Влияние плотности тока импульса плазменно-электролитического оксидирования титана ВТ1-0 в силикатно-фосфатном электролите на защитные свойства формируемых покрытий
- Authors: Касач А.А.1, Богдан Е.О.1, Ширвель А.А.1, Поспелов А.В.1, Курило И.И.1
-
Affiliations:
- Белорусский государственный технологический университет
- Issue: Vol 60, No 2 (2024)
- Pages: 209-218
- Section: НОВЫЕ ВЕЩЕСТВА, МАТЕРИАЛЫ И ПОКРЫТИЯ
- URL: https://journal-vniispk.ru/0044-1856/article/view/263483
- DOI: https://doi.org/10.31857/S0044185624020109
- EDN: https://elibrary.ru/NQOPMQ
- ID: 263483
Cite item
Full Text
Abstract
В данной работе представлены результаты исследований состава и структуры поверхности образцов титана марки ВТ1-0 после обработки методом плазменно-электролитического оксидирования (ПЭО) в низкочастотном импульсном режиме. Показано, что ПЭО приводит к формированию пористых покрытий, характеризующихся наличием преимущественно открытых пор диаметром от 0.6 до 4.2 мкм. При повышении анодной плотности тока импульсов от 15 до 60 А/дм2 наблюдается уменьшение количества пор, а также их среднего диаметра от 2.2 до 1.6 мкм. Фазовый состав формируемых покрытий представлен кристаллическими фазами рутила и анатаза, причем формирование более твердой и биоактивной фазы рутила в структуре покрытия наблюдается при анодной плотности тока импульсов, превышающей 30 А/дм2. Показано наличие в структуре покрытия Сa и P в виде рентгеноаморфных фосфатсодержащих соединений кальция. Повышение анодной плотности тока при ПЭО до 60 А/дм2 позволяет снизить скорость коррозии образцов в 30.8 и 3.8 раз в растворах Хэнкса и искусственной слюны соответственно по сравнению с исходными образцами титана ВТ1-0. Величина защитного эффекта сформированных покрытий в растворе Хэнкса составляет примерно 91–96%, а в растворе искусственной слюны – 26–74%.
Full Text
ВВЕДЕНИЕ
В современной медицине титан и его сплавы широко используются в качестве постоянных имплантатов [1, 2] (костные пластины, винты, штифты, сетки для краниопластики и др.) благодаря таким свойствам, как биосовместимость, высокая трещиностойкость, усталостная прочность, коррозионная стойкость, удельная прочность, относительно невысокий модуль упругости и удельный вес, а также низкая токсичность [3–5]. Однако поверхность титана характеризуется низкой биологической активностью в процессах роста костной ткани вокруг имплантата [4–6].
Одним из способов повышения остеоинтеграции металлических имплантатов является нанесение на их поверхность кальций-фосфатных покрытий, которые благодаря химическому и кристаллографическому сходству синтетических фосфатов кальция с природными неорганическими компонентами костной ткани характеризуются биоактивными, остеопродуктивными, остеокондуктивными и остеоиндуктивными свойствами [7].
Для получения таких покрытий используют различные физические и химические методы [8, 9]: плазменное напыление, ионно-лучевое испарение, импульсное лазерное напыление и магнетронное распыление, химическое осаждение из паровой фазы, золь-гель метод, электрофорез, анодирование и микродуговое оксидирование, также известное как плазменно-электролитическое оксидирование (ПЭО).
ПЭО является современным передовым электрохимическим методом, основанным на анодировании при высоких напряжениях, превышающих напряжение пробоя диэлектрика оксидного слоя и газовой оболочки. В результате местного высокоэнергетического воздействия на поверхности подложки формируются покрытия, включающие как элементы оксидируемого металла, так и элементы электролита [9].
В ряде исследований показано, что в результате протекания плазмохимических реакций на поверхности обрабатываемого титана можно получать слои диоксида титана, в которые внедрены кальций-фосфатные соединения, а также соединения магния [10], меди [11], цинка [12], наночастицы оксида алюминия, оксида церия (IV), диоксида циркония и кремния. Также следует отметить, что получаемые методом ПЭО покрытия служат подходящей основой для формирования композиционных покрытий, включающих в свой состав как неорганические, так и органические материалы [12–14].
Благодаря методу ПЭО на поверхности вентильных металлов можно получить покрытия с регулируемой толщиной, шероховатостью и пористостью, которые, в свою очередь, оказывают существенное влияние на их биоактивные и остеоиндуктивные свойства. Известно [7], что высокопористая шероховатая поверхность покрытия более предпочтительна, так как ее морфология наиболее приближена к поверхности костной ткани. Высокие адгезионные свойства и пористая структура ПЭО покрытия обеспечивают плавное изменение модуля упругости от сплава к костной ткани, что также повышает биомеханическую совместимость материала.
