Влияние кадмиевого комплекса нитрило-трис-метиленфосфоновой кислоты на коррозионно-электрохимическое поведение низкоуглеродистой стали в нейтральных водных средах, содержащих хлорид-ионы
- Авторы: Казанцева И.С.1, Чаусов Ф.Ф.2, Ломова Н.В.2, Воробьев В.Л.1
-
Учреждения:
- Федеральное государственное бюджетное учреждение науки “Удмуртский федеральный исследовательский центр Уральского отделения Российской академии наук”
- Удмуртский федеральный исследовательский центр УрО РАН
- Выпуск: Том 59, № 3 (2023)
- Страницы: 330-340
- Раздел: ФИЗИКО-ХИМИЧЕСКИЕ ПРОБЛЕМЫ ЗАЩИТЫ МАТЕРИАЛОВ
- URL: https://journal-vniispk.ru/0044-1856/article/view/139725
- DOI: https://doi.org/10.31857/S0044185623700389
- EDN: https://elibrary.ru/SFQBTB
- ID: 139725
Цитировать
Полный текст
Аннотация
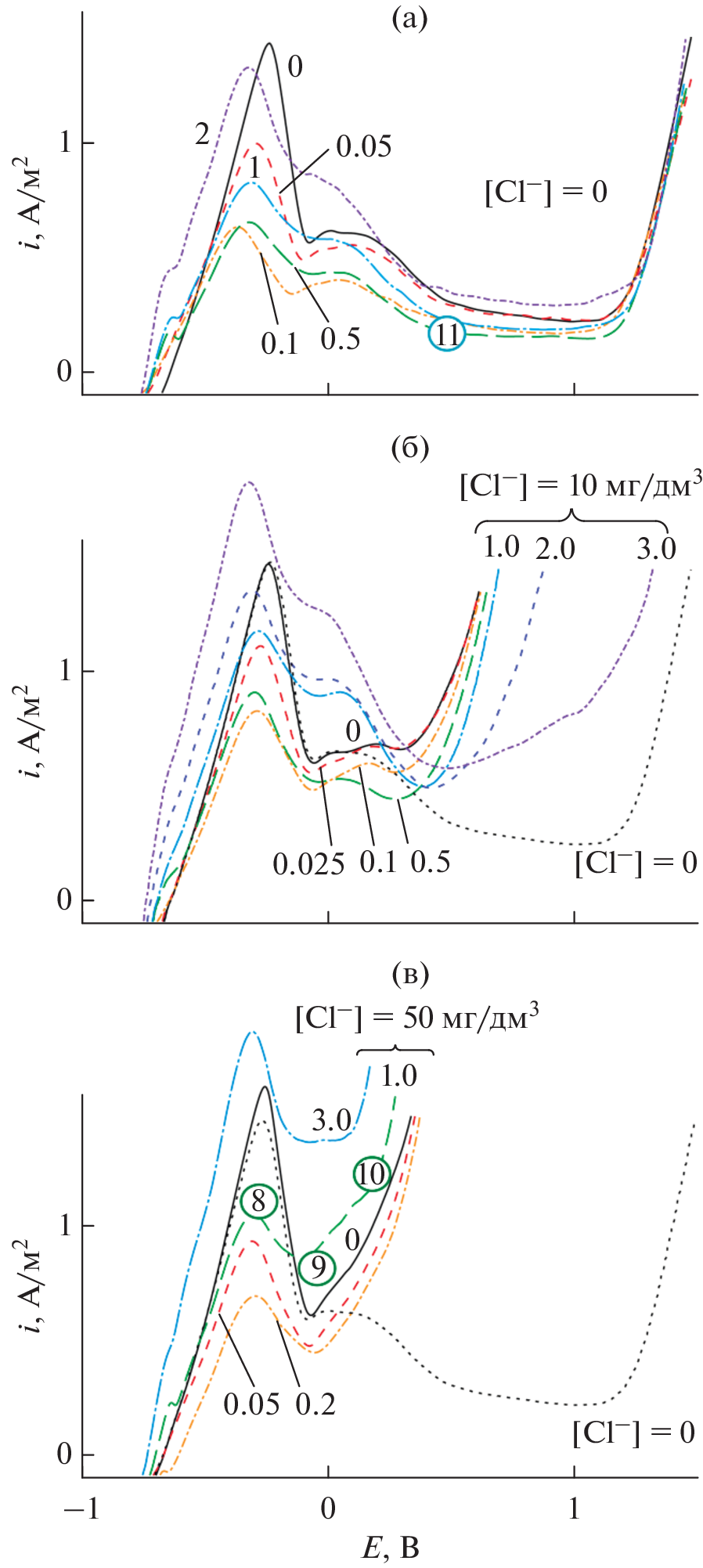
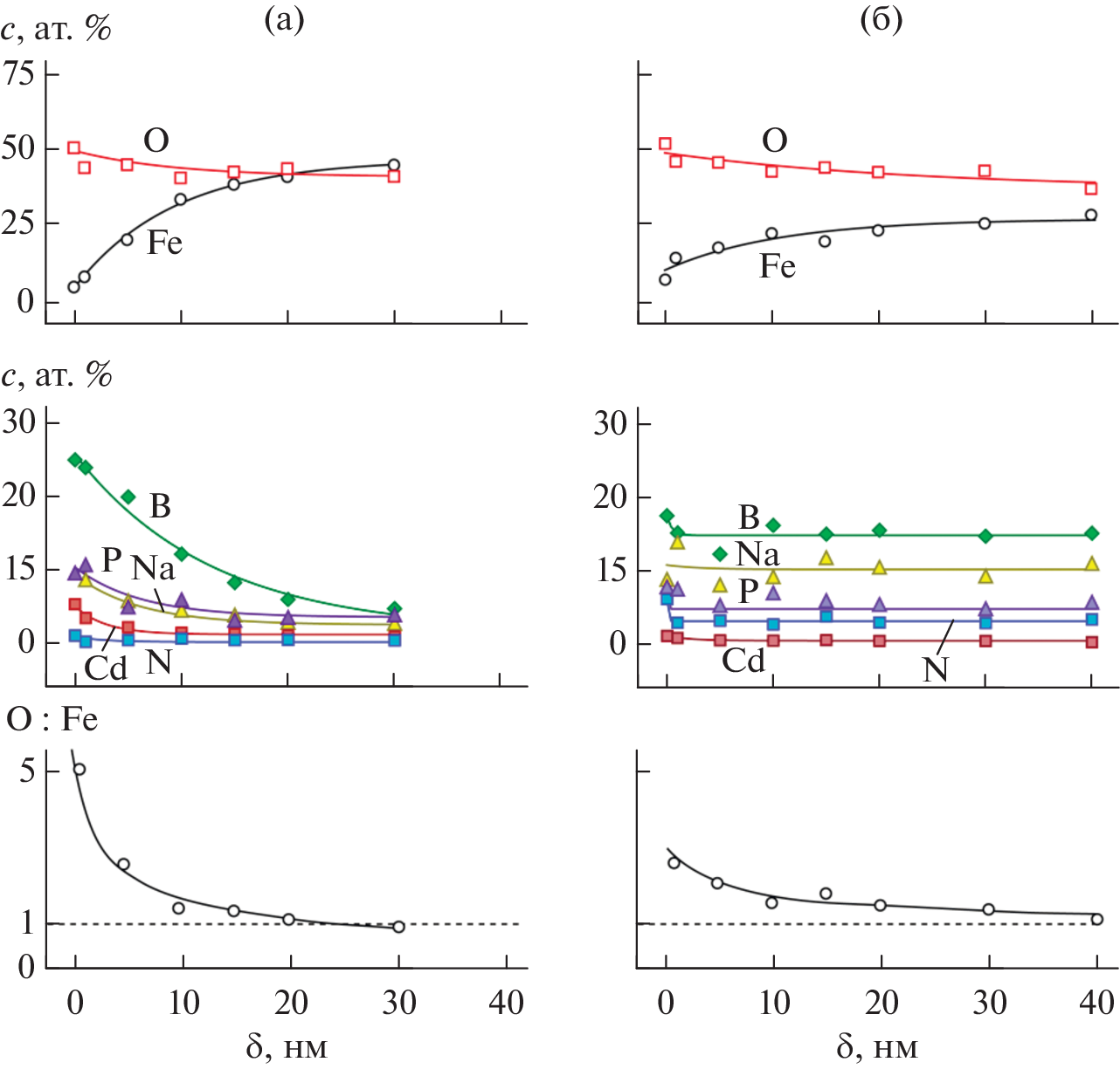
