Об электрохимическом осаждении и свойствах композиционных покрытий никель–оксид графена
- Авторы: Целуйкин В.Н.1, Джумиева А.С.1, Яковлев А.В.1, Тихонов Д.А.1, Трибис А.И.1, Неверная О.Г.1, Стрилец А.А.1
-
Учреждения:
- ФГБОУ ВО “Саратовский государственный технический университет им. Гагарина Ю.А
- Выпуск: Том 60, № 3 (2024)
- Страницы: 270-275
- Раздел: НАНОРАЗМЕРНЫЕ И НАНОСТРУКТУРИРОВАННЫЕ МАТЕРИАЛЫ И ПОКРЫТИЯ
- URL: https://journal-vniispk.ru/0044-1856/article/view/271299
- DOI: https://doi.org/10.31857/S0044185624030061
- EDN: https://elibrary.ru/MEHWSC
- ID: 271299
Цитировать
Полный текст
Аннотация
В стационарном режиме электролиза из сульфатно-хлоридного электролита получены композиционные электрохимические покрытия (КЭП) на основе никеля, модифицированные многослойным оксидом графена (ОГ). Исследована микроструктура данных КЭП методами рентгенофазового анализа и сканирующей электронной микроскопии. Установлено, что микротвердость КЭП никель–ОГ возрастает приблизительно в 1.20 раза по сравнению с никелем без дисперсной фазы. Изучено коррозионно-электрохимическое поведение композиционных покрытий никель–ОГ в 0.5 М растворе H2SO4. Испытания в 3% растворе NaCl показали, что включение частиц ОГ в состав электролитических осадков никеля приводит к увеличению их коррозионной стойкости в 1.45–1.50 раза.
Полный текст
ВВЕДЕНИЕ
Электрохимическое осаждение никелевых покрытий является одним из методов защиты от коррозии и износа стальных изделий. Никель и сплавы на его основе превосходят многие металлические материалы по таким свойствам, как коррозионная устойчивость, износостойкость и твердость, что обусловливает широкое их применение (машиностроение, химическая и нефтегазовые отрасли промышленности, медицинское оборудование и др.) [1, 2]. При совместном осаждении металлов с дисперсными частицами различной природы формируются композиционные электрохимические покрытия (КЭП), обладающие лучшими эксплуатационными характеристиками по сравнению с классическими гальванопокрытиями [3–5]. Среди многообразия дисперсных материалов, которые могут быть использованы в качестве дисперсной фазы для осаждения никелевых КЭП, большой интерес представляют углеродные соединения. Никелевые покрытия, в частности, могут быть модифицированы углеродными нанотрубками [6–8], графитом [9], наноалмазами [10, 11], фуллереном С60 [12–14] и др.
Графен и его производные занимают особое место среди углеродных соединений. Графен представляет собой двумерный углеродный материал, имеющий одинарную атомную структуру. Благодаря высокой удельной площади поверхности, графен придает металлической матрице отличные физико-механические свойства по сравнению со многими другими дисперсными материалами [15–17]. Однако покрытия, модифицированные графеном, чувствительны к поверхностным дефектам, особенно, в коррозионных средах [18]. Устранение этого и других недостатков стало возможным благодаря появлению оксида графена (ОГ), в структуре которого углеродные атомы связаны с поверхностными кислородсодержащими функциональными группами (карбонильными, эпоксидными, гидроксидными и др.). ОГ является гидрофильным, формирует стабильные водные дисперсии и проявляет высокую химическую активность [19]. Известно, что данное соединение инертно в агрессивной среде, что обусловливает возможность его использования для антикоррозионной защиты [20].
Цель настоящей работы – получить в стационарном режиме электролиза КЭП никель–ОГ, исследовать их структуру, физико-механические и коррозионные свойства.
МЕТОДИКА ЭКСПЕРИМЕНТА
Композиционные покрытия никель–ОГ осаждали на стальную основу (сталь 45) из электролита состава, г/л: NiSO4·7H2O 220; NiCl2·6H2O 40; C. 3COONa 30; оксид графена 10. Процесс осаждения проводили при температуре 45°С с постоянным перемешиванием электролита. Электрохимические осадки чистого никеля получали из приведенного выше раствора без дисперсной фазы ОГ.