Несмотря на достаточно широкое применение в современной медицине имплантатов на основе титана и его сплавов, по-прежнему актуальной является проблема модификации его поверхности с целью повышения антикоррозионных и механических свойств, биологической активности и интенсификации процессов остеоинтеграции [4, 5, 8]. Также недостаточно изученными остаются механизм и кинетика коррозии титана в биологических средах организма. Следует отметить, что в настоящее время нет общепринятой теории, описывающей механизм протекания плазменно-электролитического оксидирования ввиду того, что формирование покрытия происходит при одновременном протекании электрохимических, химических и термических реакций. Также существенное влияние на структуру и свойства анодно-оксидных покрытий оказывают природа подложки и электролита, электрофизические параметры процесса [15–19, 1]. В связи с этим представляет интерес изучение влияния перечисленных факторов на защитные свойства покрытий, формируемых на титане при ПЭО, их фазовый состав и структуру, которые, в свою очередь, будут оказывать влияние на биоактивность и остеоиндуктивность материала.
Цель работы состояла в исследовании влияния величины анодной плотности тока ПЭО поверхности титана марки ВТ1-0 в импульсном низкочастотном режиме на структуру, элементный и фазовый состав формируемых покрытий, а также их коррозионные свойства в модельных растворах, имитирующих жидкие биологические среды организма человека.
МЕТОДИКА ЭКСПЕРИМЕНТА
Экспериментальная часть. Для проведения процесса ПЭО использовали пластины размером 2 см × 2 см, изготовленные из прокатного листа технического титана марки ВТ1-0 толщиной 2 мм. Предварительно образцы титана обезжиривали в 96% водном растворе этанола в течение 3 мин. Плазменно-электролитическое оксидирование проводили в электролите, содержащем, г/дм3: NaH2PO4 – 12; Ca(OH)2 – 10; (NH2)2CO (мочевина) – 12; Na2SiO3 – 8. Процесс ПЭО осуществляли в импульсном режиме при частоте импульсов 2 Гц и скважности 2. Длительность электролиза составляла 300 с при анодных плотностях тока импульса 15, 30 и 60 А/дм2. В качестве катода использовали нержавеющую сталь марки Х18Н9Т.
Состав и морфологию поверхности титана после ПЭО изучали с помощью сканирующего электронного микроскопа JSM 5610 LV, оснащенного системой элементного анализа EDX JED 2201 JEOL. Построение дифференциальных кривых распределения пор по размерам осуществляли на основании данных, полученных при визуальном исследовании структуры поверхности покрытия с помощью сканирующего электронного микроскопа. Фазовый состав покрытий определяли с помощью дифрактометра Discover D8 (Bruker). Изучение смачивания поверхности полученных образцов раствором Хэнкса проводили с помощью оптического гониометра ЛК-1 (ООО “НПК Открытая Наука”).
В табл. 1 представлены составы модельных растворов, имитирующие жидкие биологические среды организма. Для приготовления этих растворов использовали реактивы марки “хч”. Водородный показатель раствора Хэнкса составлял 7.4, а раствора искусственной слюны – 7.0. Корректировку pH полученных растворов осуществляли 1 М HCl.
Таблица 1. Составы модельных растворов, имитирующих жидкие биологические среды организма
Компонент | Содержание в растворе, г/дм3 | |
Раствор Хэнкса | Раствор искусственной слюны | |
NaCl | 8.00 | 0.40 |
KCl | 0.40 | 0.40 |
CaCl2 | 0.14 | 0.80 |
MgSO4 × 7H2O | 0.10 | – |
MgCl2 × 7H2O | 0.10 | – |
Na2HPO4 × 2H2O | 0.06 | 0.69 |
KH2PO4 | 0.06 | – |
NaHCO3 | 0.35 | |
Na2S | – | 0.005 |
(NH2)2CO (мочевина) | – | 1.00 |
Электрохимические исследования коррозии титана марки ВТ1-0, а также защитных свойств ПЭО покрытий в биологических средах проводили на потенциостате/гальваностате Autolab PGSTAT 302N, оснащенном модулем импедансной спектроскопии FRA 32N в трехэлектродной ячейке с боковым креплением электрода. Геометрическая площадь рабочего электрода – 1 см2. Электродом сравнения служил насыщенный хлоридсеребряный электрод (Metrohm Autolab), а противоэлектродом – платиновая сетка. Спектры импеданса снимали при значении стационарного потенциала в диапазоне частот измерения от 105 до 10–2 Гц. Время стабилизации стационарного потенциала составляло 30 мин. Анализ спектров, подбор эквивалентных схем и расчет параметров их элементов проводили с использованием программного обеспечения “ZView”. Поляризационные кривые снимали в диапазоне потенциалов от –200 мВ до +900 мВ относительно стационарного потенциала при линейной скорости развертки потенциала 1 мВ/с. Величину защитного эффекта (Z) сформированных покрытий рассчитывали по формуле:
(1)
где и – плотность тока коррозии титана ВТ1-0 в исследуемой коррозионной среде до и после ПЭО соответственно, А/см2.