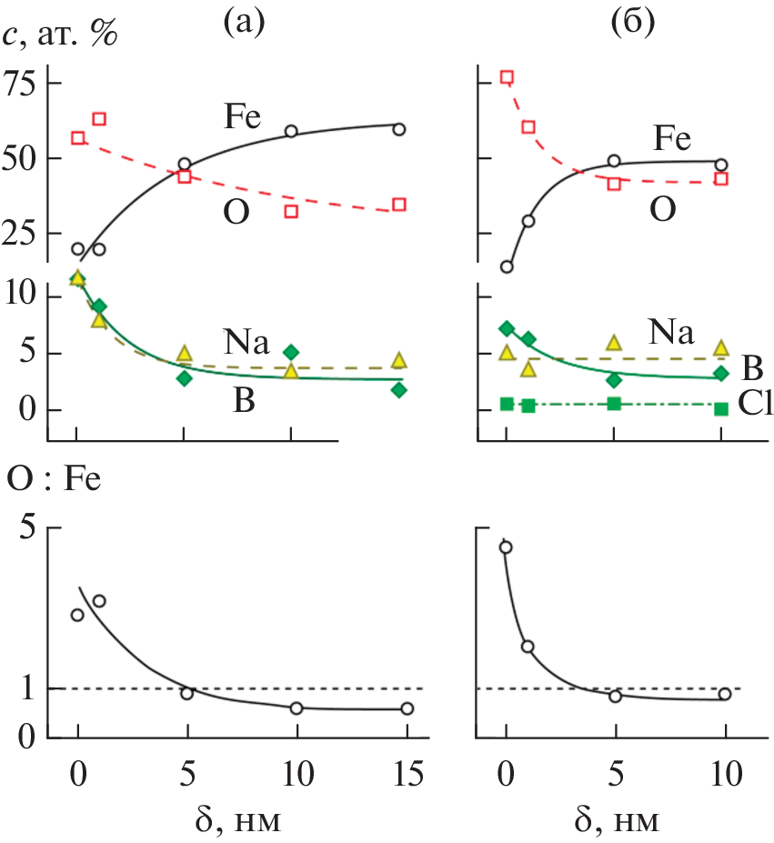
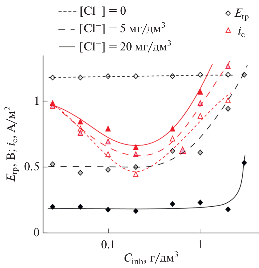
Потенциодинамическим методом исследовано влияние кадмиевого комплекса нитрило-трис-метиленфосфоновой кислоты Na4[Cd(H2O)N(CH2PO3)3]·7H2O на коррозионно-электрохимическое поведение низкоуглеродистой стали в нейтральных водных средах в присутствии ионов Cl–. Состав и структура пассивных пленок, сформированных при различных потенциалах и составе среды, изучены методом рентгеновской фотоэлектронной спектроскопии с послойным травлением. При содержании Cl–-ионов до 20 мг/дм3 Na4[Cd(H2O)N(CH2PO3)3]·7H2O в концентрации 0.025–1.00 г/дм3 действует как ингибитор коррозии – снижает плотность тока анодного растворения металла, а в концентрации свыше 1.00 г/дм3 – стимулирует коррозию. Минимальная скорость коррозии достигается при концентрации Na4[Cd(H2O)N(CH2PO3)3]·7H2O 0.15 г/дм3 вне зависимости от концентрации Cl–-ионов. При концентрациях Cl–-ионов 50 мг/дм3 и более Na4[Cd(H2O)N(CH2PO3)3]·7H2O неэффективен как ингибитор коррозии.
Об авторах
И. С. Казанцева
Федеральное государственное бюджетное учреждение науки“Удмуртский федеральный исследовательский центр Уральского отделения Российской академии наук”
Email: chaus@udman.ru
Россия, 426067, Ижевск, ул. Т. Барамзиной, 34
Ф. Ф. Чаусов
Удмуртский федеральный исследовательский центр УрО РАН
Email: chaus@udman.ru
Россия, Ижевск
Н. В. Ломова
Удмуртский федеральный исследовательский центр УрО РАН
Email: chaus@udman.ru
Россия, Ижевск
В. Л. Воробьев
Федеральное государственное бюджетное учреждение науки“Удмуртский федеральный исследовательский центр Уральского отделения Российской академии наук”
Автор, ответственный за переписку.
