Анализ структурных трансформаций и состояния воды в микрофильтрационной полиамидной мембране
- Authors: Лазарев С.И.1, Головин Ю.М.1, Коновалов Д.Н.1, Яновская Э.Ю.2, Лазарев Д.С.1
-
Affiliations:
- Тамбовский государственный технический университет
- Российский национальный исследовательский медицинский университет им. Н.И. Пирогова
- Issue: Vol 60, No 2 (2024)
- Pages: 150-159
- Section: ФИЗИКО-ХИМИЧЕСКИЕ ПРОЦЕССЫ НА МЕЖФАЗНЫХ ГРАНИЦАХ
- URL: https://journal-vniispk.ru/0044-1856/article/view/263478
- DOI: https://doi.org/10.31857/S0044185624020057
- EDN: https://elibrary.ru/NQZBUH
- ID: 263478
Cite item
Full Text
Abstract
В работе представлены результаты исследований структурных превращений и состояние воды в образцах нерабочей, водонасыщенной и рабочей мембраны ММК-045 методами ИК-спектроскопии НПВО и рентгенофазным анализом. Идентифицированы три типа водородных связей–(-CO…H2O…СО-) (III) тип ~30 кДж/моль, H2O…HN (II) тип ~16кДж/моль, (I) тип ~9 кДж/моль. Сорбционная вода в водонасыщенном образце, уменьшая энергию межмолекулярных (N–H…О=С) связей, меняет конфигурацию макромолекул ПА-6 без изменения транс-конформеров. В тоже время, ИК-спектр НПВО образца рабочей мембраны (отсутствие полосы поглощения при 1478 см–1), демонстрирует разрыв Н-связей, сопровождающий изменения конфигурации молекул с увеличением гош-конформеров. Проявление сложной полосы поглощения при ~1723см–1 и 1737 см–1, отнесенной к терминальным карбоксильным группам (СООН), свидетельствует о деструкции макромолекул ПА-6. Исчезновение полосы поглощения при ~3089 см–1 впервые экспериментально подтверждает связь между явлением Ферми-резонанса в молекулах полимера и деструкцией макромолекул ПА-6 до элементарных структурных единиц. Рентгеновские исследования свидетельствуют о структурных изменениях в основном на надмолекулярном уровне в образцах ММК-045 мембраны. В водонасыщенном образце плотность молекул в аморфной фазе увеличивается (2θ = 26.4°), а в рабочем уменьшается (2θ = 20.9°). Общая кристалличность в образце рабочей мембраны относительно нерабочей уменьшилась с 36% до 33% отнюдь не в результате перекристаллизации, а уменьшения кристаллитов α-фазы и увеличения кристаллических образований γ-фазы с несовершенной кристаллической структурой.
Full Text
ВВЕДЕНИЕ
Вопросы о состоянии воды и структурных перестройках кристалличности и аморфности в полимерных мембранах до настоящего времени остаются весьма дискуссионными. Авторы работы [1] методами ИК-спектроскопии, оптической и электронной микроскопии исследовали пористую структуру полимерных трековых мембран, перфорированных пленок и пленок мокрого формования. В результате исследований предложен эффективный ИК-спектральный метод оценки пористости полимерного образца, позволяющий находить размер пор, их концентрацию и распределение по размерам. В работе [2] авторами приведены результаты исследования активного и дренажного слоев композитных пленок (мембран) УПМ-50 и УПМ-100 до и после воздействия трансмембранного давления методами ИК-спектров отражения, рентгеновского рассеяния и растровой электронной микроскопии. Установлено, что изменения в ИК-спектре рабочего образца вызваны разрушениями слабых связей С=О…Н–N амидного фрагмента полисульфонамидной пленки. Рентгеновское рассеяние исходного и рабочего образцов в интервале углов 2θ от 10–35° фиксируется тремя интенсивными рефлексами при углах 2θ ~17.23, 22.24, 25.41° от кристаллографических плоскостей ((010), (100) и (110)), соответствующих кристаллической структуре лавсана. В работе [3] приведены исследования по разработке технологий производства наноструктурных полимерных композиционных пористых мембран на основе биоинертных термопластов, позволяющих использовать их для проведения ультрафильтрационных процессов в медицине. Для создания полимерных мембран с высокими механическими свойствами используют в качестве полимерной основы полиэтилентерефталат (ПЭТФ), полиамиды (ПА), политетрафторэтилен (ПТФЭ) и полиметилметакрилат (ПММА). Наиболее же перспективным полимером, объединяющим высокие механические свойства и разрешенным к применению в медицине, является сверхвысокомолекулярный полиэтилен (СВМПЭ), на котором проведены исследования структуры пленок СВМПЭ после облучения тяжелыми ионами с различной плотностью потока. Авторами работы [4] методами ИК- и УФ-спектроскопии, спектроскопии комбинационного рассеяния (КР) и сканирующей электронной микроскопии (СЭМ) исследована морфология трековых мембран на основе ПЭТФ и ПП с различным диаметром треков и их поверхностной плотностью. Построены кривые распределения числа треков в зависимости от их среднего размера. Аналогичные кривые распределения получены на основе данных метода ИК-спектроскопии, хорошо согласующиеся с результатами метода СЭМ. Установлено, что с ростом степени пористости (диаметра треков и их поверхностной плотности) фоновое упругое рассеяние на КР-спектрах увеличивается по линейному закону. В работе [5] авторы провели исследования для картирования пористости полимерных мембран с использованием инфракрасной (ИК) спектроскопии. Результаты указывают, что объемная пористость исследуемой мембраны довольно однородна, в то время как поверхностная пористость характеризуется систематическими локальными отклонениями от ее среднего значения, примерно до 30%. ИК-спектроскопия оказывается подходящим и простым методом для характеристики распределения