Обсуждение экспериментальных данных. На рис. 1 представлены СЭМ изображения с поверхности титана ВТ1-0 до (рис. 1а) и после ПЭО (рис. 1б–1г). ПЭО титана способствует формированию на его поверхности покрытий, характеризующихся высокой пористостью с преобладанием преимущественно открытых пор, а также наличием в структуре характерных чешуек (ламелей).
Рис. 1. СЭМ изображения поверхности титана ВТ1-0 до (а) и после ПЭО (б–г). Анодная плотность тока импульсов, А/дм2: б – 15; в – 30; г – 60.
По мере роста анодной плотности тока от 15 до 60 А/дм2 наблюдается уменьшение пористости формируемых покрытий, а также увеличение доли поверхности, занятой чешуйками.
На рис. 2 представлены дифференциальные кривые распределения пор покрытий по размерам, построенные по данным рис. 1. Покрытия, полученные при анодной плотности тока 15 А/дм2, характеризуются наличием пор, диаметр которых варьируется от 0.6 до 4.2 мкм. Увеличение плотности тока от 15 до 60 А/дм2 приводит к уменьшению среднего диаметра пор от 2.2 до 1.6 мкм. При этом покрытия, полученные при плотности тока 30 и 60 А/дм2, характеризуются меньшим количеством пор, приходящихся на единицу площади поверхности, по сравнению с покрытиями, сформированными при 15 А/дм2. Более низкая пористость покрытий, сформированных в многокомпонентных электролитах, по сравнению с покрытиями, полученными при использовании индивидуальных фосфатных и силикатных электролитов, может быть обусловлена изменением вязкости образующегося в процессе ПЭО расплава за счет включения в его состав соединений из объёма электролита [9].
Рис. 2. Дифференциальные кривые распределения пор по диаметрам в сформированных покрытиях в зависимости от анодной плотности тока импульса ПЭО. Анодная плотность тока импульса ПЭО, А/дм2: 1 – 15; 2 – 30; 3 – 60.
Следует отметить, что формирование в процессе ПЭО высокопористой структуры поверхности покрытия будет положительно влиять на процессы остеоинтеграции имплантационного материала [8].
На рис. 3 представлены EDX-карты распределения элементов по поверхности полученных покрытий. На поверхности образцов после ПЭО наряду с Тi идентифицируются Сa и P, что свидетельствует о включении этих элементов в структуру оксидного слоя.
Рис. 3. Карты распределения химических элементов на поверхности полученных покрытий. Анодная плотность тока ПЭО, А/дм2: а – 15; б – 30; в – 60.
В табл. 2 представлены результаты точечного EDX-анализа поверхности исходных, а также обработанных методом ПЭО образцов титана. Установлено, что по мере роста анодной плотности тока импульсов наблюдается уменьшение содержания фосфора в составе формируемых покрытий. Уменьшение сигнала от P, вероятно, обусловлено снижением открытой пористости ПЭО покрытий и преимущественным образованием закрытых пор.
