Роль первичных актов восстановления ионов, кислородных эффектов при использовании разных методов формирования наночастиц золота, включая – “самоорганизацию”
- Авторы: Чернышова К.Ф.1, Ревина А.А.1
-
Учреждения:
- Федеральное государственное бюджетное учреждение науки, Институт физической химии и электрохимии им. А.Н. Фрумкина РАН
- Выпуск: Том 59, № 5 (2023)
- Страницы: 539-545
- Раздел: НАНОРАЗМЕРНЫЕ И НАНОСТРУКТУРИРОВАННЫЕ МАТЕРИАЛЫ И ПОКРЫТИЯ
- URL: https://journal-vniispk.ru/0044-1856/article/view/139769
- DOI: https://doi.org/10.31857/S0044185623700675
- EDN: https://elibrary.ru/PPWZQP
- ID: 139769
Цитировать
Полный текст
Аннотация
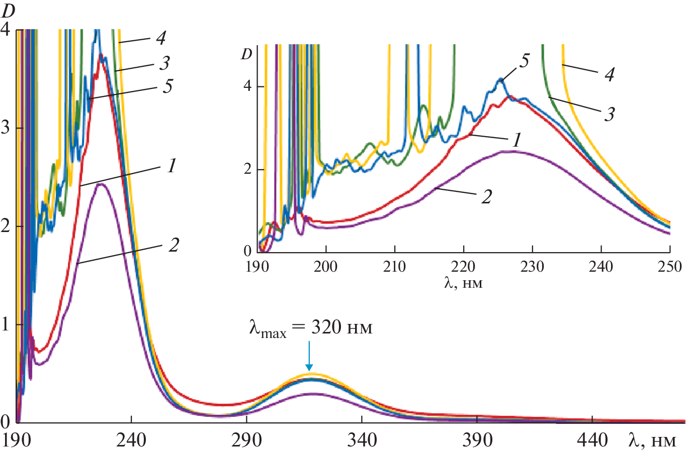
В работе представлены результаты исследования физико-химических свойств наночастиц (НЧ) золота, полученных в обратно мицеллярных растворах (ОМР) при использовании различных методов восстановления ионов, включая процессы самоорганизации (“self-assembly”, SA). Методом UV-VIS спектрофотометрии были зарегистрированы спектры электронного плазмонного резонанса НЧ Au в видимой (λmax ~ 530 нм) и в УФ-области спектра (λmax ~ 200–220 нм). В настоящей работе проведено изучение кинетики первичных стадий формирования НЧ Au в ОМР при использовании разных методов синтеза, включая SA. На основе полученных результатов дано объяснение влияния кислорода (аэробных условий) на первичные стадии формирования НЧ Au при использовании химического (Chem) синтеза – в присутствии флавоноида кверцетина, радиационно-химического (RadChem) на основе взаимодействия с промежуточными частицами радиолиза воды. Формирование НЧ Au, имеющие полосы оптического поглощения в УФ-области и видимой области спектра, подтверждены результатами электронной микроскопии.
Об авторах
К. Ф. Чернышова
Федеральное государственное бюджетное учреждение науки,Институт физической химии и электрохимии им. А.Н. Фрумкина РАН
Email: karish@list.ru
Россия, Москва
А. А. Ревина
Федеральное государственное бюджетное учреждение науки,Институт физической химии и электрохимии им. А.Н. Фрумкина РАН
Автор, ответственный за переписку.
Email: Alex_revina@mail.ru
Россия, Москва
Список литературы
- Комаров П.В., Жеренкова Л.В., Халатур П.Г., Хохлов А.Р. // Российские нанотехнологии 2007. Т. 2. № 7–8. С. 92–98.
- Одинцов А.А., Сергеев М.О., Ревина А.А., Боева О.А. Адсорбционные свойства и каталитическая активность наночастиц золота, полученных в обратных мицеллах // Успехи в химии и химической технологии: Изд-во (М.) 2013. Т. 27. № 6. С. 75–79.