Многослойный оксид графена синтезировали электрохимическим способом в гальваностатическом режиме путем анодного окисления порошка природного графита GB/T 3518–95 (Китай) при сообщении емкости 700 А∙ч/кг. Электролитом служила 83% H2SO4 (о.с.ч.). Детальное описание методики синтеза ОГ и состава формирующихся продуктов представлены в работе [21].
Удельную площадь поверхности оксида графена определяли методом Брунауэра-Эммета-Теллера (БЭТ) с использованием анализатора NOVA 2000e (Quantachrome Instruments, США).
Структурные исследования осуществляли при помощи cканирующего электронного микроскопа со встроенным энергодисперсионным анализатором EXplorer (Aspex, США). Рентгенофазовый анализ (РФА) проводили на рентгеновском дифрактометре ARL X’TRA (Thermo Fisher Scientific (Ecublens) SARL, Швейцария).
Электрохимические измерения выполняли на потенциостате P. 30J (Элинс, Россия). Потенциалы задавали относительно насыщенного хлоридсеребряного электрода сравнения и пересчитывали по водородной шкале.
Микротвердость осадков по Виккерсу (HV) измеряли с помощью прибора ПМТ-3 (АО “ЛОМО”, Россия), путем статического вдавливания в электролитические осадки четырехгранной алмазной пирамиды под нагрузкой 100 г. Расстояние между отпечатками составляло не менее двух диагоналей (форма отпечатка – квадрат). На основании проведенных испытаний определялись величины обеих диагоналей отпечатка. Расчет HV проводился по данным семи параллельных опытов. Погрешность измерений составляла 3%.
Коррозионно-электрохимическое поведение никелевых покрытий исследовали потенциодинамическим методом в 0.5 М раствор H2SO4 (скорость развертки потенциала Vр = 8 мВ/с). Коррозионные испытания проводились путем снятия анодных потенциодинамических кривых в 3% раствор NaCl при скорости развертки потенциала Vp = 10 мВ/с. Кривые снимали до резкого подъема тока. Коррозионную стойкость покрытий оценивали по протяженности области потенциалов пассивного состояния.
РЕЗУЛЬТАТЫ И ИХ ОБСУЖДЕНИЕ
Свойства композиционных покрытий во многом определяются свойствами и структурой дисперсной фазы. Исследование методом сканирующей электронной микроскопии (СЭМ) позволило установить, что оксид графена обладает развитой поверхностью (рис. 1а, б). Морфологический анализ ОГ показал, что данное соединение имеет слоистую упорядоченную структуру, причем толщина отдельных слоев составляет менее 0,1 мкм (рис. 1б). Удельная площадь поверхности ОГ, определенная методом БЭТ, составляет 46.78 м2/г.
Рис. 1. СЭМ-изображения структуры оксида графена. Увеличение ×1000 (а), ×10000 (б).
Оксид графена влияет на кинетику процесса осаждения никелевых покрытий. При электроосаждении никеля в присутствии ОГ происходит смещение потенциалов в область положительных значений по сравнению с чистым никелем, следовательно, скорость катодного процесса для КЭП никель–ОГ возрастает (рис. 2). На поверхности оксида графена может происходить адсорбция катионов из раствора, что приводит к формированию положительного заряда частиц дисперсной фазы. Поэтому перенос ОГ к катоду осуществляется не только вследствие конвекции, но и под действием электрофоретических сил. Вероятно, адсорбированные ионы участвуют в “мостиковом” связывании дисперсной фазы с электродной поверхностью. Это связывание ослабляет расклинивающее давление жидкостной прослойки между частицами оксида графена и катодом, усиливая адгезию.
Рис. 2. Потенциодинамические поляризационные кривые электроосаждения никеля (а) и КЭП никель–ОГ (б) (скорость развертки потенциала Vр = 8 мВ/с).
