Electrochemical Behavior of Steel Coated with Organosilicon Self-Organizing Layers
- Authors: Petrunin M.A.1, Maksaeva L.B.1, Yurasova T.A.1, Rybkina A.A.1, Kotenev V.A.1, Tsivadze A.Y.1
-
Affiliations:
- Frumkin Institute of Physical Chemistry and Electrochemistry, Russian Academy of Sciences
- Issue: Vol 59, No 6 (2023)
- Pages: 670-680
- Section: НАНОРАЗМЕРНЫЕ И НАНОСТРУКТУРИРОВАННЫЕ МАТЕРИАЛЫ И ПОКРЫТИЯ
- URL: https://journal-vniispk.ru/0044-1856/article/view/233794
- DOI: https://doi.org/10.31857/S0044185623700833
- EDN: https://elibrary.ru/GHJRMV
- ID: 233794
Cite item
Full Text
Abstract
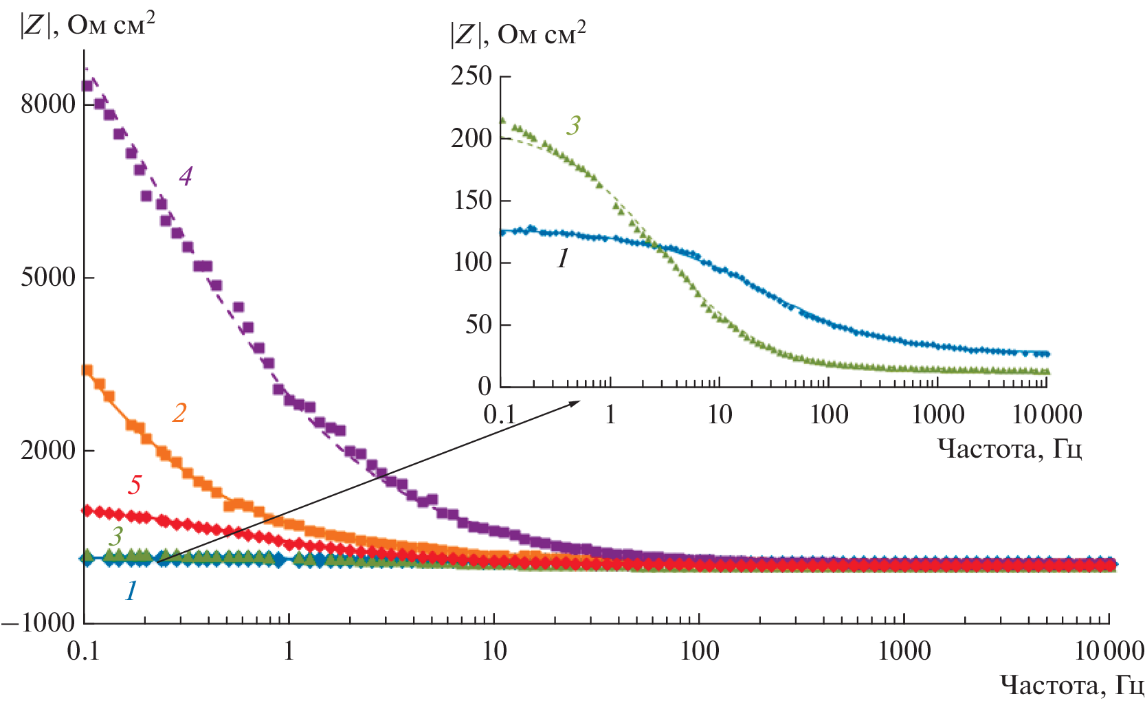
Methods have been developed for preliminary modification of the surface of structural metals with compositions based on organosilanes, including both solutions of individual organosilanes and two-component mixtures consisting of two organosilanes or an organosilane with an organic corrosion inhibitor. As a result of this modification, self-organized siloxane polymer/oligomer nanosized layers are formed on the metal surface. Such layers are capable of changing the physical and chemical properties of the metal surface, in particular its electrochemical behavior. In this work, the influence of organosilicon surface layers on the electrochemical behavior of carbon steel, especially on the anodic local dissolution of the metal, is studied in detail. Inhibition of metal dissolution by surface layers has been shown. It has been established that the greatest inhibitory effect is exhibited by two-component modifying compositions, namely, mixtures of vinylsilane with aminosilane and vinylsilane with benzotriazole. The mechanism of corrosion inhibition by surface nanolayers formed during surface modification with two-component mixtures is considered.