Таблица 2. Элементный состав поверхности образцов титана до и после ПЭО
Анодная плотность тока импульса ПЭО, А/дм2 | Содержание, ат. % | ||
Ti | P | Ca | |
Исходный образец | 100 | – | – |
15 | 71.2 | 17.2 | 11.6 |
30 | 68.1 | 16.2 | 15.7 |
60 | 72.3 | 14.7 | 13.0 |
Для изучения фазового состава формируемых на поверхности титана ВТ1-0 покрытий использовали метод РФА. Анализ полученных дифрактограмм (рис. 4) позволил установить, что на поверхности титана марки ВТ1-0 после ПЭО формируются покрытия, фазовый состав которых представлен такими модификациями диоксида титана, как анатаз и рутил. По мере роста анодной плотности тока от 15 до 60 А/дм2 на дифрактограммах исследуемых образцов наблюдается увеличение интенсивности рефлексов, соответствующих фазе рутила, что указывает на увеличение его содержания в составе покрытия. Образование смеси оксидов титана может быть обусловлено термической историей выращенной оксидной пленки, а также характеристиками микроискровых разрядов. В процессе плазменно-электролитического оксидирования в зависимости от природы подложки и толщины образующегося оксидного слоя температура в разрядных каналах может достигать ~9000° K [20]. Образующийся в разрядных каналах расплав продуктов окисления титана быстро охлаждается электролитом, контактирующим с внешним слоем, что приводит к его мгновенному затвердеванию и образованию аморфной фазы диоксида титана. Во время действия микроискровых разрядов аморфная фаза диоксида титана многократно подвергается прокаливанию, приводящему к переходу аморфного диоксида титана в кристаллическую фазу анатаза. Известно [21], что переход анатаза в рутил начинается при температурах свыше 600°С. Повышение анодной плотности тока приводит к росту напряжения процесса ПЭО и увеличению интенсивности микроискровых разрядов. Вышеперечисленные эффекты обуславливают повышение температуры на границе раздела фаз электрод–электролит, что способствует переходу метастабильной фазы анатаза в более стабильную фазу рутила. Кроме того, на дифрактограмме образца, обработанного при анодной плотности тока 60 А/дм2, наблюдается рост фазы рутила преимущественно в ориентации (101) (35.96 град.). Необходимо отметить, что кристалл рутила (101) обладает высокой биосовместимостью и схожими параметрами решетки с кристаллом гидроксиапатита (0001) [22]. Вследствие этого на поверхности рутила (101) возможен эпитаксиальный рост кристаллов апатита.
