Повышение адсорбционной активности природного алюмосиликата модификацией соляной кислотой и кремнийорганическим тиосемикарбазидом
- Авторы: Филатова Е.Г.1, Чугунов А.Д.1, Пожидаев Ю.Н.1, Оборина Е.Н.2, Ушаков И.А.2, Адамович С.Н.2
-
Учреждения:
- Иркутский национальный исследовательский технический университет
- Иркутский институт химии им. А.Е. Фаворского СО РАН
- Выпуск: Том 59, № 1 (2023)
- Страницы: 10-16
- Раздел: ФИЗИКО-ХИМИЧЕСКИЕ ПРОЦЕССЫ НА МЕЖФАЗНЫХ ГРАНИЦАХ
- URL: https://journal-vniispk.ru/0044-1856/article/view/139694
- DOI: https://doi.org/10.31857/S0044185622700097
- EDN: https://elibrary.ru/CIXLKY
- ID: 139694
Цитировать
Полный текст
Аннотация
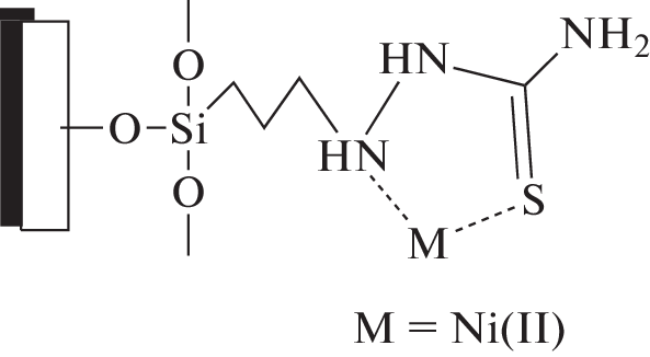
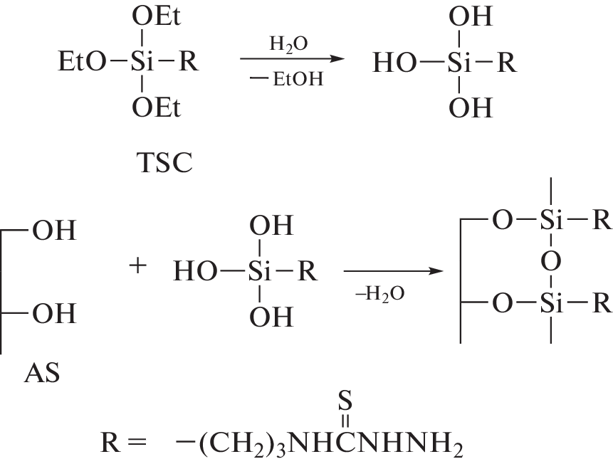
Исследована адсорбция ионов никеля(II) природным алюмосиликатом, модифицированным соляной кислотой с последующей иммобилизацией 1-(3-триэтоксисилилпропил)тиосемикарбазида (TSC). Серия адсорбентов AS-HCl-TSC получена обработкой AS–HCl растворами TSC с концентрацией 0.5, 1.0, 1.8, 3.5, 4.5, 5.8 мас. %. Адсорбционная способность полученных образцов исследована по отношении к ионам никеля(II). Наибольшая адсорбция ионов никеля(II) 165.7 мг/г соответствует образцу, обработанному раствором, содержащим 1% TSC. Последующее повышение концентрации модификатора приводит к снижению величины адсорбции. Можно предположить, что с увеличением концентрации модификатора, поверхность носителя покрывается более плотным слоем TSC. При этом внутренний объем носителя не участвует в обменных процессах, что в свою очередь способствует снижению величины адсорбции при увеличении концентрации модификатора. Адсорбционное равновесие, отвечающее постоянству составу концентраций ионов металлов в системе адсорбат-алюмосиликат AS–HCl–TSC, составило 90 мин. Для полученных адсорбентов AS–HCl–TSC исследована кинетика адсорбции ионов никеля(II). Получены кинетические уравнения псевдо-первого и псевдо-второго порядков. Значения коэффициентов детерминации (0.98–0.99) указывают на то, что адсорбция ионов никеля(II) адсорбентом AS–HCl–TSC может быть описана уравнением псевдо-второго порядка. При концентрации модификатора TSC 1% начальная скорость адсорбции ионов никеля(II) составила 0.121 ммоль/(г мин). При этом значение константы скорости адсорбции – 0.082 г/(ммоль мин). Для образцов АS, АS–HCl, АS–ТSC и AS–HCl–TSC адсорбционная емкость составила 5.9 мг/г (0.10 ммоль/г), 11.6 мг/г (0.20 ммоль/г) 16.6 мг/г (0.28 ммоль/г) и 165.7 мг/г (2.8 ммоль/г), соответственно.