Анализ полученных покрытий методом РФА показал изменение в кристаллической структуре никеля под воздействием углеродного материала (рис. 3). Пики на дифрактограмме при 44.5° и 52.2° отвечают за кристаллические плоскости никеля (111) и (200) соответственно [8]. Как видно из дифрактограммы, преимущественной кристаллической ориентацией для никеля является направление (200), однако в присутствии ОГ происходит увеличение интенсивности пика при 44.5°, что указывает на рост кристалла никеля также в сторону плоскости (111). Очевидно, дисперсная фаза влияет на кристаллическую структуру никелевой матрицы. Слои оксида графена могут служить вакантными местами для роста зародышей металлического осадка, ограничивая рост зерен и делая их более компактными. Стоит отметить, что дифракционный пик, характерный для ОГ, не наблюдается на дифрактограмме вследствие ограниченной способности прибора фиксировать данное соединение при малых концентрациях.
Рис. 3. Рентгенограммы образцов никеля и КЭП никель–ОГ, полученных при катодной плотности тока ik = 10 А/дм2.
Исследование морфологии поверхности полученных покрытий показало, что дисперсная фаза оказывает влияние на строение осадков. Чистое никелевое покрытие (рис. 4а) характеризуется разупорядоченной, крупнозернистой структурой, близкой к рентгеноаморфной. В то же время, в присутствии ОГ никелевый осадок становится упорядоченным, равномерным и мелкозернистым (рис. 4б). Очевидно, частицы оксида графена выступают в качестве центров кристаллизации и способствуют распределению металлического никеля по катодной поверхности.
Рис. 4. СЭМ–изображения поверхности никеля (а) и КЭП никель–ОГ (б), полученных при катодной плотности тока ik = 10 А/дм2. Увеличение ×2500.
Изменение микротопологии покрытий и уменьшение размера зерна осадка должно сказываться на физико-механических свойствах. Микротвердость КЭП никель–ОГ возрастает приблизительно в 1.20 раза по сравнению с чистым никелем (табл. 1). Слои оксида графена в никелевой матрице служат вакантными местами для зародышеобразования и препятствуют излишнему увеличению в размере зерен металла, что приводит к росту скорости зародышеобразования. Как следствие, число зерен осадка существенно увеличивается, как и протяженность границ этих зерен, препятствующих движению дислокаций и пластической деформации кристаллической решетки [22]. Кроме того, оксид графена обладает отличными механическими свойствами и большой удельной площадью поверхности. Когда композиционные покрытия подвергаются внешнему воздействию, слои ОГ могут принять на себя часть этой нагрузки благодаря смещению напряжения сдвига. Движение дислокаций в металлической матрице ограничено слоями ОГ, что приводит к приросту энергии искажения решетки и сопротивлению деформации [23]. В совокупности данные факторы обусловливают возрастание микротвердости композиционных покрытий сравнению с никелем без дисперсной фазы.
Таблица 1. Микротвердость HV100, МПа покрытий на основе никеля
Катодная плотность тока ik, А/дм2 | HV100, МПа | |
Никель | Никель–ОГ | |
7 | 1938 | 2200 |
8 | 2150 | 2520 |
9 | 2350 | 2938 |
10 | 2459 | 3076 |
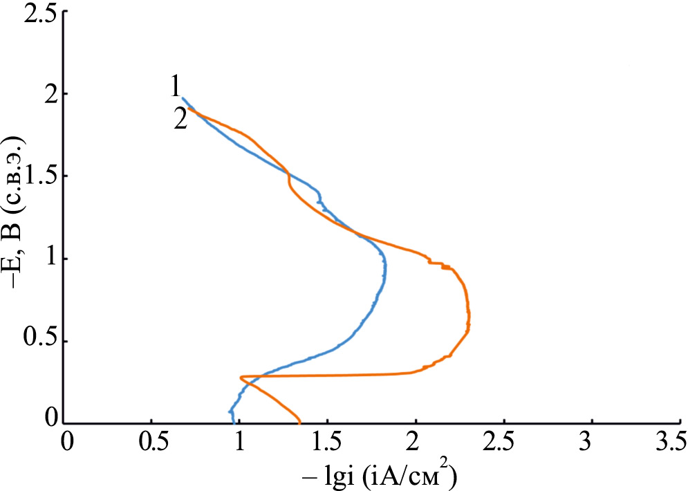
Важным эксплуатационным свойством КЭП является коррозионная стойкость. Исследование коррозионно-электрохимического поведения никелевых осадков потенциодинамическим методом в 0,5 М растворе H2SO4 показало, что частицы дисперсной фазы повышают потенциал и уменьшают ток активного анодного растворения (рис. 5). Коррозионное поведение композиционных покрытий в значительной мере обусловлено свойствами металлической матрицы, поэтому потенциалы начала пассивации никеля и КЭП никель–ОГ близки. Характерной особенностью анодных потенциодинамических кривых (ПДК) КЭП никель–ОГ является выраженная пассивная область, в то время как для чистого никелевого осадка она значительно сглажена. В дальней анодной области потенциалов частицы ОГ в объеме никелевой матрицы также оказывают значительное влияние на ход ПДК (потенциалы перепассивации изученных покрытий различаются). Потенциодинамические исследования позволили предположить, что стойкость к коррозии КЭП никель–ОГ будет выше, чем у чистого никеля.