Рис. 4. Дифрактограммы титана ВТ1-0 до (а) и после ПЭО (б–г). Анодная плотность тока импульсов ПЭО, А/дм2: б – 15; в – 30; г – 60.
На полученных дифрактограммах отсутствуют рефлексы, указывающие на наличие фосфатов кальция в составе оксидного покрытия, что, вероятно, свидетельствует либо о низком содержании, либо о рентгеноаморфности этих соединений.
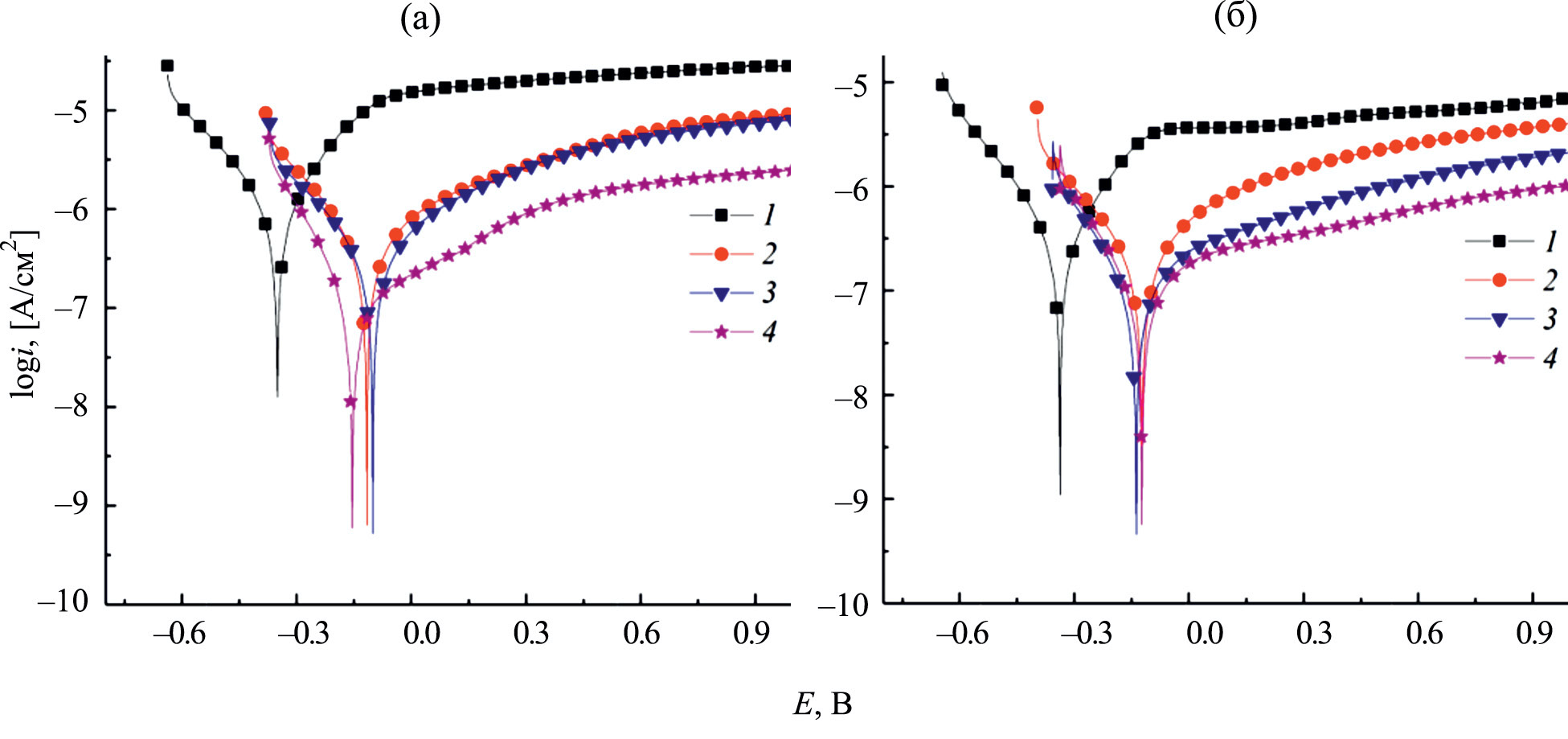
На рис. 5 представлены поляризационные кривые (ПК) исследуемых образов, снятые в растворах Хэнкса и искусственной слюны. Плазменно-электролитическое оксидирование поверхности титана ВТ1-0 способствует смещению потенциала коррозии образцов в область положительных значений на 0.16–0.24 В. На анодных ветвях ПК при потенциалах, отрицательнее –0.15 В наблюдается широкая область пассивации. Величина анодной плотности тока пассивации (iпас) образца зависит от параметров ПЭО образцов, а также от состава используемой коррозионной среды. Значения iпас исходного образца титана ВТ1-0 в растворах Хэнкса и искусственной слюны соответственно составляют 25 и 5 мкА/см2. Такое существенное различие скоростей анодных процессов в исследуемых коррозионных средах, прежде всего, обусловлено разным содержанием в них депассивирующих ионов Cl–.
Рис. 5. Поляризационные кривые исходных образцов титана ВТ1-0 (кривая 1) и после ПЭО (кривая 2–4) в растворах Хэнкса (а) и искусственной слюны (б). Анодная плотность тока импульса ПЭО, А/дм2: 2 – 15; 3 – 30; 4 – 60.
ПЭО титана ВТ1-0 способствует снижению значений iпас в исследуемых растворах за счет образования на его поверхности структурированного оксидного слоя.
По мере роста анодной плотности тока наблюдается снижение iпас, что обусловлено увеличением толщины формируемых покрытий, а также снижением их пористости.
В табл. 3 представлены электрохимические параметры коррозии исследуемых образцов, рассчитанные по данным поляризационных измерений. Плотность тока коррозии титана ВТ1-0 в растворе Хэнкса составила 9.4 × 10–7 А/см2, а в растворе искусственной слюны в 3.2 раза ниже. Согласно полученным поляризационным кривым, наименьшей коррозионной устойчивостью в растворе Хэнкса обладает образец титана ВТ1-0, плазменно-электролитическое оксидирование которого проводилось при плотности тока импульса 15 А/дм2. По сравнению с исходным образцом титана ВТ1-0 образцы, обработанные при плотности тока 60 А/дм2, в растворах Хэнкса и искусственной слюны характеризуются более низкой скоростью коррозии примерно в 30.8 и 3.8 раза соответственно.