Email: chaus@udman.ru
Россия, 426067, Ижевск, ул. Т. Барамзиной, 34
Список литературы
- Kuznetsov Yu.I. Organic Inhibitors of Corrosion of Metals. NY: Springer. 1996. 284 p.
- Ralston P.H. // J. Pet. Chem. 1969. V. 21. P. 1029–1036.
- Дятлова Н.М., Темкина В.Я., Попов К.И. Комплексоны и комплексонаты металлов. М.: Химия. 1988. 544 с.
- Benner R.S., Green L.A. / Treating water to retard corrosion // US Patent 3901651.
- Carter D.A., Vogt F.G. / Silicate-based corrosion inhibitor // US Patent 3960576.
- Кузнецов Ю.И., Казанская Г.Ю., Цирульникова Н.В. // Защита металлов. 2003. Т. 39. № 2. С. 141–146.
- Chausov F.F., Kazantseva I.S., Reshetnikov S.M., Lomova N.V. et al. // Chemistry Select. 2020. V. 5. P. 13711–13719.
- Saha G., Kurmaih N. // Corros. Sci. 1986. V. 42. P. 233–235.
- Кузнецов Ю.И., Раскольников А.Ф. // Защита металлов. 1992. Т. 28. № 2. С. 249–256.
- Gonzalez Y., Lafont M.C., Pebere N., Moran F. // J. Appl. Electrochem. 1996. V. 26. P. 1259–1265.
- Yabuki A., Kunimoto H. // Zairyo to Kankyo. 2005. V. 54. P. 74–78.
- Papadaki M., Demadis K.D. // Comments Inorg. Chem. 2009. V. 30. P. 89–118.
- Labjar M., Lebrini N., Bentiss F., Chihib N.E. et al. // Mater. Chem. Phys. 2010. V. 119. P. 330–336.
- Umoren S.A., Solomon M.M., Environ J. // Chem. Eng. 2017. V. 5. P. 246–273.
- Kavipriya K., Rajendran S., Sathiyabama J., Suriya Prabha A. // Eur. Chem. Bull. 2012. V. 1. P. 366–374.
- Muthumani N., Rajendran S., Pandiarajan M., Lydia Christy J. et al. // Port. Electrochim. Acta. 2012. V. 30. P. 307–315.
- Daly J.J., Wheatley P.J. // J. Chem. Soc. A. 1967. P. 212–221.
- Popov K., Rönkkömäki H.H., Lajunen L.H.J. // Pure Appl. Chem. 2001. V. 73. №. 10. P. 1641–1677.
- Sawada K., Miyagawa T., Sakaguchi T., Doi K. // J. Chem. Soc., Dalton Trans. 1993. V. 24. P. 3777–3784.
- Sawada K., Araki T., Suzuki T. // Inorg. Chem. 1987. V. 26. №. 8. P. 1199–1208.
- Sawada K., Araki T., Suzuki T., Doi K. // Inorg. Chem. 1989. V. 28. P. 2687–2698.
- Sharma C.V.K., Clearfield A., Cabeza A., Aranda M.A.G. et al. // J. Am. Chem. Soc. 2001. V. 123. P. 2885–2886.
- Guan L., Wang Y. // J. Coord. Chem. 2017. V. 70. P. 253–254.
- Holmes W. // The Anatomical Record. 1943. V. 86. P. 157–187.
- Кузнецов Ю.И., Трунов Е.А. // Журн. прикладной химии. 1984. Т. 57. № 3. С. 498–504.
- Kazantseva I.S., Chausov F.F., Lomova N.V., Vorob’yov V.L. et al. // Mater. Today Communications. 2022. V. 32. Article number 104022.
- Чаусов Ф.Ф., Сомов Н.В., Закирова Р.М., Алалыкин А.А. и др. // Известия Российской академии наук. Серия физическая. 2017. Т. 81. № 3. С. 394–396.
- Dobysheva L.V., Chausov F.F., Lomova N.V. // Mater. Today Communications. 2021. V. 29. Article number 102892.
- Chausov F.F., Kazantseva I.S., Reshetnikov S.M., Lomova N.V., Maratkanova A.N., Somov N.V. CCDC 2036586: Experimental Crystal Structure Determination, 2020.
- Shirley D.A. // Phys. Rev. 1972. B. 5. P. 4709–4714.
- Wojdyr M. // J. Appl. Crystallogr. 2010. V. 43. P. 1126–1128.
Дополнительные файлы












