Влияние редокс электролита на электрохимические характеристики нанокомпозитного электрода пэдот-(1,2-нафтохинон-4-сульфонат натрия)/мунт
- Авторы: Шумакович Г.П.1, Васильева И.С.1, Емец В.В.2, Богдановская В.А.2, Кузов А.В.2, Андреев В.Н.2, Морозова О.В.1, Ярополов А.И.1
-
Учреждения:
- Институт биохимии им. А.Н. Баха, Федеральный исследовательский центр “Фундаментальные основы биотехнологии” Российской академии наук
- Институт физической химии и электрохимии им. А.Н. Фрумкина РАН
- Выпуск: Том 59, № 4 (2023)
- Страницы: 397-404
- Раздел: НАНОРАЗМЕРНЫЕ И НАНОСТРУКТУРИРОВАННЫЕ МАТЕРИАЛЫ И ПОКРЫТИЯ
- URL: https://journal-vniispk.ru/0044-1856/article/view/139722
- DOI: https://doi.org/10.31857/S0044185623700559
- EDN: https://elibrary.ru/YCXCAW
- ID: 139722
Цитировать
Полный текст
Аннотация
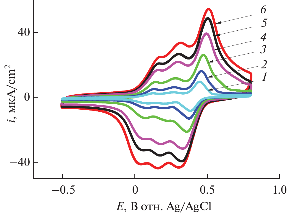
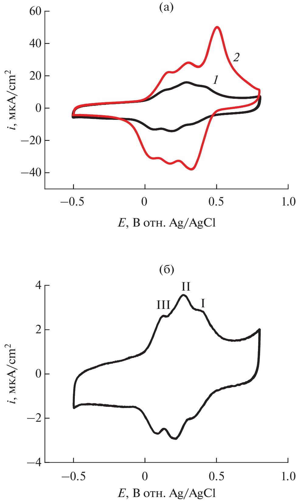
Методами циклической вольтамперометрии (ЦВА), гальваностатического заряд-разряда и спектроскопии электрохимического импеданса (СЭИ) изучено влияние редокс электролита на электрохимические характеристики композита на основе проводящего полимера поли (3,4-этилендиокситиофена) (ПЭДОТ) и многостенных углеродных нанотрубок (МУНТ). Для формирования на поверхности нанотрубок равномерного тонкого слоя ПЭДОТ использовали ферментативный способ полимеризации мономера. Электрохимически активное соединение 1,2-нафтохинон-4-сульфонат натрия (НХС) являлось допантом основной цепи ПЭДОТ и, одновременно, компонентом электролита. Добавление 12.5 мМ НХС в электролит увеличивало удельную емкость композитного электрода ПЭДОТ-НХС/МУНТ от 390 до 800 Ф/г при скорости развертки потенциала 10 мВ/с. В редокс электролите 1 М H2SO4 + 12.5 мМ НХС композитный электрод демонстрировал более высокую циклическую стабильность и более низкое сопротивление переноса заряда по сравнению с 1 М H2SO4. После 1000 циклов сканирования потенциала в области от –0.1 до 0.8 В при скорости 100 мВ/с удельная емкость композитного электрода, в растворе 1 М H2SO4 снизилась на 8%, а в растворе 1 М H2SO4 + 12.5 мМ НХС увеличилась приблизительно на 9%.
Об авторах
Г. П. Шумакович
Институт биохимии им. А.Н. Баха, Федеральный исследовательский центр“Фундаментальные основы биотехнологии” Российской академии наук
Email: victoremets@mail.ru
Россия, 119071, Москва, Ленинский просп., 33, стр. 2
И. С. Васильева
Институт биохимии им. А.Н. Баха, Федеральный исследовательский центр“Фундаментальные основы биотехнологии” Российской академии наук
Email: victoremets@mail.ru
Россия, 119071, Москва, Ленинский просп., 33, стр. 2
В. В. Емец
Институт физической химии и электрохимии им. А.Н. Фрумкина РАН
Email: victoremets@mail.ru
Россия, 119071, Москва, Ленинский просп., 31
В. А. Богдановская
Институт физической химии и электрохимии им. А.Н. Фрумкина РАН
Email: bogd@elchem.ac.ru
Россия, Москва
А. В. Кузов
Институт физической химии и электрохимии им. А.Н. Фрумкина РАН
Email: victoremets@mail.ru
Россия, 119071, Москва, Ленинский просп., 31
В. Н. Андреев
Институт физической химии и электрохимии им. А.Н. Фрумкина РАН
Email: elena_pisarevska@bk.ru
Россия, Москва
О. В. Морозова
Институт биохимии им. А.Н. Баха, Федеральный исследовательский центр“Фундаментальные основы биотехнологии” Российской академии наук
Email: victoremets@mail.ru
Россия, 119071, Москва, Ленинский просп., 33, стр. 2
А. И. Ярополов
Институт биохимии им. А.Н. Баха, Федеральный исследовательский центр“Фундаментальные основы биотехнологии” Российской академии наук
Автор, ответственный за переписку.