пористости мембран. Авторами работы [6] исследован молекулярный транспорт в пористых средах, где изучена система “полимер–мембрана–катализатор” (ПКМА), состоящая из ПЭТ-мембран с четко определенной структурой пор, покрытых термочувствительным полимером (поли(н-изопропилакриламид), или п-НИПАМ), соединенных с situ ATR-IR ячейкой, содержащая палладий, нанесенная на γ-AlO. Предложена мультифизическая модель транспорта и хемосорбции CO на PCMA, которая предполагает, что задержка вызвана сильным сродством молекул CO с полимерными щетками. В работе [7] использовалась инфракрасная спектроскопия с нарушенным полным отражением (НПВО) и преобразованием Фурье (FTIR) для изучения характеристики химической природы видов обрастания на различных спирально-навитых мембранах, эксплуатируемых на заводе SWR соляного раствора. ATR/FTIR показал отчетливое усиление амида I (1650 см–1) и амида II (1550 см–1) полос, указывающих на белок, и полоса растяжения C–O, связанная с полисахаридами, видна около 1040 см–1. Отложения, удаленные с поверхности мембран, показали отчетливые полосы при 3270 и 1080 см–1, связанные с аминогруппой/полисахаридом. В работе [8] авторами исследовался режим набухания полимерной мембраны Нафион в воде, налитой в кювету, с помощью инфракрасной Фурье-спектрометрии. Интерес к этим исследованиям обусловлен тем, что при набухании мембраны Нафион в кювете, размер которой значительно превышает толщину мембраны, происходит эффективное разматывание полимерных волокон в объем воды. Образующиеся нанопузырьки в кювете “уносятся” растущими волокнами в сторону окна кюветы, и в зоне возникающих механических напряжений может происходить коалесценция (схлопывание) нанопузырьков, что должно способствовать образованию полости. Это косвенно подтверждается результатами, полученными в настоящей работе.
В работе [9] по ИК-Фурье-спектроскопии авторами исследован режим набухания полимерной мембраны Нафион в воде, залитой в кювету, характерный размер которой порядка толщины самой мембраны. Однако этот процесс не был изучен в случае, когда область, которую могут занять размотанные в объеме жидкости полимерные волокна, ограничена размером кюветы. Показано, что в этом случае временная динамика перехода полимера из гидрофобного в гидрофильное состояние имеет ряд специфических особенностей, которые зависят от размера кюветы, а также от изотопного состава, содержания ионов и предварительной обработки воды. Авторами работы [10] исследована зависимость физико-химических свойств от состава полимерных мембран, включений на основе ПВХ с применением методов ослабленного полного отражения Фурье-трансформации, инфракрасной спектроскопии (ATR-FTIR), а также сканирующей электронной микроскопии (SEM). Видимость всех характерных полос в спектрах ATR-FTIR подтвердила наличие отдельных компонентов в мембранах: полимера, пластификатора и носителей. Это также свидетельствовало об отсутствии признаков образования ковалентной связи между полимером, пластификатором и носителем. Могут присутствовать только ван-дер-ваальсовы или водородные связи. Более того, на СЭМ-изображениях исследуемых ПИМ наблюдалась шероховатая поверхность без пор. Мембраны для ультрафильтрации, адсорбирующие ионы, предоставляют интересную возможность удаления токсичных ионов из воды. Кроме того, также возможно восстановить ценные элементы. В этой работе продемонстрированы две простые стратегии модификации полиакрилонитрильных мембран анион- и катион-адсорбирующими группами. В работе [11] авторы модифицировали мембраны, чтобы они имели положительно заряженные аминогруппы или отрицательно заряженные карбоксильные группы. Этот успех реакций был подтвержден с помощью ИК-спектроскопии и измерения дзета-потенциала. Мембраны, несущие отрицательно заряженные группы, давали отрицательный дзета-потенциал и имели изоэлектрическую точку при рН = 3.6, тогда как мембраны, несущие положительно заряженные группы, имели положительный дзета-потенциал в анализируемом диапазоне рН. Следовательно, эти мембраны являются хорошими кандидатами для очистки водных потоков, содержащих опасные ионы.
Выполненный анализ работ [1–11] указывает на актуальность и перспективность исследований состояния воды и структурных трансформаций в полимерных мембранах при взаимодействии полимер + вода + давление. Поэтому данная работа представляет результаты исследований микрофильтрационной полиамидной мембраны ММК-045 в различных состояниях – нерабочая, водонасыщенная, рабочая (после проведения 3–4 часового эксперимента на установке по очистке водно-органического раствора) методами ИК-спектроскопии НПВО и рентгенофазного анализа.
МЕТОДИКА ЭКСПЕРИМЕНТА
Объектами исследования являются образцы коммерческой микрофильтрационной мембраны ММК-045 производства ООО НПП “Технофильтр”, г. Владимир [12], основные характеристики которой приведены в табл. 1. ИК-спектры НПВО регистрировали с применением Фурье-спектрометра (Jasco FT/IR 6700 на приставке НПВО с кристаллом ZnSe (угол отражения 45°) в области частот 500–4000 см–1 с разрешением 4 см–1 и количеством сканов 32) от нерабочих, водонасыщенных и рабочих образцов ММК-045 мембраны со стороны активного слоя и приведены на рис. 1. Образцы выдерживали на воздухе при температуре 22° и затем хранили в эксикаторе. Образец водонасыщенной мембраны помещался в дистиллированную воду на 3 часа и после удаления влаги использовался в эксперименте.
