.12.2004. Опубл. 21.07.2005.
- Chojnowski J., Slomkowski S., Fortuniak W. et al. // J. Inorg. Organomet. Polym. 2020. V. 30. P. 56–68.
- Кондратенко Ю.А., Голубева Н.К., Иванова А.Г. и др. // ЖПХ. 2021. Т. 94. № 10–11. С. 1309–1319.
- Mattsson E. Basic Corrosion Technology for Scientists and Engineers. Ellis Horwood, 1989. 193 p.
- Маттссон Э. Электрохимическая коррозия / пер. со швед. под ред. Колотыркина Я.М. М.: Металлургия, 1991. 158 с.
- Семенова И.В., Флорианович Г.М., Хорошилов А.В. Коррозия и защита от коррозии / Под ред. Семеновой И.В. М.: Физматлит, 2002. 336 с.
- Tamura H. // Corrosion Science. 2008. V. 50. P. 1872–1883.
- Bahremand F., Shahrabi T., Ramezanzadeh B. // J. Hazard. Mater. 2021. V. 403. Article № 123722.
- Deyab M.A., El Bali B., Mohsen Q. et al. // Sci. Rep. 2021. V. 11. Article № 8182.
- Chhetri S., Samanta P., Murmu N. et al. // J. Compos. Sci. 2019. V. 3. Article № 11.
Supplementary files