Email: victoremets@mail.ru
Россия, 119071, Москва, Ленинский просп., 33, стр. 2
Список литературы
- Sun K., Feng E., Peng H., Ma G. et al. // Electrochimica Acta. 2015. V. 158. № 10. P. 361–367.
- Veerasubramani G.K., Krishnamoorthy K., Pazhamalai P., Kim S.J. // Carbon. 2016. V. 105. P. 638–648.
- Meng W., Xia Y., Ma C., Du X. // Polymers. 2020. V. 12. № 10. P. 2303.
- Wang X., Chandrabose R.S., Chun S.-E., Zhang T. et al. // ACS Appl. Mater. Interfaces. 2015. V. 7. № 36. P. 19978–19985.
- Lota G., Fic K., Frackowiak E. // Electrochemistry Communications. 2011. V. 13. № 1. P. 38–41.
- Sun S., Rao D., Zhai T., Liu Q. et al. // Advanced Materials. 2020. V. 32. № 43. P. 2005344.
- Raja A., Selvakumar K., Swaminathan M., Kang M. // Synthetic Metals. 2021. V. 276. P. 116753.
- Senthilkumar S.T., Selvan R.K., Ponpandian N., Melo J.S. et al. // J. Mater. Chem. A. 2013. V. 27. P. 7913–7919.
- Kasturi P.R., Harivignesh R., Lee Y.S., Selvan R.K. // J. Physics and Chemistry of Solids. 2020. V. 143. P. 109447.
- Han W., Kong L.-B., Liu M.-C., Wang D. et al. // Electrochimica Acta. 2015. V. 186. P. 478–485.
- Chun S.-E., Evanko B., Wang X., Vonlanthen D. et al. // Nature Communications. 2015. V. 6. P. 7818.
- Chen W., Rakhi R.B., Alshareef H.N. // Nanoscale. 2013. V. 5. № 10. P. 4134–4138.
- Vonlanthen D., Lazarev P., See K.A., Wudl F. et al. // Advanced Materials. 2014. V. 26. № 30. P. 5095–5100.
- Wang T., Hu S., Wu D., Zhao W. et al. // J. Mater. Chem. A. 2021. V. 9. № 19. P. 11839–11852.
- Tian Y., Liu M., Che R., Xue R. et al. // Journal of Power Sources. 2016. V. 324. P. 334–341.
- Sakita A.M.P., Ortega P.F.R., Silva G.G., Noce R.D. et al. // Electrochimica Acta. 2021. V. 390. P. 138803.
- Wang Q., Nie Y.F., Chen X.Y., Xiao Z.H. et al. // J. Power Sources. 2016. V. 323. P. 8–16.
- Sheng L., Fang D., Wang X., Tang J. et al. // Chemical Engineering J. 2020. V. 401. P. 126123.
- Nasrin K., Gokulnath S., Karnan M., Subramani K. et al. // Energy Fuels. 2021. V. 35. № 8. P. 6465–6482.
- Li Y., Cao R., Song J., Liang L. et al. // Materials Research Bulletin. 2021. V. 139. P. 111249.
- Xie H., Zhu Y., Wu Y., Wu Z. et al. // Materials Research Bulletin. 2014. V. 50. P. 303–306.
- Otrokhov G.V., Shumakovich G.P., Khlupova M.E., Vasil’eva I.S. et al. // RSC Advanced. 2016. V. 6. P. 60372–60375.
- Kanth S., Narayanan P., Betty C.A., Rao R. et al. // J. Applied Polymer Science. 2021. V. 138. № 24. P. e50838.
- Skunik-Nuckowska M., Lubera J., Raczka P., Mroziewicz A.A., Dyjak S., Kulesza P.J. // ChemElectroChem. 2022. V. 9. No. 2. P. e202101222.
- Groenendaal L., Jonas F., Freitag D., Pielartzik H., Reynolds J.R. // Advanced Materials. 2000. V. 12. № 7. P. 481–494.
- Горшина Е.С., Русинова Т.В., Бирюков В.В., Морозова О.В. и др. // Прикл. биохимия и микробиология, 2006. Т. 42. № 6. С. 558–563.
- Shumakovich G.P., Kurova V., Vasil’eva I., Pankratov D. et al. // J. Molecular Catalysis B: Enzymatic. 2012. V. 77. P. 105–110.
- Vasil'eva I.S., Shumakovich G.P., Khlupova M.E., Vasiliev R.B. et al. // RSC Advances. 2020. V. 10. P. 33010–33017.
- Shumakovich G.P., Morozova O.V., Khlupova M.E., Vasil’eva I.S. et al. // RSC Advanced. 2017. V. 7. P. 34192–34196.
- Kvarnström C., Neugebauer H., Blomquist S., Ahonen H.J., Kankare J., Ivaska A. // Electrochimica Acta. 1999. V. 44. P. 2739–2750.
- Uzuncar S., Ozdogan N., Ak M. //Analytica Chimica Acta. 2021. V. 11728. P. 338664.
- Lota K., Khomenko V., Frackowiak E. // J. Phys. Chem. Solids. 2004. V. 65. P. 295–301.
Дополнительные файлы