Таблица 1. Технические и эксплуатационные характеристики мембраны [12]
Марка мембраны | ММК-045 |
Давление “точки пузырька” МПа (атм), не менее | 0.24 (2.40) |
Производительность фильтрации по очищенной воде, при 0.1 МПа (1 атм), см3 /(см2 мин), не менее | 35 |
Прочность на разрыв, МПа, не менее | 2.0 |
Удлинение при разрыве, %, не менее | 20 |
Максимальный перепад давления, МПа | 0.5 |
Максимальная температура эксплуатации, °С | 70 (80 кратковременно) |
Диапазон PH | 3–14 |
Материал, на основе которого выполнен активный слой | полиамид |
Рис. 1. ИК-спектры образцов ММК-045 мембраны: (а) – область “отпечатков пальцев”, (б) – область валентных колебаний СН2, NH, Н2О (вставка – результат деконволюции: 1 – нерабочей, 2 – водонасыщенной, 3 – рабочей). * – α-фаза, ** – γ-фаза.
Рентгенограммы образцов мембраны ММК-045 были получены с помощью дифрактометра D2 Phaser (Bruker AXS, Германия) по методу на “отражение” (CuKα излучение с длиной волны λ = 0.1542 нм в интервале 2θ = 5–45°) при разных углах источника излучения и детектора, а затем объединяли полученные сканы в одну дифрактограмму, приведенную на рис. 2.
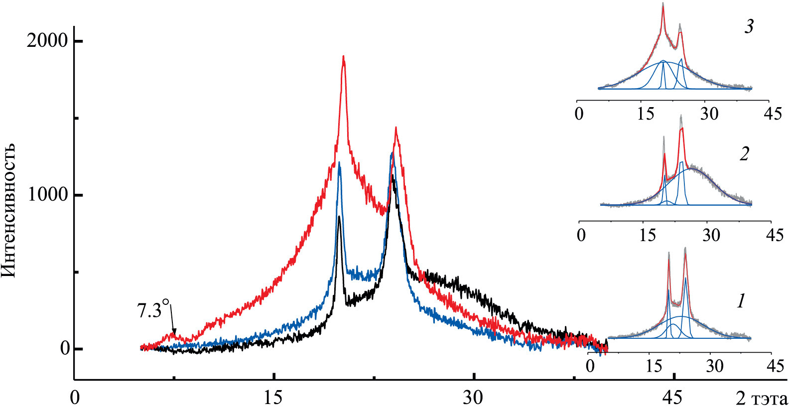
Рис. 2. Дифрактограммы образцов мембраны ММК-045 (вставка – результат деконволюции дифрактограмм образцов: 1 – нерабочего; 2 –водонасыщенного; 3 – рабочего).
РЕЗУЛЬТАТЫ И ИХ ОБСУЖДЕНИЕ
По химическому составу молекулярная структура нейлона-6 соответствует формуле элементарного звена: [-HN(CH2)5CO-]n, где n – степень полимеризации, состоит из амидных групп (CO–NH), разделенных линейными цепочками метиленовых звеньев [-(СН2)5-], которые проявляются характеристическими колебательными частотами в ИК диапазоне спектров поглощения, представленных на рис. 1. Хорошо известно, что нейлон-6 имеет две основные кристаллические структуры: α- и γ-формы. Кристаллические формы структурно различаются по направлению полиамидных цепочек и их конформации. В α-форме цепи антипараллельны с полностью вытянутой зигзагообразной транс-конформацией, а в γ-форме цепи параллельны с закрученной спиральной гош-конфигурацией [13]. Взаимодействия между цепочками не одинаковы в двух кристаллических формах. В γ-фазе изломанная структура позволяет амидным группам N–H образовывать Н-связи с С=О как внутри молекулярных слоев, так и между ними, тогда как в α-фазе водородные связи между фрагментами NH и CO в соседних цепочках образуют двумерные листовидные структуры исключительно внутри молекулярных слоев.
Сравнения ИК-спектров НПВО образцов мембраны и интерпретация полос поглощения с привлечением литературных данных [14, 15] показывают, что в области частот от 2700 см–1 до 4000 см–1 (рис. 1б) проявляются полосы поглощения амидной и метиленовой групп. Так, на фоне широкой полосы колебаний атомов ОН-групп в образцах мембраны регистрируется интенсивная полоса при ~3294 см–1, соответствующая валентным колебаниям атомов NH-групп, связанных водородом с С=О-группами полиамидных цепей, и слабая полоса при ~3089 см–1 – обертон амида II (резонанс Ферми). Полосы валентных колебаний алифатических групп полиамидной цепи νas(C–H) и νs(C–H) проявляются при ~2934 см–1 и ~2867 см–1 соответственно. Отметим, что в образце рабочей мембраны частота колебаний атомов NH-групп смещается в высокочастотную область спектра до ~3297 см–1 (на 3 см–1), а полоса при ~3089 см–1 исчезает. Частоты νas и νs С–Н-групп смещаются в низкочастотную область спектра до ~2924 см–1 и ~2854 см–1 (~10 см–1) соответственно.