About the authors
M. A. Petrunin
Frumkin Institute of Physical Chemistry and Electrochemistry, Russian Academy of Sciences
Email: mmvp@bk.ru
119071, Moscow, Russia
L. B. Maksaeva
Frumkin Institute of Physical Chemistry and Electrochemistry, Russian Academy of Sciences
Email: mmvp@bk.ru
119071, Moscow, Russia
T. A. Yurasova
Frumkin Institute of Physical Chemistry and Electrochemistry, Russian Academy of Sciences
Email: mmvp@bk.ru
119071, Moscow, Russia
A. A. Rybkina
Frumkin Institute of Physical Chemistry and Electrochemistry, Russian Academy of Sciences
Email: mmvp@bk.ru
119071, Moscow, Russia
V. A. Kotenev
Frumkin Institute of Physical Chemistry and Electrochemistry, Russian Academy of Sciences
Email: mmvp@bk.ru
119071, Moscow, Russia
A. Yu. Tsivadze
Frumkin Institute of Physical Chemistry and Electrochemistry, Russian Academy of Sciences
Author for correspondence.
Email: mmvp@bk.ru
119071, Moscow, Russia
References
- McCaffertv E. // Introduction to Corrosion Science; 2010. Springer Science + Business Media: New York, NY, USA, 565 p.
- Sastri V.S. // Challenges in corrosion. Costs, Causes, Consequences, and Control. 2015. John Wiley & Sons Ltd.: Hoboken, New Jersey, USA. 408 p.
- The Cost of Corrosion in China. 2018. Science Press-Springer: Beijing, China. 941 p.
- Trends in Oil and Gas Corrosion Research and Technologies. El-Sherik, A.M. (Ed.). 2017. Woodhead Publishing: Cambridge, UK. 890 p.
- Vogelsang J.A. // Anticorrosive pigments in organic coatings. In Self-Healing Properties of New Surface Treatments; Fedrizzi L., Furbeth W., Montemor F., (Eds.) 2011. Maney Publishing: Leeds, UK. P. 1–11.
- Ossai C.I. // Corrosion. 2012. V. 2012. Article ID 570143.
- Колотыркин Я.М. // Металл и коррозия. М.: Металлургия. 1985. С. 10.
- White Paper Strategy for a Future Chemical Policy of the Commission of the European Communities. Brussels, 2001.
- Leuenberger-Minger A.U., Faller M. Richner P. // Materials and Corrosion. 2002. V. 53. № 3. P. 157.
- Leygraf C., Wallinder I.O., Tidblad J., Graedel T. // Atmospheric Corrosion. 2nd Edition. John Wiley & Sons, Inc., New Haven, USA, 2016. 470 p.
- Knudsen O.O., Forsgren A. // Corrosion Control Through Organic Coatings. 2-nd Edition. 2017. CRC Press- Taylor & Francis Group. Boca-Raton-London- NY. 256 p.
- Organic Coatings for Corrosion Control. Bierwagen G.P., Ed. 1998. American Chemical Society, Washington, DC, USA. P. 2.
- Franquet A., Van Schaftinghen T., De Graeve I., Laha P., Le Pen C., Terryn H., Vereecken J. // Overview of formation of Cr’ -free films on Al/Zn/Fe substrates: Case study silane formation. In Materials of 16th International Corrosion Congress. September 19–24. 2005 Beijing Internationl Convention Center, Beijing China . 2005. Int Corr. Council. Beijing, China. P. 2356–2359.
- Twite R.L., Bierwagen G.P. // Progress in Organic Coatings.1998. V. 33. P. 91–100.
- Dodds P.C., Williams G., Radcliffe J. // Progress in Organic Coatings. 2017. V. 102. Part A. P. 107–114.
- Wang W.J., Liu J., Liu X.F., Li Q.W. // Progress in Organic Coatings. 2022. V. 163. № 5. P. 106663. https://doi.org/10.1016/j.porgcoat.2021.106663
- Pocius A.V. // Adhesion and Adhesives Technology. An Introduction. 3-th Edition. 2012. Hanser Publications (Publishesr)-Carl Hanser Verlag, Munich Cincinnati. P. 198.
- Adhesion Aspects of Polymeric Coating. 2-nd Edition. Mittal K.L. Ed. 2011. Springer Boston, MA. USA. 657 p.
- Ogarev V.A., Selector S.L. // Progress in Organic Coatings.1992. V. 21. P. 135–187.
- Mittal K.L. // Silanes and Other Coupling Agents, V. 3. 2004. VSP. Utrecht-Boston. P. 3-1789-255.
- Petrunin M.A., Gladkikh N.A., Maleeva M.A., Maksaeva L.B., Yurasova T.A. // International J. Corrosion and Scale Inhibition. 2019. V. 8. № 4. P. 882–907.