Таблица 3. Электрохимические параметры коррозии образцов титана ВТ1-0
Плотность тока ПЭО, А/дм2 | aa, В | ba, В | ак, В | bк, В | iкор, А/см2 | Eкор, В | Z, % |
Раствор Хэнкса | |||||||
исходный образец | 0.93 | 0.21 | –1.78 | –0.24 | 9.40 × 10–7 | –0.34 | – |
15 | 1.24 | 0.19 | –0.16 | –1.24 | 8.32 × 10–8 | –0.12 | 91.15 |
30 | 1.32 | 0.21 | –1.68 | –0.24 | 8.14 × 10–8 | –0.11 | 91.34 |
60 | 1.47 | 0.24 | –1.49 | –0.21 | 3.05 × 10–8 | –0.10 | 96.76 |
Раствор искусственной слюны | |||||||
исходный образец | 0.79 | 0.17 | –1.67 | –0.20 | 2.47 × 10–7 | –0.32 | – |
15 | 1.96 | 0.31 | –1.72 | –0.24 | 1.83 × 10–7 | –0.15 | 25.91 |
30 | 1.89 | 0.28 | –1.39 | –0.18 | 8.18 × 10–8 | –0.18 | 66.88 |
60 | 1.32 | 0.20 | –1.39 | –0.18 | 6.53 × 10–8 | –0.11 | 73.56 |
Рис. 6. Спектры импеданса в виде диаграмм Найквиста исходного образца титана ВТ1-0 (кривая 1) и после ПЭО (кривые 2–4) в растворах Хэнкса (а) и искусственной слюны (б). Анодная плотность тока импульса ПЭО, А/дм2: 2 – 15; 3 – 30; 4 – 60.
В растворе Хэнкса величина защитного эффекта сформированных покрытий превышает 91%, а в растворе искусственной слюны – в 1.3–3.5 раза ниже по сравнению с раствором Хэнкса. Однако необходимо отметить, что в растворе искусственной слюны образцы титана после ПЭО при анодной плотности тока 60 А/дм2 обладают самыми низкими значениями плотности тока пассивации. Невысокие значения рассчитанного по плотностям токов коррозии защитного эффекта покрытий в растворе искусственной слюны могут быть обусловлены низкой коррозионной активностью среды и, как следствие, медленным ростом естественной оксидной пленки, формируемой при контакте металлической подложки с частицами раствора, диффундирующими через поры и микротрещины покрытия.
На рис. 6 представлены спектры импеданса в виде диаграмм Найквиста исследуемых образцов в растворах Хэнкса (рис. 6а) и искусственной слюны (рис. 6б). На годографах импеданса исходного образца титана ВТ1-0 в модельных биологических средах можно выделить только одну временную константу в виде емкостной полуокружности, которая может указывать на протекание коррозионных процессов с лимитирующей стадией переноса заряда. В то же время, на спектрах импеданса образцов после ПЭО можно выделить две временные константы в области высоких и низких частот. Это обусловлено тем, что при ПЭО обработке на поверхности титана происходит образование покрытия, состоящего из двух слоев: внутреннего компактного и внешнего пористого. Появление на спектрах импеданса образцов с нанесенным ПЭО покрытием второй временной константы сопряжено с наличием внешнего пористого слоя.
Для количественного описания полученных спектров импеданса использовали эквивалентные схемы, изображенные на рис. 7. В предложенных схемах применяли элемент постоянной фазы (СPE), который используется для описания коррозионных процессов материалов со значительной неоднородностью и шероховатостью поверхности [23–25]. Импеданс CPE выражается формулой:
(2)
где Y0 – фактор пропорциональности; n – экспоненциальный показатель, обозначающий фазовое отклонение.
Рис. 7. Эквивалентные схемы с одной (а) и двумя временными (б) константами.
В представленных на рис. 7 эквивалентных схемах Rs – сопротивление электролита, Ом × см2; R1 – сопротивление внешнего пористого слоя, Ом × см2; CPE1 – емкость внешнего слоя, Ом–1 × см–2∙cn; R2 – сопротивление внутреннего (барьерного) слоя, Ом × см2; CPE2 – емкость внутреннего слоя, Ом–1 × см–2 × cn.
Результаты подбора эквивалентной схемы для полученных спектров импеданса представлены в табл. 4.