Диапазон ИК-спектров от 500 см−1 до 1750 см−1 (область “отпечатков пальцев”), представленный на рис. 1а, отражает сложные колебательные режимы, включающие колебания множества молекулярных групп, как из аморфной, так и из кристаллической областей и представляет информацию о морфологии кристалла ПA-6 [16]. Отметим, что на ИК-спектрах НПВО всех образцов ММК-045 мембраны фиксируются две сильные полосы поглощения при ~1634 см–1 и ~1537 см–1, относящиеся к полосам амида I (C=O) и амида II (в основном обусловленные растяжением CN и деформацией NH в плоскости) соответственно. Эти полосы характерны для амидных групп, расположенных в транс-конформации. Однако в ИК-спектре образца рабочей мембраны частота амида II 1537 см–1 смещается до 1541 см–1. В образцах нерабочей и водонасыщенной мембраны проявляются полосы при ~1475 см–1 и ~1417 см–1, отнесенные к ножничным колебаниям –СН2– звеньев этилена, а в образце рабочей мембраны фиксируется лишь полоса при ~1417 см–1. Кроме этого полосы поглощения ножничных колебаний метиленовых СН2-групп макромолекул ПА-6 проявляются и при ~1462 см–1 и ~1436 см–1. Полосы поглощения колебаний амида III и примыкающих СН2-групп фиксируются при ~1373 см–1 (амид III + веерное CH2), 1264 см–1(амид III + веерное СН2), 1200 см–1 (амид III + веерное + кручение СН2). Полосы поглощения при ~1111 см–1 и 1041 см–1, характерные колебательным движениям алифатического скелета (С–С), исчезают в образце водонасыщенной мембраны и проявляются диффузной полосой при ~1060 см–1 в образце рабочей мембраны. Колебания атомов CO…NH-групп между соседними цепями в плоскости регистрируются при ~1170 см–1, ~959 см–1 и ~929 см–1, ~ 978 см–1. Внеплоскостные деформационные колебания групп NH (амид V) и C=O (амид VI) (полосы “кристалличности”) наблюдаются при ~684 см–1 и ~575 см–1 соответственно. Таким образом, ИК-спектры подтверждают наличие всех функциональных групп ПА-6 в образцах мембраны ММК-045. Однако сравнения ИК-спектров выявляют не только различия в интенсивностях и частотах, но и отсутствие или проявление новых полос поглощения, что, естественно, отражает структурную трансформацию в образцах полиамидной матрицы мембраны ММК-045. С целью получения количественной информации мы отслеживали изменения приведенных интегральных интенсивностей характеристических полос поглощения ПА-6 в области “отпечатков пальцев”, используя в качестве внутреннего стандарта полосу 1170 см–1 [17]. Анализ полос поглощения в интервале частот 2700–4000 см–1 проводили по результатам деконволюции всего участка спектра (см. рис. 1б) с использованием программного обеспечения “ORIGIN-7.5”.
Данные ИК-спектроскопии представлены в табл. 2. Из табл. 2 видно, что в ИК-спектрах (рис. 1б) 1 и 3-образцов рабочей по отношению к образцу нерабочей мембраны интенсивность валентных колебаний атомов NH-групп уменьшается в ~3.5 раза со смещением полосы поглощения в высокочастотную область на 4 см–1 (от 3293 см–1 до 3298 см–1). Интенсивность полосы деформационных колебания NH (амид II) уменьшилась в ~1.5 и сместилась с 1537 см–1 до 1540 см–1(~3 см–1). Эти результаты предполагают, что вода, обладая высоким сродством к амидным и карбонильным группам, разрушает часть межмолекулярных водородных связей (NH...CO) типа и, как следствие, повышает подвижность молекул и конформацию в сегментах цепи полиамида [18]. Взаимодействиями ПА-6 + вода могут быть объяснены и изменения ИК-спектров образцов мембраны в области ножничных колебаний СН2-групп метиленовых звеньев цепи. Известно, что полосы ножничных колебаний СН2-групп рядом с амидными группами являются маркерами конформации молекул полиамида [19]. В модификации транс-конформации молекулярной цепи ПА-6 α-формы полоса поглощения ножничных колебаний СН2-звеньев смежных с группами NH проявляется при 1478 см–1, а полосы поглощения смежных с C=O-группами – при 1417 см–1. Как отмечают авторы работы [19], изменение конформации макромолекул происходит в результате, и, прежде всего, за счет поворота элементарного звена полимерной цепи вокруг связи -C–N- в группе -CH2–NH- из-за более низкого энергетического барьера по сравнению с поворотом вокруг связи C–C в группе -CH2–CO-. Поэтому можно утверждать, что в образце рабочей мембраны отсутствие полосы поглощения при 1478 см–1 свидетельствует об относительном увеличении числа молекул в модификации γ-формы (рис. 1a, вставка II). Конформационную трансформацию полимерных цепей в образцах проследили, используя чувствительный эмпирический маркер конформационного порядка [20]. В полимерных материалах – это отношение интегральных интенсивностей νas и νs-частот метиленовых групп (СН2), т.