- Антонов А.Ю., Боева О.А., Ревина А.А., Нуртдинолва К.Ф. и др. // Перспективные материалы. Специальный выпуск. 2011. № 10. С. 268.
- Чернышова К.Ф., Ревина А.А. Селективность, динамика адсорбции наночастиц золота и серебра // Всероссийский симпозиум с международным участием “Актуальные физико-химические проблемы адсорбции и синтеза нанопористых материалов”, Сборник трудов. 2022. С. 102–104.
- Патрушева Т.Н., Шелованова Г.Н., Снежко Н.Ю., Полюшкевич А.В., Холькин А.И. // Альтернативная энергетика и экология. 2011. № 3. С. 35–40.
- Ревина А.А., Патент РФ № 2322327. Препарат наноструктурных частиц металлов и способ его получения. Бюл. № 11. 20.04.2008. (RadChem). Приоритет 19.01.2006 г.
- Ревина А.А., Патент РФ № 2312741. Препарат наноразмерных частиц металлов и способ его получения. (Chem). Приоритет 07.04.2006 г. Бюл. № 35. 20.12.2007.
- Revina A.A. // Physics of Wave Phenomena. 2020. T. 28. № 2. C. 176–181.
- Pileni M. // J. Phys. Chem. 1993. V. 97. P. 6961.
- Ranabhat K., Chernyshova K.F., Revina A.A., Lapshinsky V., Patrikeev L.N. // Nanomaterials. 2020. T. 10. C. 1–8.
- Алехова Т.А., Новожилова Т.Ю., Загустина Н.А., Ревина А.А., Бусев С.А. Разработка средств купирования микробиологического поражения конструкционных материалов в космических аппаратах в рамках космического эксперимента “Биополимер”. Тезисы, Пущино, 2018.
- Никоненко Б.В., Майоров К.Б., Ревина А.А., Захаров А.В., Эргешов А.Э. // Вестник ЦНИИТ. 2019. № 4. С. 46–80.
- Танасюк Д.А., Ревина А.А., Ермаков В.И. Влияние гамма-облучения и присутствия кислорода воздуха на состояние пула обратной мицеллы // Успехи в химии и хим. технологии: Сб. науч. тр. РХТУ им. Д.И. Менделеева. 2014. Т. XXVIII. Вып. 6. С. 107–110.
- Чернышова К.Ф., Ревина А.А. // Химическая физика. 2019. Т. 38. № 5. С. 1–6.
- Revina A.A., Chernyshova K.F., Tabachkova N.Yu, Parkhomenko Yu.N. // Russian Chemical Bulletin. 2019. T. 68. № 6. C. 1164–1170. https://doi.org/10.1007/s11172-019-2534-z
- Чернышова К.Ф., Ревина А.А. // Наукоемкие технологии. 2017. Т. 18. № 1. С. 45–50.
- Fu-Ken Liu, Yu-Cheng Chang, Fu-Hsiang Ko, Tieh-Chi Chu, Bau-Tong Dai // Microelectronic Engineering. 2003. V. 67–68. P. 702–709.
- Kimling J., Maier M., Okenve B., Kotaidis V., Ballot H., Plech A. // J. Phys. Chem. B. 2006. V. 110. P. 15700–15707.
- Jun Liu, Changhao Liang, Shuyuan Zhang and Guosheng Shao // Scientific Reports. 2013. V. 3. P. 1741. https://doi.org/10.1038/srep01741
- Ермаков В.И., Ревина А.А. Обратномицеллярные системы: Электромагнитные свойства и структура / Монография, Нижний Новгород: НИУ РАН ХиГС. 2017. С. 200 ISBN 978-5-00036-165-8
- Ревина А.А., Суворова О.В., Павлов Ю.С., Тытик Д.Л. // Физикохимия поверхности и защита материалов. 2019. Т. 55. № 4. С. 1–7.
- Ревина А.А., Суворова О.В., Смирнов Ю.В., Павлов Ю.С. // Физикохимия поверхности и защита материалов. 2022. Т. 58. № 3. С. 306–322.
Дополнительные файлы