Таблица 4. Параметры подбора эквивалентной схемы
Плотность тока ПЭО, А/дм2 | Rs, Ом см2 | R1, Ом см2 | CPE1, Ом–1cм–2сn | n1 | R2, Ом см2 | CPE2, Ом–1cм–2сn | n2 |
Раствор Хэнкса | |||||||
исходный образец | 32 | 44 976 | 1.20 × 10–4 | 0.77 | – | – | – |
15 | 21 | 12 996 | 3.93 × 10–6 | 0.66 | 191 920 | 4.96 × 10–5 | 0.55 |
30 | 33 | 28 338 | 2.37 × 10–6 | 0.68 | 174 360 | 4.17 × 10–5 | 0.57 |
60 | 29 | 22 965 | 1.69 × 10–6 | 0.66 | 2 983 000 | 3.78 × 10–5 | 0.59 |
Раствор искусственной слюны | |||||||
исходный образец | 150 | 94 000 | 8.10 × 10–5 | 0.68 | – | – | – |
15 | 136 | 74 449 | 3.86 × 10–7 | 0.76 | 344 310 | 1.89 × 10–5 | 0.53 |
30 | 155 | 61 743 | 3.06 × 10–6 | 0.62 | 983 230 | 4.25 × 10–5 | 0.58 |
60 | 192 | 37 965 | 3.22 × 10–6 | 0.64 | 1 103 500 | 3.76 × 10–6 | 0.52 |
Согласно полученным данным, значения Rs используемых коррозионных сред существенно отличаются. Раствор Хэнкса обладает более высокой ионной силой и, соответственно, большей электропроводностью, чем раствор искусственной слюны. ПЭО обработка титана ВТ1-0 способствует существенному увеличению его поляризационного сопротивления в используемых коррозионных средах. По мере роста анодной плотности тока импульсов ПЭО происходит увеличение сопротивления поверхности титана ВТ1-0. Из данных табл. 3 следует, что внутренний слой обладает более высоким омическим сопротивлением, чем пористый внешний слой. Покрытия, полученные при плотности тока 60 А/дм2, обладают наименьшей пористостью, что приводит к затруднению диффузии электролита к металлической подложке. Необходимо отметить, что модуль импеданса титана ВТ1-0 в растворе искусственной слюны в 2.1 раза выше, чем в растворе Хэнкса, что указывает на его более низкую коррозионную активность.
Известно, что гидрофильность поверхности имплантата является его важнейшей характеристикой, отвечающей за остеоинтеграцию и потенциальную биосовместимость материала. Результаты исследования смачивания водой поверхности образцов титана до и после ПЭО представлены на рис. 8.
Рис. 8. Смачивание водой поверхности образцов титана ВТ1-0 до (1) и после ПЭО (2–4). Анодная плотность тока импульса, А/дм2: 2 – 15; 3 – 30; 4 – 60.
Как видно из представленных данных, поверхность исследуемых покрытий достаточно хорошо смачивается водой. ПЭО обработка поверхности титана ВТ1-0 приводит к незначительному снижению гидрофильных свойств поверхности, о чем свидетельствует увеличение угла смачивания от 48.4 до 64.1°. Ухудшение смачивания, по-видимому, связано с формированием пористой пленки диоксида титана на поверхности образцов в процессе ПЭО.
ЗАКЛЮЧЕНИЕ
Повышение анодной плотности тока импульса ПЭО образцов титана ВТ1-0 от 15 до 60 А/дм2 приводит к снижению среднего диаметра пор формируемых покрытий от 2.2 до 1.6 мкм, а также к уменьшению количества пор, приходящихся на единицу площади поверхности. Фазовый состав формируемых при ПЭО покрытий представлен такими кристаллическими модификациями диоксида титана как рутил и анатаз, причем формирование более твердой фазы рутила в структуре оксидного покрытия наблюдается при анодной плотности тока 30 и 60 А/дм2.
Установлено, что по сравнению с исходным образцом титана ВТ1-0 повышение анодной плотности тока импульса при ПЭО до 60 А/дм2 позволяет снизить скорость коррозии образцов в 30.8 и 3.8 раза в растворах Хэнкса и искусственной слюны соответственно. Величина защитного эффекта сформированных покрытий составляет в растворе Хэнкса ~91–96%, а в растворе искусственной слюны – ~26–74%.
Таким образом, защитные свойства полученных на титане ВТ1-0 покрытий определяются их микроструктурой, пористостью и толщиной, которые в свою очередь можно контролировать, варьируя величину анодной плотности тока импульса при проведении ПЭО.
КОНФЛИКТ ИНТЕРЕСОВ
Авторы заявляют, что у них нет известных финансовых конфликтов интересов или личных отношений, которые могли бы повлиять на работу, представленную в этой статье.
ЗАЯВЛЕННЫЙ ВКЛАД АВТОРОВ
Все авторы сделали эквивалентный вклад в подготовку публикации.
ФИНАНСИРОВАНИЕ
Научные исследования выполнены в рамках гранта Президента Республики Беларусь, а также при финансовой поддержке Министерства образования Республики Беларусь в рамках ГПНИ “Механика, металлургия, диагностика в машиностроении” 2021–2023 гг., подпрограмма “Гальванотехника”, задание 4.08: “Получение имплантационных материалов на основе сплавов титана и биоразлагаемых сплавов магния с улучшенными антикоррозионными и биоцидными свойствами”, № гос. регистрации 20212333.
About the authors
А. А. Касач
Белорусский государственный технологический университет
Author for correspondence.