е. I[νas(CH2)] / I[νs(CH2)]. Известно, что в α-форме валентные колебания СН2 алифатической группы проявляются на более высоких частотах, по сравнению с частотами γ-формы. В нашем случае это соотношение увеличилось до 2.5 раз в образце рабочей мембраны относительно нерабочей (табл. 2), что свидетельствует об уменьшение транс-конформационного порядка макромолекул ПА-6. Дополнительным утверждением является уменьшение соотношения I(928 см–1) / I(979 см–1) (α/γ), нормированных полос регулярности в образце рабочей мембраны по отношению к образцу нерабочей мембраны с 40 до 0.16, что указывает на увеличение молекулярных цепей в конфигурации γ-формы (рис. 1а, вставка I). Кроме того, обнаруживается влияние воды на кристаллические области. Так, приведенная интегральная интенсивность полос “кристалличности” α-фазы ПА-6 при ~684 см–1 (амид V) и при ~575 см–1 (амид VI) уменьшается, в частности, для полосы поглощения при ~684 см–1 (амид V) в образце рабочей мембраны с 3.7 до 0.6. Сравнительный анализ ИК-спектров образцов мембраны в области частот 2700–4000 см–1 позволил определить структуру адсорбированной воды в аморфной фазе ПА-6, поскольку считается, что большая часть воды поступает только в аморфную область полиамидов [21]. По результатам деконволюции представляется разумным предположить, что мы наблюдаем три типа структуры водородных связей ОН-групп (три Гауссиана – каждый может быть поставлен в соответствие с одной из гидроксильных групп, (I), (II), (III) типа), а их параметры дают возможность определить энергию связи (рис. 1б, вставка 1, 2, 3, табл. 2). Т.е. вода в ПА-6 находится в трех состояниях: (III) тип – прочносвязанная (~3227 см–1), (II) тип – слабосвязанная (~3380 см–1) и (I) тип – капиллярная (кластерная) вода (~3511 см–1). Связь (III) типа образована протонами молекулы воды между двумя карбонильными группами соседних молекул посредством свободных электронных пар на атомах кислорода (-CO…H2O…СО-) ~30 кДж/моль. (II) тип водородной связи образуется между H2O…HN, не образуя связи с -CO ~16кДж/моль, и (I) тип связи внутри молекул воды в кластере (капиллярная) ~9 кДж/моль, что согласуется с результатами работы [22].
Таблица 2. Приведенные интенсивности характерных полос поглощения и параметры водородных связей молекул воды в образцах полиамидной мембраны ММК-045
образец | приведенные интенсивности | Параметры H-связей молекул воды | |||||||
ν, см–1 (III) тип | ν, см–1 (II) тип | ν, см–1 (I) тип | |||||||
Массовая доля воды | |||||||||
Энергия связи, кДж/моль | |||||||||
нерабочий | 11.3 | 1.03 | 0.80 | 40.0 | 3.7 | 3270 | 3429 | 3522 | |
0.74 | 0.18 | 0.08 | |||||||
27.3 | 15.9 | 9.2 | |||||||
водонасыщенный | 8.5 | 1.52 | 0.73 | 20.8 | 2.5 | 3247 | 3427 | 3586 | |
0.45 | 0.48 | 0.07 | |||||||
28.9 | 16.0 | 4.6 | |||||||
рабочий | 2.2 | 2.5 | 0.71 | 0.16 | 0.6 | 3227 | 3380 | 3511 | |
0.36 | 0.37 | 0.27 | |||||||
30.4 | 19.4 | 10.0 | |||||||
Примечание: деконволюция выполнена с коэффициентом детерминации R2 = 0.998.
Энергию водородной связи рассчитывали по уравнению [23]:
(1)
где ν0 – частота поглощения свободной гидроксильной группой (ν0 = 3650 см–1); ν – наблюдаемая частота поглощения гидроксильной группой, включенной в водородную связь; .
Сравнения энергий связей (-CO…H2O…СО-) 30 кДж/моль (III) тип с межмолекулярными связями ПА-6 (NH…СО) ~25 кДж/моль убедительно указывают на конкурирующую роль водородной связи (III) типа в деструкции Н-связей (NH…СО). Разрыв этих связей предполагает уменьшение отношения интегральных интенсивностей полос поглощения амид II (–1537 см–1) / амид I (–1634 см–1). Величина этого соотношения в образце рабочей мембраны уменьшилась от 0.81 до 0.71 образца нерабочей мембраны.
Массовую долю водородных связей определяли по отношению интегральной интенсивности пика, соответствующего типу водородной связи, к суммарной интенсивности пиков трех типов водородных связей согласно результатам деконволюции (рис. 1б, вставка 1, 2, 3). Данные сведены в табл. 2.
Из табличных данных следует, что доли связанной и капиллярной воды перераспределяются в образцах мембраны ММК-045. Так, в рабочем образце связанная и капиллярная вода распределены практически равномерно. Перераспределение воды по типам Н-связей в образцах мембраны является следствием изменения плотности молекул аморфной фазы в результате увеличения молекулярных цепей γ-формы. Разрыв водородных связей не только уменьшает межцепочечные силы сцепления, но, очевидно, влияет и на деструкцию молекул ПА-6. Свидетельством этого является проявление в ИК-спектре образца рабочей мембраны дуплетной полосы поглощения при ~1723 см–1 и 1737 см–1. Известно [23], что разрыв цепи полиамидов происходит по -NH–CO-связям в окрестности карбонильной группы, а реакция этой реактивной группы с водой приводит к образованию терминальных групп -СООН и NH2. Поэтому в ИК-спектре образца рабочей мембраны проявляется полоса карбоксильной группы в мономерном и димерном состояниях при ~1723 см–1 и ~1737 см–1 соответственно. Полоса поглощения водородных связей в димере выявляется при деконволюции и соответствует пиковой частоте при ~2997 см–1 (Гауссиан Д) (рис. 1б, вставка 2), энергия которой равна 47.6 кДж/моль. Что касается частот колебаний первичного амида NH2, то они маскируются в полосах поглощения вторичного амида. В завершении остановимся на интерпретации полосы поглощения при ~3089 см–1, соответствующей Ферми-резонансу, совершенно замечательному явлению в научном и структурном планах [24].