Рис. 5. Потенциодинамические поляризационные кривые никеля (1) и КЭП никель–ОГ (2) в 0,5 М Н2SO4 (покрытия получены при катодной плотности тока ik = 10 А/дм2).
Коррозионные испытания в 3% растворе NaCl показали, что область потенциалов пассивного состояния никелевых осадков без дисперсной фазы в 1.45–1.50 раза превышает значения данной величины для композиционных покрытий никель–ОГ (табл. 2). Выявленный эффект может быть обусловлен несколькими факторами. При осаждении никеля из сульфатно-хлоридных электролитов формируются матовые пористые покрытия [3]. В процессе включения в никелевую матрицу частиц оксида графена происходит перекрытие пор. Композиционные покрытия являются тем более стойкими к коррозионному воздействию, чем выше площадь перекрытия (укрывистости) поверхности частицами дисперсной фазы, т.к. при этом обеспечивается равномерное распределение коррозионного тока между центрами, препятствующими его распространению. Кроме того, влияние дисперсной фазы в структуре КЭП на коррозию проявляется лишь в случае образования частицами на границах фаз или по всему объему соединений, более коррозионностойких, чем металлическая матрица. В противном случае развитие коррозионного процесса не прекратится, а пойдет в обход частицы. Очевидно, в случае композиционных покрытий никель–ОГ имеет место образование подобных соединений.
Таблица 2. Ширина области потенциалов пассивного состояния ЕП, В покрытий на основе никеля
Катодная плотность тока ik, А/дм2 | ЕП, В | |
Никель | Никель–ОГ | |
7 | 0,35 | 0,52 |
8 | 0,38 | 0,55 |
9 | 0,41 | 0,60 |
10 | 0,43 | 0,64 |
ЗАКЛЮЧЕНИЕ
На основании проведенных исследований можно заключить, что при введении дисперсии многослойного оксида графена в сульфатно-хлоридный электролит никелирования формируются КЭП. Включение частиц ОГ в состав никелевых осадков приводит к изменению микроструктуры их поверхности. Оксид графена оказывает определяющее влияние на физико-механические и коррозионные свойства изученных композиционных покрытий. Внедрение ОГ в матрицу электролитического никеля приводит к возрастанию микротвердости приблизительно в 1.20 раза и уменьшению скорости коррозии в 1.45–1.50 раза.
Об авторах
В. Н. Целуйкин
ФГБОУ ВО “Саратовский государственный технический университет им. Гагарина Ю.А
Автор, ответственный за переписку.