Email: kasach2018@bk.ru
Belarus, Минск
Е. О. Богдан
Белорусский государственный технологический университет
Email: kasach2018@bk.ru
Belarus, Минск
А. А. Ширвель
Белорусский государственный технологический университет
Email: kasach2018@bk.ru
Belarus, Минск
А. В. Поспелов
Белорусский государственный технологический университет
Email: kasach2018@bk.ru
Belarus, Минск
И. И. Курило
Белорусский государственный технологический университет
Email: september@tut.by
Belarus, Минск
References
- Alipal J., Saidin S., Lo A.K. et al. // Surfaces and Interfaces. 2023. V. 39. Р. 102872.
- Hoque M.E., Showva N.N., Ahmed M. et al. // Heliyon. 2022. Р. e11300.
- Hadzik J., Jurczyszyn K., Gębarowski T. et al. // International Journal of Molecular Sciences. 2023. V. 24. № 4. Р. 3603.
- Lu J., Yu H., Chen C. // RSC Advances. 2018. V. 8. P. 2015–2033.
- Гнеденков С.В., Шаркеев Ю.П., Синебрюхов С.Л. и др. // Тихоокеанский медицинский журнал. 2012. Т. 47 № 1. С. 12–19.
- Sartori M., Graziani G., Sassoni E. et al. Nanostructure and biomimetics orchestrate mesenchymal stromal cell differentiation: An in vitro bioactivity study on new coatings for orthopedic applications // Materials Science and Engineering: C. 2021. V. 123. P. 112031.
- Mokabber T., Lu L.Q., Rijn P. et al. // Surface & Coatings Technology. 2018. V. 334. P. 526–535.
- Montazerian M., Hosseinzadeh F., Migneco C. et al. // Ceramics International. 2022. V. 48. P. 8987–9005.
- Santos-Coquillat A., Mohedano M., Martinez-Campos E. et al. // Materials Science & Engineering: C. 2019. V. 97. P. 738–752.
- Leśniak-Ziółkowska K., Brodacz K., Babilas D. et al. // Applied Surface Science. 2023. Р. 156285.
- Baldin E.K., de Castro V.V., Santos P.B. et al. // Journal of Alloys and Compounds. 2023. Р. 168735.
- Arun S., Lim B.S., Ahn S.G. et al. // Journal of Alloys and Compounds. 2023. V. 943. Р. 169131.
- Pourshadloo M., Rezaei H.A., Saeidnia M. et al. // Surface Innovations. 2022. V. 40. № XXXX. Р. 1–10.
- Hosseini M., Khalil-Allafi J., Etminanfar M. et al. // Materials Chemistry and Physics. 2023. V. 293. Р. 126899.
- Fattah-Alhosseini A., Keshavarz M.K., Molaei M. et al. // Metallurgical and Materials Transactions A. 2018. V. 49. P. 4966–4979.
- Nikoomanzari E., Karbasi M., Melo W.C. et al. Impressive strides in antibacterial performance amelioration of Ti-based implants via plasma electrolytic oxidation (PEO): A review of the recent advancements // Chemical Engineering Journal. 2022. V. 441. P. 136003.
- Muntean R., Brîndușoiu M., Buzdugan D. et al. // Materials. 2023. V. 16. № 4. Р. 1410.
- Molaei M., Fattah-alhosseini A., Nouri M. et al. // Ceramics International. 2022. V. 48. № 5. Р. 6322–6337.
- Chebodaev V.V., Nazarenko N.N., Sedelnikova M.B. et al. // Inorganic Materials: Applied Research. 2021. V. 12. № 3. P. 691–699.
- Aliofkhazraei M., Macdonald D.D., Matykina E. // Applied Surface Science Advances. 2021. V. 5. Р. 100121.
- Zhu Z., Wu S., Long Y. et al. // Journal of Solid State Chemistry. 2021. V. 303. P. 122544.
- Uchida M., Kim H.M., Kokubo T. et al. // Journal of Biomedical Materials Research Part A: An Official Journal of The Society for Biomaterials, The Japanese Society for Biomaterials, and The Australian Society for Biomaterials and the Korean Society for Biomaterials. 2003. V. 64. № 1. Р. 164–170.
- Osipenko M.A., Kharytonau D.S., Kasach A.A. et al. // Electrochimica Acta. 2022. V. 414. Р. 140175.
- Kasach A.A., Kharytonau D.S., Paspelau A.V. et al. // Materials. 2021. V. 14. № 20. Р. 6179.
- Makarova I., Dobryden I., Kharitonov D. et al. // Surface and Coatings Technology. 2019. V. 38. Р. 125063.
Supplementary files