Ферми-резонанс в полимерных молекулах с точки зрения физики проявляется при наличии двух факторов – одинаковые квантовые состояния 2-х осцилляторов (принадлежность колебательных уровней к одному типу симметрии) и механическая связь между ними. Т.е. в мономерной элементарной группе ПА-6 не должен априори проявляться Ферми-резонанс. Наименьшая структурная единица, в которой должен проявляться резонанс Ферми, это двумерная группа в транс-конфигурации. Следовательно, исчезновение полосы поглощения при ~3089 см–1 является прямым доказательством деструкции молекул полиамида ПА-6 до одной элементарной группы, в которой нет двух осцилляторов (-NH-).
Таким образом, анализ ИК-спектров исследованных образцов, в первую очередь, свидетельствует о надмолекулярном изменении молекул аморфной фазы, вызванных водой и давлением. В водонасыщенном образце в результате уменьшения энергии водородных связей (N–H…О=С) между цепями меняется конфигурация макромолекул при постоянстве транс-конформеров (присутствуют полосы поглощения при 1478 см–1 и при 1417 см–1). В то же время, ИК-спектр образца рабочей мембраны (отсутствует полоса поглощения при 1478 см–1) демонстрирует разрыв Н-связей, сопровождающий изменения конформации молекул с преобладанием гош-конформеров как энергетически выгодной. Такое явление возможно объяснить наиболее сильными водородными связями между молекулами воды и межмолекулярными СО-группами (-CO…H2O…СО-) ((III) тип ~30 кДж/моль). Уменьшение интенсивности полос “кристалличности” амид V при ~684 см–1 и амид VI при ~575 см–1, отнесенных к кристаллитам ПА-6 α-фазы, указывает на проникновение молекул воды в пограничные области кристаллит-аморфная фаза. Впервые установлена связь между деструкцией (разрыв) полиамидных молекул по -NH–CO-связям до мономерных единиц ПА-6 и явлением Ферми-резонанса (исчезновение полосы при ~3089 см–1). Методами деконволюции идентифицированы три типа водородных связей между фрагментами полиамидных молекул и молекулами воды –(-CO…H2O…СО-) (III) тип ~30 кДж/моль, H2O…HN (II) тип ~16 кДж/моль, (I) тип ~9 кДж/моль. Перераспределение воды по типам Н-связей в образцах мембраны является следствием изменения плотности молекул аморфной фазы.
Рентгенограммы образцов, представленных на рис. 2, содержат два узких пика при 2θ = 19.9° (α1) и 2θ = 23.9° (α2) на фоне аморфного гало. Отличие рентгенограмм можно заметить лишь по возникновению между пиками небольшого наплыва у пика (α1) (рис. 2, вставка 1, 2, 3), интенсивность которого увеличивается в образце рабочей мембраны. Известно, что ПА-6 представляет собой типичный полукристаллический полимер, кристаллическая структура которого полиморфна, обычно образует две стабильные фазы α- и γ-типа, различающиеся морфологией упаковки молекулярных цепей. Дифракционные пики, наблюдаемые во всех образцах согласно работам [25–27], проявляются в результате отражения от плоскостей кристалла (200) и (002/202) кристаллической α-фазы соответственно, а наплыв у пика α1 связан с отражением от кристаллической плоскости (100), относящейся к γ-фазе.
Для разделения отражений, связанных с α-, γ- и аморфной фазами выполнялась деконволюция кривых рентгеновского рассеяния с использованием программного обеспечения “ORIGIN-7.5”. После создания базовой линии от 5 до 45° кривые рассеяния были смоделированы 4-мя пиками Гаусса и идентифицированы кристаллические пики, соответствующие углам дифракции α1, α2 и γ, а также пик аморфного гало (рис. 2, вставка 1, 2, 3). В целом, совпадение между моделью и экспериментальными данными было достаточным, с коэффициентом детерминации R2 = 0.998. Значения результатов деконволюции использовали для оценки структурных параметров образцов мембраны. Степень рентгеновской кристалличности (РСК) каждой фазы рассчитывали по отношению площадей кристаллических отражений к общей площади кривой рассеяния (аморфной + кристаллической), а межплоскостные параметры (d) элементарной ячейки определяли согласно соотношению Дебая. Значения структурных параметров, полученных на основе деконволюции рентгенограмм, представлены в табл. 3.
