Антибактериальные и коррозионные свойства композиционных электрохимических покрытий на основе сплава олово–никель
- Авторы: Пянко А.В.1, Алисиенок О.А.1, Поспелов А.В.1, Чернявская Е.Ф.1, Черник А.А.1
-
Учреждения:
- Белорусский государственный технологический университет
- Выпуск: Том 59, № 2 (2023)
- Страницы: 221-228
- Раздел: ФИЗИКО-ХИМИЧЕСКИЕ ПРОБЛЕМЫ ЗАЩИТЫ МАТЕРИАЛОВ
- URL: https://journal-vniispk.ru/0044-1856/article/view/134351
- DOI: https://doi.org/10.31857/S0044185623700274
- EDN: https://elibrary.ru/SZQBWJ
- ID: 134351
Цитировать
Полный текст
Аннотация
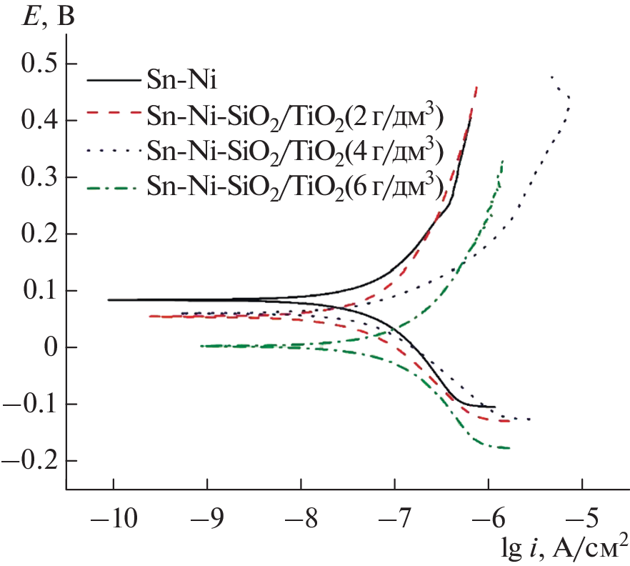
Получены композиционные электрохимические покрытия на основе сплава олово-никель с композитом типа “ядро SiO2–оболочка TiO2”. Изучены коррозионные свойства покрытий в 3% растворе хлорида натрия. Изучены антибактериальные свойства покрытий по отношению к штаммам Escherichia coli ATCC 8739 и Staphylococcus aureus ATCС 6538. Установлено, что для придания поверхности антибактериальных свойств минимальная концентрация композита в электролите должна составлять 4 г/дм3.
Об авторах
А. В. Пянко
Белорусский государственный технологический университет
Email: hanna.pianka@mail.ru
Беларусь, 220006, Минск, ул. Свердлова, 13а
О. А. Алисиенок
Белорусский государственный технологический университет
Email: hanna.pianka@mail.ru
Беларусь, 220006, Минск, ул. Свердлова, 13а
А. В. Поспелов
Белорусский государственный технологический университет
Email: hanna.pianka@mail.ru
Беларусь, 220006, Минск, ул. Свердлова, 13а
Е. Ф. Чернявская
Белорусский государственный технологический университет
Email: hanna.pianka@mail.ru
Беларусь, 220006, Минск, ул. Свердлова, 13а
А. А. Черник
Белорусский государственный технологический университет
Автор, ответственный за переписку.
Email: hanna.pianka@mail.ru
Беларусь, 220006, Минск, ул. Свердлова, 13а
Список литературы
- Fujishima A., Rao T.N., Tryk D.A. // J. Photochem. Photobiol., C. 2000. V. 1. № 1. P. 1.
- Moma J., Baloyi J. Photocatalysts – applications and attributes modified titanium dioxide for photocatalytic applications // London: IntechOpen, 2019. P. 156.
- Kharitonov D.S., Kasach A.A., Sergievich D.S. et al. // Ultrason. Sonochem. 2021. V. 75. P. 105593.
- Kasach A.A., Kharitonov D.S., Wrzesińska A. et al. // Prot. Met. Phys. Chem. Surf. 2020. V. 56. P. 385.
- Vlasa A., Varvara S., Pop A. et al. // J. Appl. Electrochem. 2010. V. 40. № 8. P. 1519.
- Camargoa M.K., Tudelab I., Schmidta U. et al. // Electrochim. Acta. 2016. V. 198. P. 287.
- Katamipour A., Farzam M., Danaee I. et al. // Surf. Coat. Technol. 2014. V. 254. P. 358.
- Mozhgan S., Mahdi M., Seyed M.E. // Colloids Surf. A. 2019. V. 573. P. 196.
- Abdel Hamid Z., Refai M., El-kilani R.M. et al. // J. Mater. Sci. 2021. V. 56. № 25. P. 14096.
- Thiemig D., Bund A. // Surf. Coat. Technol. 2008. V. 202. P. 2976.
- Huang S., Hu Y., Pan W. // Surf. Coat. Technol. 2011. V. 205. P. 3872.
- Rosolymou E., Spanou S., Zanella C. et al. // Coatings. 2020. V. 10. P. 775.
- Pyanko A.V., Sergievich D.S., Chernik A.A. et al. // Prot. Met. Phys. Chem. Surf. 2021. V. 57. № 1. P. 88.
- Kuznetsov B.V., Vorobyova T.N., Glibin V.P. // Met. Finish. 2013. V. 111. P. 38.
- Vorobyova T.N., Kudaka A.A. // Trans. Inst. Met. Finish. 2022. V. 100. № 1. P. 36.
- Шеханов Р.Ф. // Изв. вузов. Химия и хим. технология. 2017. Т. 60. № 10. С. 75.
- Subramanian B., Mohan S., Jayakrishnan S. // J. Appl. Electrochem. 2007. V. 37. P. 219.
- Jiménez H., Gil L., Staia M.H. et al. // Surf. Coat. Technol. 2008. V. 202. P. 2072.
- Murashkevich A.N., Lavitskaya A.S., Alisienok O.A. et al. // Inorg. Chem. 2009. V. 45. № 10. P. 1146.
- Пянко А.В., Алисиенок О.А., Кубрак П.Б. и др. // Электрохимия. 2022. Т. 58. № 5. С. 234.
Дополнительные файлы











