Низкотемпературное разделение N2 и He на мембране HKUST-1
- Авторы: Гренев И.В.1,2, Гаврилов В.Ю.2
-
Учреждения:
- Новосибирский государственный университет
- Институт катализа им. Г.К. Борескова СО РАН
- Выпуск: Том 59, № 5 (2023)
- Страницы: 485-490
- Раздел: ФИЗИКО-ХИМИЧЕСКИЕ ПРОЦЕССЫ НА МЕЖФАЗНЫХ ГРАНИЦАХ
- URL: https://journal-vniispk.ru/0044-1856/article/view/139762
- DOI: https://doi.org/10.31857/S0044185623700584
- EDN: https://elibrary.ru/PRNJJZ
- ID: 139762
Цитировать
Полный текст
Аннотация
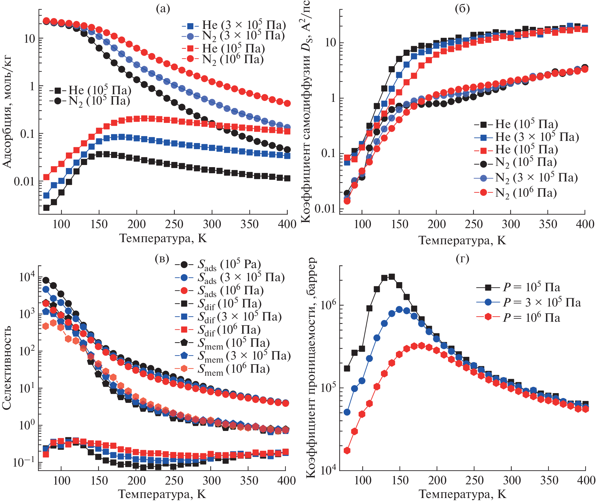
Технологии мембранного газоразделения могут быть интегрированы в существующие производственные процессы низкотемпературного извлечения гелия из природного газа на стадиях выделения сырца гелия из смеси N2/He и его глубокой очистки. Эффективность таких процессов во многом определяют свойства материалов, из которых сделана мембрана. Металл-органические координационные полимеры благодаря своим уникальным свойствам являются перспективными материалами для использования в газоразделении. В данной работе с помощью методов Монте-Карло и равновесной молекулярной динамики исследована температурная зависимость мембранной селективности и коэффициентов проницаемости по азоту для разделения эквимолярной смеси N2 и He через мембрану на основе HKUST-1 при перепадах давления в 0.1, 0.3 и 1 МПа. Показано, что подбор оптимальных температурных условий позволяет получить существенное увеличение мембранной селективности и коэффициентов проницаемости по азоту по сравнению с соответствующими параметрами при комнатной температуре.
Об авторах
И. В. Гренев
Новосибирский государственный университет; Институт катализа им. Г.К. Борескова СО РАН
Email: greneviv@catalysis.ru
Россия, 630090, Новосибирск, ул. Пирогова 1; Россия, 630090, Новосибирск, пр. Академика Лаврентьева, 5
В. Ю. Гаврилов
Институт катализа им. Г.К. Борескова СО РАН
Автор, ответственный за переписку.
Email: greneviv@catalysis.ru
Россия, 630090, Новосибирск, пр. Академика Лаврентьева, 5
Список литературы
- Rufford T.E. et al. // Adsorpt. Sci. Technol. 2014. V. 32. № 1. P. 49–72.
- Scholes C.A., Ghosh U. // J. Membr. Sci. 2016. V. 520. P. 221–230.
- Dai Z. et al. // Sep. Purif. Technol. 2021. V. 274. P. 119044.
- Scholes C.A. // Ind. Eng. Chem. Res. 2018. V. 57. № 10. P. 3792–3799.
- Alders M., Winterhalder D., Wessling M. // Sep. Purif. Technol. 2017. V. 189. P. 433–440.
- Moghadam P.Z. et al. // Chem. Mater. 2017. V. 29. № 7. P. 2618–2625.
- Chung Y.G. et al. // J. Chem. Eng. Data. 2019. V. 64. № 12. P. 5985–5998.
- Altintas C. et al. // ACS Appl. Mater. Interfaces. 2018. V. 10. № 20. P. 17257–17268.
- Altintas C. et al. // J. Mater. Chem. A. 2019. V. 7. № 16. P. 9593–9608.
- Solanki V.A., Borah B. // J. Phys. Chem. C. 2020. V. 124. № 8. P. 4582–4594.
- Zarabadi-Poor P., Marek R. // J. Phys. Chem. C. 2019. V. 123. № 6. P. 3469–3475.
- Daglar H., Keskin S. // Adv. Theory Simul. 2019. V. 2. № 11. P. 1900109.
- Budhathoki S. et al. // Energy Environ. Sci. 2019. V. 12. № 4. P. 1255–1264.
- Grenev I.V., Gavrilov V.Yu. // Molecules. 2022. V. 28. № 1. P. 20.
- Ye P. et al. // AIChE J. 2016. V. 62. № 8. P. 2833–2842.
- Yu L. et al. // J. Membr. Sci. 2022. V. 644. P. 120113.
- Chui S.S. // Science. 1999. V. 283. № 5405. P. 1148–1150.
- Cao F. et al. // Ind. Eng. Chem. Res. 2012. V. 51. № 34. P. 11274–11278.
- Lu C. et al. // Materials. 2018. V. 11. № 7. P. 1207.
- Guo Y. et al. // Chemistry Select. 2016. V. 1. № 1. P. 108–113.
- Mayo S.L., Olafson B.D., Goddard W.A. // J. Phys. Chem. 1990. V. 94. № 26. P. 8897–8909.
- Rappe A.K. et al. // J. Am. Chem. Soc. 1992. V. 114. № 25. P. 10024–10035.
- Potoff J.J., Siepmann J.I. // AIChE J. 2001. V. 47. № 7. P. 1676–1682.
- Hirschfelder J.O., Curtiss C.F., Bird R.B. Molecular theory of gases and liquids. New York: Wiley, 1954. 1219 p.
- Nazarian D., Camp J.S., Sholl D.S. // Chem. Mater. 2016. V. 28. № 3. P. 785–793.
- Nazarian D. et al. // Chem. Mater. 2017. V. 29. № 6. P. 2521–2528.
- Dubbeldam D. et al. // Mol. Simul. 2016. V. 42. № 2. P. 81–101.
- Krishna R., van Baten J.M. // J. Membr. Sci. 2010. V. 360. № 1–2. P. 323–333.
- Sava Gallis D.F. et al. // Chem. Mater. 2015. V. 27. № 6. P. 2018–2025.
- Chowdhury P. et al. // Microporous Mesoporous Mater. 2009. V. 117. № 1–2. P. 406–413.
- Span R. et al. // J. Phys. Chem. Ref. Data. 2000. V. 29. № 6. P. 1361–1433.
- Vaezi M.J. et al. // Current Trends and Future Developments on (Bio-) Membranes. Elsevier, 2019. P. 185–203.
- Handbook of Membrane Separations: Chemical, Pharmaceutical, Food, and Biotechnological Applications. 0 ed. / ed. Pabby A.K., Rizvi S.S.H., Requena A.M.S. CRC Press, 2008.
- Zito P.F. et al. // J. Membr. Sci. 2018. V. 564. P. 166–173.
Дополнительные файлы