Об авторах
Е. Г. Филатова
Иркутский национальный исследовательский технический университет
Email: efila@list.ru
Россия, 664074, Иркутск, ул. Лермонтова, 83
А. Д. Чугунов
Иркутский национальный исследовательский технический университет
Email: efila@list.ru
Россия, 664074, Иркутск, ул. Лермонтова, 83
Ю. Н. Пожидаев
Иркутский национальный исследовательский технический университет
Email: efila@list.ru
Россия, 664074, Иркутск, ул. Лермонтова, 83
Е. Н. Оборина
Иркутский институт химии им. А.Е. Фаворского СО РАН
Email: efila@list.ru
Россия, 664033, Иркутск, ул. Фаворского, 1
И. А. Ушаков
Иркутский институт химии им. А.Е. Фаворского СО РАН
Email: efila@list.ru
Россия, 664033, Иркутск, ул. Фаворского, 1
С. Н. Адамович
Иркутский институт химии им. А.Е. Фаворского СО РАН
Автор, ответственный за переписку.
Email: efila@list.ru
Россия, 664033, Иркутск, ул. Фаворского, 1
Список литературы
- Wang S., Peng Y. // Chemical Engineering Journal. 2010. V. 156. № 1. P. 11–24.
- Irannajad M., Kamran Haghighi H. // Environmental Processes. 2020. V. 8. № 1. P. 1–29.
- Malamis S., Katsou E. // J. hazardous materials. 2013. V. 252. P. 428–461.
- Bacakova L., Vandrovcova M., Kopova I., Jirka I. // Biomaterials Science. 2018. V. 6. P. 974–989.
- Jiang N., Shang R., Heijman S.G.J., Rietveld L.K. // Water Research. 2018. V. 144. P. 145–161.
- Ghasemi Z., Sourinejad I., Kazemian H., Rohani S. // Reviews in Aquaculture. 2018. V. 10. № 1. P. 75–95.
- Reeve P.J., Fallowfield H.J. // J. Environmental Management. 2018. V. 205. P. 253–261.
- Corda N., Srinivas Kini M. // Separation Science and Technology. 2020. V. 55. № 15. P. 2679–2698.
- Yuna Z. // Environmental Engineering Science. 2016. V. 33. № 7. P. 443–454.
- Prabhu P.P., Prabhu B.A. // International Conference on Research in Mechanical Engineering Sciences. 2018. V. 144. https://doi.org/10.1051/matecconf/201814402021
- Vengris T., Binkiene R., Sveikauskaite A. // Applied Clay Science. 2001. V. 18. № 3–4. P. 183–190.
- Wahono S.K., Stalin J., Addai-Mensah J., Skinner W., Vinu A., Vasilev K. // Microporous and Mesoporous Materials. 2020. V. 294. P. 109871.
- Binabaj M., Nowee S.M., Ramezanian N. // International J. Environmental Science and Technology. 2017. V. 15. № 7. P. 1509–1520.
- Wamba A.G.N., Kofa G.P., Koungou S.N., Thue P.S., Lima E.C., Dos Reis G.S., Kayem J.G. // J. Environmental Chemical Engineering. 2018. V. 6. № 2. P. 3192–3203.
- Филатова Е.Г., Помазкина О.И., Пожидаев Ю.Н. // Физикохимия поверхности и защита материалов. 2017. Т. 53. № 6. С. 596–601.
- Филатова Е.Г., Пожидаев Ю.Н., Помазкина О.И. // Физикохимия поверхности и защита материалов. 2016. Т. 52. № 3. С. 285–289.
- Adamovich S.N., Filatova E.G., Pozhidaev Yu.N., Ushakov I.A., AlChugunov A.D., Oborinaa E.N., Rozentsveig I.B., Verpoort F. // J. Taiwan Institute of Chemical Engineers. 2021. V. 129. P. 396–409.
- Филатова Е.Г., Пожидаев Ю.Н., Помазкина О.И. // Физикохимия поверхности и защита материалов. 2020. Т. 56. № 5. С. 479–484.
- Брек Д. Цеолитовые молекулярные сита. М.: Мир, 1976. 782 с.
- Власова Н.Н., Оборина Е.Н., Белоусова Л.И., Ларина Л.И. // Физикохимия поверхности и защита материалов. 2018. Т. 54. № 1. С. 78–84.
- Хальченко И.Г., Шапкин Н.П., Свистунова И.В., Токарь Э.А. // Бутлеровские сообщения. 2015. Т. 41. № 1. С. 74–82.
- Лурье Ю.Ю., Рыбникова А.И. Химический анализ производственных сточных вод. М.: Химия, 1974. 336 с.
- Марченко. З. Фотометрическое определение элементов. М.: Мир, 1971. 502 с.
- Филатова Е.Г., Помазкина О.И., Пожидаев Ю.Н. // Физикохимия поверхности и защита материалов. 2017. Т. 53. № 6. С. 596–601.
- Kantiranis N., Sikalidis K., Godelitsas A., Squires C., Papastergios G., Filippidis A. // J. Environ. Manag. 2011. V. 92. P. 1569–1576.
- Филатова Е.Г., Пожидаев Ю.Н., Помазкина О.И. // Физикохимия поверхности и защита материалов. 2016. Т. 52. № 3. С. 285–289.
- Помазкина О.И., Филатова Е.Г., Пожидаев Ю.Н. // Физикохимия поверхности и защита материалов. 2014. Т. 50. № 3. С. 262–267.
- Shirzadi H., Nezamzadeh-Ejhieh A. // J. Molecular Liquids. 2017. V. 230. P. 221–229.
- Anari-Anaraki M., Nezamzadeh-Ejhieh A. // J. Colloid and Interface Science. 2015. V. 440. P. 272–281.
Дополнительные файлы








