О формировании спектрально-селективных термооксидных покрытий на поверхности хромистой стали для использования в устройствах солнечной энергетики
- Авторы: Котенев В.А.1
-
Учреждения:
- Институт физической химии и электрохимии им. А.Н. Фрумкина РАН
- Выпуск: Том 59, № 4 (2023)
- Страницы: 387-396
- Раздел: НАНОРАЗМЕРНЫЕ И НАНОСТРУКТУРИРОВАННЫЕ МАТЕРИАЛЫ И ПОКРЫТИЯ
- URL: https://journal-vniispk.ru/0044-1856/article/view/139720
- DOI: https://doi.org/10.31857/S0044185623700468
- EDN: https://elibrary.ru/VZELVO
- ID: 139720
Цитировать
Полный текст
Аннотация
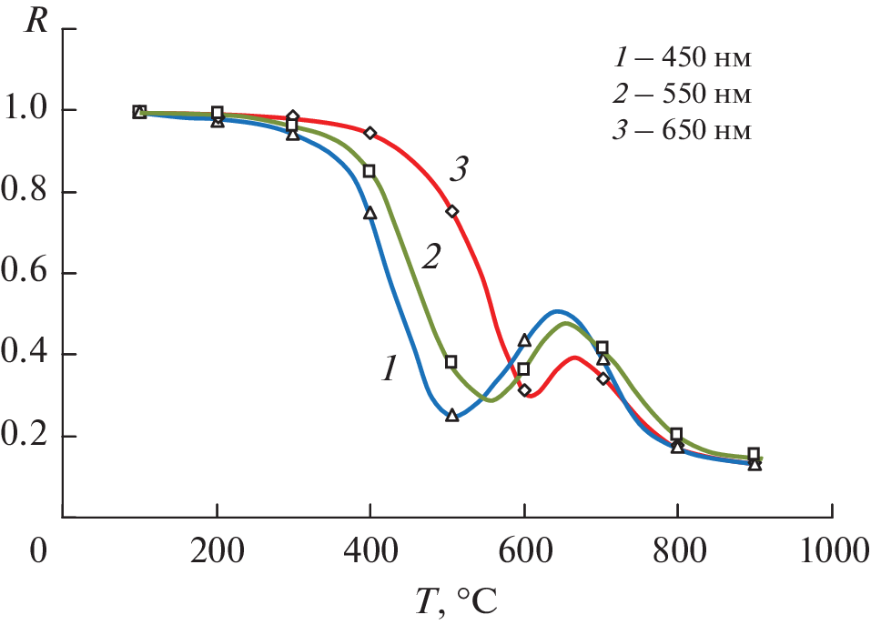
Исследован процесс формирования спектрально-селективных покрытий-абсорберов оптического излучения с высоким коэффициентом поглощением, полученных термическим оксидированием высокохромистой стали Х18Н10Т в течение 1 ч в воздушной атмосфере при температурах 100–900°С. Состав пленок и их толщина контролировали с помощью ИК-Фурье-спектроскопии диффузного отражения и спектральной рефлектометрии зеркального отражения. Показано, что толстые оксидные слои (1400 А) с высоким поглощением в широком диапазоне длин волн солнечного излучения, получаются путем термооксидирования пластин стали при 800–900°C. К сожалению, толстые покрытия, получаемые воздушным оксидированием стали при высоких температурах, спектрально слабо селективны, обладают невысокой механической прочностью, могут растрескиваться, осыпаться. Более тонкие оксидные слои (400–800 А) с невысоким содержанием окислов хрома, формируемые при оксидировании стали при 500–600°С, позволяют получить спектрально-селективное поглощение, достаточное для работы соответствующих преобразователей оптического излучения видимого диапазона. Такие слои более прочны, компактны, имеют высокое оптическое качество и многослойную и/или градиентную структуру, позволяют сформировать 1- и 2-слойные интерференционные покрытия необходимой толщины и состава, обладают высоким поглощением и выраженным фотоэлектрическим откликом в спектральных областях видимого солнечного излучения.
Об авторах
В. А. Котенев
Институт физической химии и электрохимии им. А.Н. Фрумкина РАН
Автор, ответственный за переписку.
Email: mmvp@bk.ru
Россия, 119071, Москва, Ленинский пр., 31/4
Список литературы
- Kalogirou S.A. // Progress in Energy and Combustion Science. 2004. V. 30. № 3. P. 231–295.
- Evangelisti Luca, De Lieto Vollaro Roberto, Asdrubali Francesco // Renewable and Sustainable Energy Reviews. 2019. V. 114. P. 109318.
- Ghobadi B., Kowsary F., Veysi F. // Prot. Met. Phys. Chem. Surf. 2022. V. 58. P. 486–500.
- Kennedy C.E. Review of mid-tohigh-temperature solar selective absorber materials. United States: National Renewable Energy Laboratory; 2002 NREL/TP-520-31267, July.
- Boriskina S.V., Ghasemi H., Chen G. // Materials Today. 2013. V. 16. № 10. P. 375–386.
- Iakobson O.D., Gribkova O.L., Tameev A.R. // Prot. Met. Phys. Chem. Surf. 2021. V. 57. P. 753–759.