Таблица 3. Рентгеноструктурные параметры образцов полиамидной мембраны ММК-045 по результатам деконволюции
образец | параметры | РСК, % | |||
2θ(α1) | 2θ(α2) | 2θ(γ) | 2θ аморфной фазы | ||
Межплоскостной параметр d (нм) | |||||
Массовая доля кристаллитов, % | |||||
нерабочий | 19.9 | 23.9 | 20.9 | 22.9 | |
0.447 | 0.374 | 0.425 | |||
6 | 17 | 13 | 36 | ||
водонасыщенный | 29.9 | 23.9 | 20.6 | 26.4 | |
0.447 | 0.374 | 0.433 | |||
4 | 11 | 2 | 17 | ||
рабочий | 20.2 | 24.3 | 20.3 | 20.9 | |
0.440 | 0.370 | 0.438 | |||
3 | 7 | 23 | 33 | ||
Из табл. 3 видно, что α-фаза в большей степени подвержена изменениям. Так, в образце рабочей по отношению к нерабочей мембране наблюдается уменьшение интенсивности кристаллических пиков α1, α2 практически в два раза (с 6 до 3% и с 17 до 7%) соответственно (табл. 3, столбец 2) и смещение пиков в область больших углов до 2θ = 20.2° (α1) (d = 0.440 нм) и 2θ = 24.3° (α2) (d = 0.370 нм). Это свидетельствует об относительном уменьшение кристаллитов в результате увеличения их плотности. Изменение углового положения аморфного гало (смещение составляет −2°) для нерабочего образца с 2θ = 22.9° до 20.9° указывает на уменьшение относительной плотности макромолекул аморфной фазы. Общая кристалличность для нерабочей мембраны составляет 36%. Увеличение γ-фазы до 23% на фоне уменьшения кристалличности α-фазы свидетельствует, на наш взгляд, не о перекристаллизации α- в γ-фазу, а об уменьшении размеров кристаллитов (рис. 2, вставка 2, табл. 2). Подобное утверждение основано на том, что поток, облегчая диффузию молекул воды в менее упорядоченные и дефектные пограничные участки межфазного пространства, разрушает межмолекулярные Н-связи. Нарушение межмолекулярных связей инициирует реорганизацию молекул в гош-конформацию и, как следствие, приводит к увеличению кристаллической структуры γ-формы. Угловое положение пика γ-фазы при 2θ = 20.3° (d = 0.438 нм) и значительная его полуширина (β = 4.2°) указывает на образование мелких кристаллитов с довольно неупорядоченной кристаллической структурой. Увеличение γ-фазы в образце рабочей мембраны подтверждается экспериментально проявлением на рентгенограмме пика от плоскости (020) при 2θ = 7.3° (d ≈ 1.2 нм), что не наблюдалось в нерабочем образце с массовой долей γ-фазы равной 13%. Заметим, что это направление связано с главной молекулярной осью ПА-6 (ось (2)) и свидетельствует о перпендикулярности молекул ПА-6 к поверхности мембраны. Наводит на мысль, что молекулы фибрилов γ-фазы в объеме мембраны ориентируются по направлению диффузионного потока, т.е. перпендикулярно плоскости мембраны. При этом общая кристалличность составила для рабочего образца 33%.
Анализ рентгенограммы водонасыщенного образца (рис. 2, вставка 2) и данные из табл. 2 указывают на уменьшение кристалличности γ-фазы в 6.5 раза и смещение пика аморфного гало до 2θ = 26.4°, что свидетельствует о повышении степени упорядоченности молекулярных цепей аморфной фазы. Зафиксированные изменения можно связать с проникновением воды не только в аморфную область, но и в межфазное пограничное пространство кристаллит- аморфная фаза, и разрушением границ кристаллита. Общая кристалличность водонасыщенного образца составила 17%. Это подтверждается исследованиями ИК-спектров. Таким образом, рентгеновские исследования показывают, что структурные превращения при взаимодействии вода + полимер в полиамидной мембране ММК-045 происходят в основном на надмолекулярном уровне. Однако стационарные и динамические условия набухания инициируют перестройки полиамида в разных структурных образованиях. Так, диффузионный поток (динамическая вода) в рабочем образце инициирует образование кристаллической γ-фазы, а сорбционная вода (водонасыщенный образец) разрушает. Сорбционная вода увеличивает плотность молекул аморфной фазы, напротив, динамическая вода уменьшает. Эти заключения согласуются с исследованиями и интерпретацией ИК-спектров НПВО образцов нерабочей, водонасыщенной и рабочей мембраны ММК-045.
ЗАКЛЮЧЕНИЕ
На основе выполненных исследований и результатов их интерпретации можно сделать следующие выводы:
- Установлено, что ИК-спектр образца рабочей мембраны демонстрирует разрыв Н-связей между полимерными цепями, сопровождающий изменения конфигурации молекул, которые принимают гош-конформацию как энергетически выгодную. Методами деконволюции идентифицированы три типа водородных связей – (-CO...H2O…СО-) (III) тип ~30 кДж/моль, H2O…HN (II) тип ~16 кДж/моль, (I) тип ~9 кДж/моль. Перераспределение массовой доли воды, согласно типам Н-связей, в образцах мембраны свидетельствует об изменении плотности молекул аморфной фазы.
- Уменьшение интенсивности приведенных полос кристалличности свидетельствует, что влажность индуцирует нарушение порядка и в кристаллической области рабочего и водонасыщенного образцов. Впервые установлена связь между деструкцией (разрывом) полиамидных молекул по -NH–CO-связям до мономерных единиц ПА-6 и явлением Ферми-резонанса.
- Рентгеновские исследования показывают, что структурные изменения в полиамидной мембране ММК-045 происходят в основном на надмолекулярном уровне при взаимодействии вода + полимер. Однако стационарные и динамические условия набухания инициируют перестройки полиамида в разных структурных образованиях. Диффузионный поток воды инициирует образование кристаллической γ-фазы, а сорбционная вода разрушает. Сорбционная вода увеличивает плотность молекул аморфной фазы, напротив, динамическая вода уменьшает. Общая кристалличность (РСК) в образце рабочей по отношению к нерабочей мембраны уменьшается с 36 до 33%.
