Catalysts for Oxygen Reduction on a Vulcan XC-72 Carbon Substrate Modified with Transition Metals
- Authors: Vinogradov K.Y.1, Shafigulin R.V.1, Vostrikov S.V.2, Martynenko E.A.2, Podlipnov V.V.1, Bulanova A.V.1
- 
							Affiliations: 
							- Samara National Research University
- Samara State Technical University
 
- Issue: Vol 59, No 6 (2023)
- Pages: 577-585
- Section: ФИЗИКО-ХИМИЧЕСКИЕ ПРОЦЕССЫ НА МЕЖФАЗНЫХ ГРАНИЦАХ
- URL: https://journal-vniispk.ru/0044-1856/article/view/233772
- DOI: https://doi.org/10.31857/S0044185623700729
- EDN: https://elibrary.ru/ABIIVP
- ID: 233772
Cite item
Full Text
Abstract
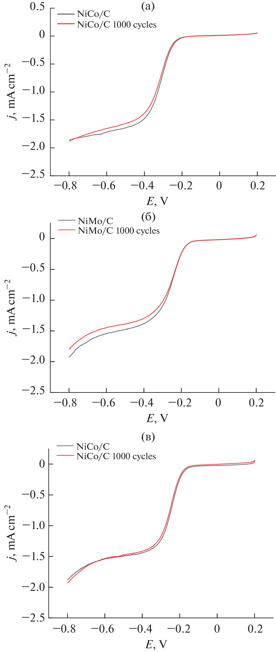
This paper presents the results of a study of the catalytic activity of bimetallic materials synthesized based on Vulcan XC-72 carbon black modified with nickel, cobalt, and molybdenum in the electrochemical oxygen reduction reaction. The studies of the synthesized catalysts by adsorption–desorption of nitrogen in vacuum show that they are mesoporous and possess low porosity and surface area. After modification with metals, the surface area of the catalyst and pore volume decrease. The Raman spectra of the samples evidence probable formation of intermetallics or mixed molybdenum oxides on the surface of the MoCo/C and NiMo/C catalysts, which is in agreement with the published data. Scanning electron microscopy shows the formation of spherical metal parties on amorphous Vulcan XC-72. All the studied bimetallic catalysts possess similar kinetic characteristics of the electrochemical oxygen reduction reaction; nevertheless, NiMo/C and NiNi/C catalysts manifest a higher activity. The verification of the robustness of operation of the synthesized catalysts shows their high corrosion resistance.
About the authors
K. Yu. Vinogradov
Samara National Research University
														Email: winyur@yandex.ru
				                					                																			                												                								443100, Samara, Russia						
R. V. Shafigulin
Samara National Research University
														Email: winyur@yandex.ru
				                					                																			                												                								443086, Samara, Russia						
S. V. Vostrikov
Samara State Technical University
														Email: winyur@yandex.ru
				                					                																			                												                								443100, Samara, Russia						
E. A. Martynenko
Samara State Technical University
														Email: winyur@yandex.ru
				                					                																			                												                								443100, Samara, Russia						
V. V. Podlipnov
Samara National Research University
														Email: winyur@yandex.ru
				                					                																			                												                								443086, Samara, Russia						
A. V. Bulanova
Samara National Research University
							Author for correspondence.
							Email: winyur@yandex.ru
				                					                																			                												                								443086, Samara, Russia						
References
- Borup R.L. et al. // Current Opinion in Electrochemistry. 2020. V. 21. P. 192–200.
- Ott S. et al. // J. Electrochemical Society. 2022. V. 169. № 5. P. 054520.
- Wang L. et al. // J. Energy Chemistry. 2019. V. 39. P. 77–87.
- Muhyuddin M. et al. // J. Power Sources. 2023. V. 556. P. 232416.
- Liu M. et al. // Advanced Materials. 2019. V. 31. № 6. P. 1802234.
- Wu D. et al. // ChemNanoMat. 2020. V. 6. № 1. P. 32–41.
- Wu J., Yang H. // Accounts of chemical research. 2013. V. 46. № 8. P. 1848–1857.
- Shafigulin R.V. et al. // Reaction Kinetics, Mechanisms and Catalysis. 2021. V. 133. № 1. P. 455–465.
- Chen K. et al. // J. Colloid and Interface Science. 2021. V. 582. P. 977–990.
- Yoo D.J. et al. // New J. Chemistry. 2018. V. 42. № 17. P. 14386–14393.
- Samad S. et al. // International J. Hydrogen Energy. 2018. V. 43. № 16. P. 7823–7854.
- Wang C., Astruc D. // Progress in Materials Science. 2018. V. 94. P. 306–383.
- Sing K.S.W. // Pure and Applied Chemistry. 1985. V. 57. № 4. P. 603–619.
- Xiao T.C. et al. // J. Catalysis. 2001. V. 202. № 1. P. 100–109.
- Dufresne P. et al. // J. Physical Chemistry. 1981. V. 85. № 16. P. 2344–2351.
- Wu J. et al. // J. Power Sources. 2013. V. 227. P. 185–190.
- Martynenko E.A. et al. // J. Applied Electrochemistry. 2023. V. 53. № 4. P. 645–659.
- Bulanova A.V. et al. // Catalysts. 2022. V. 12. № 9. P. 1013.
Supplementary files
 
				
			 
					 
						 
						 
						 
						 
				
 
  
  
  Email this article
			Email this article 