- Demirbilek N., Yakuphanoğlu F., Kaya M. // Prot. Met. Phys. Chem. Surf. 2021. V. 57. P. 488–499.
- Medina-Almazán A.L., López-García N., Marín-Almazo M. et al. // Prot. Met. Phys. Chem. Surf. 2021. V. 57. P. 723–734.
- López-Marino S. et al. // Sol. Energy Mater. Sol. Cells. 2014. V. 130. P. 347–353.
- Zhorin V.A., Kiselev M.R., Vysotsky V.V. et al. // Prot. Met. Phys. Chem. Surf. 2021. V. 57. P. 52–58.
- Kumar D., Singh A., Shinde V. et al. // Prot. Met. Phys. Chem. Surf. 2022. V. 58. P. 999–1010.
- Zahra S.T., Syed W.A., Rafiq N. et al. // Prot. Met. Phys. Chem. Surf. 2021. V. 57. P. 321–328.
- Roos A., Ribbing C.G., Carlsson B. // Solar Energy Materials. 1989. V. 18. № 5. P. 233–240.
- Davison R.M., Ekerot S., Watanabe H. // J. Mol. Tech. 1978. V. 3. P. 2.
- Edwards D.K., Gier J.T., Nelson K.E., Roddick R.D. // Solar Energy. 1962. V. 6. P. I.
- Sharma V.C., Hutchins M.G. // Solar Energy. 1979. V. 23. P. 89.
- Valkonen E., Karlsson B. // Solar Energy Materials. 1982. V. 7. P. 43–50.
- Котенев В.А., Зимина Т.Ю. // Защита металлов. 2002. Т. 38(6). С. 640–644.
- Мровец С., Вербер Т. Современные жаростойкие материалы. Справочник. М.: Металлургия, 1986. 360 с.
- Yen S.K., Tsai Y.C. // J. Electrochem. Soc. 1996. V. 143. № 8. P. 2493.
- Kotenev V.A. // Prot. Met. Phys. Chem. Surf. 2021. V. 57. P. 1150–1158.
- Kotenev V.A. // Prot. Met. Phys. Chem. Surf. 2021. V. 57. P. 1097–1104.
- Tyurin D.N., Kotenev V.A. // Measurement Techniques. 2022. V. 65. P. 608–613.
- Беннет Х.Е., Беннет Дж.М. Прецизионные измерения в оптике тонких пленок – в сб.: Физика тонких пленок. Под ред. Хасса Г., Туна Р.Э. М.: Мир, 1970. Т. 4. С. 7.
- Прикладная инфракрасная спектроскопия – Под ред. Кендалла Д. М.: Мир, 1970. 376 с.
- Azzam R.M.A., Bashara N.M. Ellipsometry and Polarized Light. North-Holland. Amsterdam. 1977.
- Azzam R.M.A., Kemp R.H., Jr. // Surf. Sci. 1983. V. 135. № 1. P. 261–275.
- Kotenev V.A. // Ellipsometric tomography. Proc. SPIE. 1992. V. 1843. P .259.
- Abeles F. // Ann. de Physique. 1950. V. 5. P. 596, 706.
- Борн М., Вольф Э. Основы оптики. М.: Наука. 1973. С. 66. (M. Born, E. Wolf. Principles of optics. Oxford: Pergamon Press. 1968.)
- Котенев В.А. // Микроэлектроника. 2002. Т. 31(6). С. 466–478.
- Poling G.W. // J. Electrochem Soc. 1969. V. 116. № 7. P. 958.
- Юрченко Э.Н., Кустова Г.Н., Бацанов С.С. Колебательные спектры неорганических соединений. Изд-во Наука. Сиб. Отд., Новосибирск, 1981, 145 с.
- Ottesen D.R. // J. Electrochem. Soc. Solid State Science and Technology. 1985. V. 132. № 9. P. 2250.
- The Sadtler Standard Spectra. Sadtler Res. La, US A, 1969.
- Dvoraic V., Teitknecht W. // Helv. Chim. Acta. 1969. V. 52. № 2. P. 575.
- Mertens P.P. // National Association of Corrosion Engineers. 1978. V. 34. № 10. P. 359.
- Tanaka T. // Jap. J. Applied Physics. 1979. V. 18. № 6. P. 1043.
- Idczak E., Oleszkiewicz E. // Thin Solid Films. 1981. V. 77. № 4. P. 301.
- Винчелл А.Н., Винчелл Г.В. // Оптические свойства искуственных минералов. М.: Мир. 1967. С. 98
- Шумская Н.И. Определитель рудных минералов по спектральным кривым отражения. Л.: Недра. 1985.
- Окисление металлов. Под ред. Бенара Ж. М.: Металлургия. 1968. Т. 2. 448 с. (Oxydation des Metaux. Sous la direction de Benard J. Paris: Gauthier-Villars. 1962. V. 2).
- Whittle P.D., Wood G.C. // J. Electrochem. Soc. 1968. V. 115. № 2. P. 133–142.
- Wallworth G.R. // Rep. Prog. Phys. 1976. V. 39. P. 401–485.
Дополнительные файлы