ФИНАНСИРОВАНИЕ
Работа выполнена в рамках государственного задания, проект № FEMU-2024-0011, по теме исследований “Теоретические и экспериментальные исследования электрокинетических и структурных характеристик полимерных мембран посредством применения искусственных нейронных сетей в процессах электромембранной очистки промышленных растворов, содержащих ионы металлов”.
About the authors
С. И. Лазарев
Тамбовский государственный технический университет
Email: kdn1979dom@mail.ru
Russian Federation, Тамбов
Ю. М. Головин
Тамбовский государственный технический университет
Email: kdn1979dom@mail.ru
Russian Federation, Тамбов
Д. Н. Коновалов
Тамбовский государственный технический университет
Author for correspondence.
Email: kdn1979dom@mail.ru
Russian Federation, Тамбов
Э. Ю. Яновская
Российский национальный исследовательский медицинский университет им. Н.И. Пирогова
Email: kdn1979dom@mail.ru
Russian Federation, Москва
Д. С. Лазарев
Тамбовский государственный технический университет
Email: kdn1979dom@mail.ru
Russian Federation, Тамбов
References
- Пахомов П.М., Малинин М.Н., Хижняк С.Д. // Высокомолекулярные соединения. Сер. Б. 2005. Т. 47. № 6. С. 1066.
- Лазарев С.И., Головин Ю.М., Хорохорина И.В. и др. Анализ влияния трансмембранного давления на изменение структурных и транспортных свойств активного и дренажного слоев композитных пленок УПМ-50 и УПМ-100 // Журнал физической химии. 2020. Т. 94. № 9. С. 1398. doi: 10.31857/S0044453720090150
- Сенатов Ф.С., Сенатова С.И., Горшенков М.В. и др. // Современные проблемы науки и образования. 2013. № 5. https://science-education.ru/ru/article/view?id=10046 (дата обращения: 06.06.2023).
- Королева О.Е., Григорьева И.А., Иванова А.И. и др. // Вестник ТвГУ. Серия: Химия. 2018. № 3. C. 119. doi: 10.26456/vtchem13
- Kiefer J., Rasul N.H., Ghosh P.K. et al. // Journal of Membrane Science. 2014. V. 452. P. 152. https://doi.org/10.1016/j.memsci.2013.10.022
- Enes da Silva M.J., Banerjee A., Lefferts L. et al. // ChemCatChem. 2022. V. 14. I. 10. P. e202101835. https://doi.org/10.1002/cctc.202101835
- Rahman M.M., Al-Sulaimi S., Farooque A.M. // Applied Water Science. 2018. № 8. P. 183. https://doi.org/10.1007/s13201-018-0806-7
- Bunkin N.F., Bashkin S.V., Gudkov S.V. et al. // Herald of the Bauman Moscow State Technical University. Series Natural Sciences. 2022. V. 100. № 1. P. 122. DOI: https://doi.org/10.18698/1812-3368-2022-1-122-140
- Bunkin N.F., Kozlov V.A., Kir'yanova M.S. et al. // Optics and Spectroscopy. 2021. V. 129. № 4. P. 460. doi: 10.1134/S0030400X2104007X
- Witt K., Radzymińska-Lenarcik E. Characterization of PVC-based polymer inclusion membranes with phosphonium ionic liquids // Journal of Thermal Analysis and Calorimetry. 2019. V. 138. P. 4437. https://doi.org/10.1007/s10973-019-08912-3
- Kishore Chand A.A., Bajer B., Schneider E.S. et al. // Membranes. 2022. № 12. P. 580. https://doi.org/10.3390/membranes12060580.
- URL: https://www.technofilter.ru/catalog/laboratory-filtration/filtrovalnye-membrany/mmk/ (дата обращения: 01.06.2023).
- Okada A., Kawasumi M., Tajima I. et al. // Appl. Polym. Sci. 1989. V. 37. P. 1363.
- Fornes T.D., Paul D.R. // Polymer. 2003. V. 44. № 14. P. 3945.
- Murthy N.S. // Polymer Communications. 1991. V. 32. № 10. P. 301.
- Wu Q., Liu X., Berglund L.A. // Polymer. 2002. V. 43. P. 2445.
- Inc. J. Polym Sci B: Polym Phys. 2001. V. 39. P. 536.
- Kojima Y., Usuki A., Kawasumi M. et al. // J Mater Res. 1993. № 8. P. 1185.
- Yoshioka Y., Tashiro K.J. // Phys. Chem. 2003. V. 107. P. 11835.
- Fornes T.D., Paul D.R. // Polymer. 2003. V. 44 № 14. P. 3945.
- Illers K.H. // Makromol. Chem. 1960. V. 38. P. 168.
- Puffr R., Bebenda J. // Journal of polymer science. Part C. 1967. № 16. Р. 79.
- Rusu G., Rusu E. // High performance polymer. 2004. V. 16. P. 569.
- URL: https://www.chem.msu.ru/rus/teaching/tarasevich-spectr-IK/lecture-3-2020.pdf (дата обращения: 01.06.2023).
- Arimoto H.J. // Polym. Sci. Part A: Polym. Chem. 1964. V. 2. № 5. P. 2283.
- Suzuki H., Ishii S., Sato H. et al. // Chem. Phys. Lett. 2013. V. 575. P. 36.
- Pepin J., Miri V., Lefebvre J.-M. // Macromolecules. 2016. V. 49. P. 564.
Supplementary files