Email: tseluikin@mail.ru
Энгельсский технологический институт
Россия, 413100, Саратовская обл., Энгельс, пл. Свободы, 17А. С. Джумиева
ФГБОУ ВО “Саратовский государственный технический университет им. Гагарина Ю.А
Email: tseluikin@mail.ru
Энгельсский технологический институт
Россия, 413100, Саратовская обл., Энгельс, пл. Свободы, 17А. В. Яковлев
ФГБОУ ВО “Саратовский государственный технический университет им. Гагарина Ю.А
Email: tseluikin@mail.ru
Энгельсский технологический институт
Россия, 413100, Саратовская обл., Энгельс, пл. Свободы, 17Д. А. Тихонов
ФГБОУ ВО “Саратовский государственный технический университет им. Гагарина Ю.А
Email: tseluikin@mail.ru
Энгельсский технологический институт
Россия, 413100, Саратовская обл., Энгельс, пл. Свободы, 17А. И. Трибис
ФГБОУ ВО “Саратовский государственный технический университет им. Гагарина Ю.А
Email: tseluikin@mail.ru
Энгельсский технологический институт
Россия, 413100, Саратовская обл., Энгельс, пл. Свободы, 17О. Г. Неверная
ФГБОУ ВО “Саратовский государственный технический университет им. Гагарина Ю.А
Email: tseluikin@mail.ru
Энгельсский технологический институт
Россия, 413100, Саратовская обл., Энгельс, пл. Свободы, 17А. А. Стрилец
ФГБОУ ВО “Саратовский государственный технический университет им. Гагарина Ю.А
Email: tseluikin@mail.ru
Энгельсский технологический институт
Россия, 413100, Саратовская обл., Энгельс, пл. Свободы, 17Список литературы
- Dordsheikh Torkamani A., Velashjerdi M., Abbas A. et.al. // Journal of Composites and Compounds. 2021. № 3. P. 106–113.
- Tseluikin V.N., Dzhumieva A.S., Tikhonov D.A. et.al. // Coatings. 2022. № 12. 656.
- Целуйкин В.Н. // Российские нанотехнологии. 2014. Т. 9, № 1–2. С. 25–35.
- Walsh F.C., Wang S., Zhou N. // Current Opinion in Electrochemistry. 2020. V. 20. P. 8–19.
- Tseluikin V.N., Dzhumieva A.S., Tribis A.I. et.al. // Coatings. 2023. V. 13. 1042.
- Giannopoulos F., Chronopoulou N., Bai J. et. al. // Electrochimica Acta. 2016. V. 207. P. 76–86.
- Целуйкин В.Н., Корешкова А.А. // Физикохимия поверхности и защита материалов. 2018. Т. 54. № 3. С. 293–296.
- Jyotheender K.S., Gupta A., Srivastava Ch. // Materialia. 2020. V. 9. 100617.
- Rai, P.K., Gupta, A. // Materials Today Proceedings. 2021. V. 44. P. 1079–1085.
- Chayeuski V.V., Zhylinski V.V., Rudak P.V. et al. // Applied Surface Science. 2018. V. 446. P. 18–26.
- Makarova I., Dobryden I., Kharitonov D., Kasach A. et al. // Surface & Coatings Technology. 2019. V. 380. 125063.
- Целуйкин В.Н., Толстова И.В., Гунькин И.Ф., Панкстьянов А.Ю. // Коллоидный журнал. 2005. Т. 67. № 4. С. 575–576.
- Antihovich, I.V.; Ablazhey, N.M.; Chernik, A.A.; Zharsky, I.M. // Procedia Chemistry. 2014. V. 10. P. 373–377.
- Целуйкин В.Н. // Физикохимия поверхности и защита материалов. 2017. Т. 53. № 3. С. 278–281.
- Algul H., Tokur M., Ozcan S. et al. // Applied Surface Science. 2015. V. 359. P. 340–348.
- Li W., Wang S., Wang Q., Xing M. // Composites Part B: Engineering. 2018. V. 133. P. 35–41.
- Yasin G., Arif M., Nizam N.M., Shakeel M. et al. // RSC Advances. 2018. V. 8. P. 20039–20047.
- Ambrosi A., Pumera M. // Chemistry: A European Journal. 2015. V. 21. P. 7896–7901.
- Lee M., Paek S.-M. // Nanomaterials. 2022. V. 12. P. 1507.
- Gupta A., Srivastava C. // Thin Solid Films. 2019. V. 669. P. 85–95.
- Яковлев А.В., Яковлева Е.В., Целуйкин В.Н. и др. // Журнал прикладной химии. 2020. Т. 93. № 2. С. 222–228.
- Hong Q., Wang D., Yin S. // Materials Today Communications. 2023. V. 34. 105476.
- Lai R., Shi P., Yi Z., Li H., Yi Y. // Micromachines. 2023. V. 14. 953.
Дополнительные файлы