- Wang D., Bierwagen G.P. // Progress in Organic Coatings. 2009. V. 64. P. 327–338.
- Naiihzad A.S., Rostam R.A.M., Kardar P., Feder M. // Progress in Organic Coatings. 2020. V. 140. 1055046.
- Matinlinna J.P., Lassila L.V., Dahl J.E. // Silicon. 2010. V. 2. № 2. P. 87–93.
- Petrunin M.A., Maksaeva L.B., Gladkikh N.A., Yurasova T.A., Kotenev V.A., Tsivadze A.Yu. // Prot. Met. Phys. Chem. Surf. 2021. V. 57. P. 867–882. https://doi.org/10.1134/S2070205121050208
- Petrunin M.A., Maksaeva L.B., Gladkikh N.A., Yurasova T.A., Kotenev V.A., Tsivadze A.Yu. // Prot. Met. Phys. Chem. Surf. 2022. V. 58. P. 217–243. https://doi.org/10.1134/S2070205122020149
- van Ooij W.J., Zhu D., Palanivel V., Lamar J. A., Stacy M. // Silicon Chemistry. 2006. V. 3. P. 11–30.
- ГОСТ 1050-2013. Металлопродукция из нелегированных конструкционных качественных и специальных сталейю Общие технические условия. 2014. Стандартинформ. 36 с.
- Shcherbakov A.I., Korosteleva I.G., Kasatkina I.V., Kasatkin V.E., Kornienko L.P., Dorofeeva V.N., Vysotskii V.V., Kotenev V.A. // Prot. Met. Phys. Chem. Surf. 2019. V. 55. P. 689–694. https://link.springer.com/article/10.1134/S2070205119040208.
- Антропов Л.И. // Защита металлов. 1977. Т. 13. № 4. С. 387–399.
- Решетников С.М., Круткина Т.Г., Бурмистр М.В. // Защита металлов. 1980. Т. 16. № 2. С. 173–176.
- Mansfeld F. // J. Applied Electrochemistry. 1995. V. 25. P. 187–202.
- Macdonald J.R., Johnson W.B. // Fundamentals of Impedance Spectroscopy in Impedance spectroscopy: Theory, experiment, and applications Macdonald J.R., Barsoukov E. Eds. John Wiley & Sons, Inc.: Hoboken, NJ, USA 2005. P. 1–26.
- Справочник по электрохимии / Под ред. Сухотина А.М. Л.: Химия, 1981. 488 с.
- Кеше Г. Коррозия металлов. Физико-химические принципы и актуальные проблемы. 1984. М.: Металлургия. С. 183.
- Electrochemical Systems, 3rd ed.; Newman J.K., Thomas-Alyea K.E., Eds.; John Wiley & Sons, Inc.: Hoboken, NJ, USA, 2004; p. 207.
- Szklarska-Smialowska Z. Pitting and Crevice Corrosion. 2005. NACE International The Corrosion Society. Houston. TX. USA. P. 6.
- Tang Y., Zao Y. // Mater. Chem. Phys. 2004. V. 88. P. 221–226.
- Gladkikh N., Makarychev Yu., Maleeva M., Petrunin M., Maksaeva L., Rybkina A., Marshakov A., Kuznetsov Yu. // Progress in Organic Coatings. 2019. V. 132. P. 481–484.
- Gladkikh N., Makarychev Yu., Petrunin M., Maleeva M., Maksaeva L., Rybkina A., Marshakov A. // Progress in Organic Coatings. 2020. V. 138. 105386.
- Petrunin M.A., Gladkikh N.A., Maleeva M.A., Rybkina A.A., Terekhova E.V., Yurasova T.A., Ignatenko V.E., Maksaeva L.B., Kotenev V.A., Tsivadze A.Yu. // Prot. Met. Phys. Chem. Surf. 2021. V. 57. P. 374–388. https://doi.org/10.1134/S2070205121020076
- Petrunin M., Maksaeva L., Gladkikh N., Makarychev Yu., Maleeva M., Yurasova T., Nazarov A. // Coatings. 2020. V. 10. P. 362.
- Petrunin M.A., Maksaeva L.B., Rybkina A.A., Yurasova T.A., Gladkikh N.A., Shapagin A.V., Kotenev V.A., Tsivadze A.Yu. // Prot. Met. Phys. Chem. Surf. 2022. V. 58. P. 959–976. https://doi.org/10.1134/S2070205122050197
- Plueddemann E.P. Bonding Through Coupling Agents. in Molecular characterization of composite interfaces.H. Ishida, G.Kumar. Eds. 1983. Springer Science + + Business Media, LLC. P. 13–24.
Supplementary files













