Сорбционная активность пектина, модифицированного ароматическими аминокислотами, по отношению к ионам марганца (II)
- Авторы: Мударисова Р.Х.1, Сагитова А.Ф.2, Новоселов И.В.3
-
Учреждения:
- Уфимский институт химии УФИЦ РАН
- Уфимский университет науки и технологий
- Уфимский государственный нефтяной технический университет
- Выпуск: Том 60, № 4 (2024)
- Страницы: 348-357
- Раздел: ФИЗИКО-ХИМИЧЕСКИЕ ПРОЦЕССЫ НА МЕЖФАЗНЫХ ГРАНИЦАХ
- URL: https://journal-vniispk.ru/0044-1856/article/view/271521
- DOI: https://doi.org/10.31857/S0044185624040028
- EDN: https://elibrary.ru/MAMWSQ
- ID: 271521
Цитировать
Полный текст
Аннотация
Изучено влияние химического модифицирования на сорбционные свойства яблочного пектина по отношению к ионам Mn2+. Модификация пектина проводилась ароматическими аминокислотами (L-гистидин, L-триптофан, L-фенилаланин) в водной среде при рН = 7. Обнаружено увеличение эффективности извлечения (на 12.6–21.4%) ионов Mn2+ модифицированными пектиновыми сорбентами по сравнению с исходным полисахаридом, что обусловлено изменением их физико-химических характеристик и появлением в структуре новых сорбционных центров. Значения термодинамических параметров указывают на протекание процесса химической адсорбции (∆H° = –42.6 ÷ –24.3 кДж/моль). Показано, что сорбция на модифицированных пектинах наилучшим образом описывается изотермой Ленгмюра.
Ключевые слова
Полный текст
ВВЕДЕНИЕ
Загрязнение биосферы тяжелыми металлами стало одной из глобальных проблем, обусловленной их поступлением в окружающую среду как с промышленными сточными водами, так и с рассеиванием с газовыми выбросами. Тяжелые металлы способны концентрироваться в растениях, водоемах, в почве, а затем с продуктами питания, питьевой водой и воздухом поступать в организм человека [1, 2]. В сточных водах, а также в природных подземных водах, как правило, содержатся соединения марганца [3]. Избыточное поступление марганца в основном вредит центральной нервной системе, печени и почкам человеческого организма [4, 5]. В связи с этим как никогда актуальна проблема разработки сорбентов, способных эффективно извлекать ионы тяжелых металлов, в частности, ионов марганца из водных сред. Перспективным направлением в области адсорбционных технологий является разработка сорбирующих материалов на основе полисахаридов, модифицированных биологически активными агентами, с оптимальным комплексом адсорбционных, фильтрационных и конструкционных свойств [6–12]. Сорбенты на основе полисахаридов являются экологически чистыми и биологически инертными и могут быть получены из доступного дешевого и возобновляемого природного сырья. Среди полисахаридов можно выделить пектин (ПК), обладающий своими уникальными сорбирующими свойствами [13–16]. Полифункциональная природа ПК определяет его одну из самых высоких в ряду природных полисахаридов комплексообразующую способность, что позволяет использовать его в качестве эффективного сорбента не только для извлечения, разделения и концентрирования ионов тяжелых металлов, но и в качестве противомикробных и других медицинских препаратов [17–23]. Вместе с тем, нативный ПК не удовлетворяет всему широкому спектру требований, предъявляемых сегодня к полимерам полифункционального назначения, что ограничивает возможности его применения в ряде перспективных областей. Направленная химическая модификация является наиболее эффективным инструментом, позволяющим тонко регулировать хелатирующую способность ПК не только за счет введения функциональных групп, но и за счет формирования пространственных структур определенного строения [24–33]. Одним из эффективных способов химической модификации является комплексообразование ПК путем введения в полимерную матрицу биологически активных органических агентов, имеющих сорбционно-активные функциональные группы. При этом наблюдается изменение гидрофильности, заряда макромолекулы полимера, комплексообразующей способности, морфологических и структурных характеристик ПК, что может отражаться на его сорбционных свойствах [34-37].
В связи с этим, целью настоящей работы является изучение сорбционных свойств яблочного пектина, модифицированного ароматическими аминокислотами (L-триптофан, L-гистидин, L-фенилаланин) по отношению к ионам Mn2+ и установление взаимосвязи структуры биосорбентов с его сорбционной активностью.
ЭКСПЕРИМЕНТАЛЬНАЯ ЧАСТЬ
Яблочный пектин товарной марки Unipectine XPP 240 с молекулярной массой 26000 Da и степенью этерифицирования 66%. Ароматические аминокислоты (АК): L-фенилаланин (Phe), L-гистидин (His), L-триптофан (Trp) марки “х.ч.” использовали без дополнительной очистки и высушивали в вакуумном шкафу перед взятием навесок до постоянной массы при 343 К. В качестве источников ионов Mn2+ использовали хлористый марганец – MnCl2∙4H2O марки “ч.д.а.”. В ходе исследования использовалась деионизированная вода.
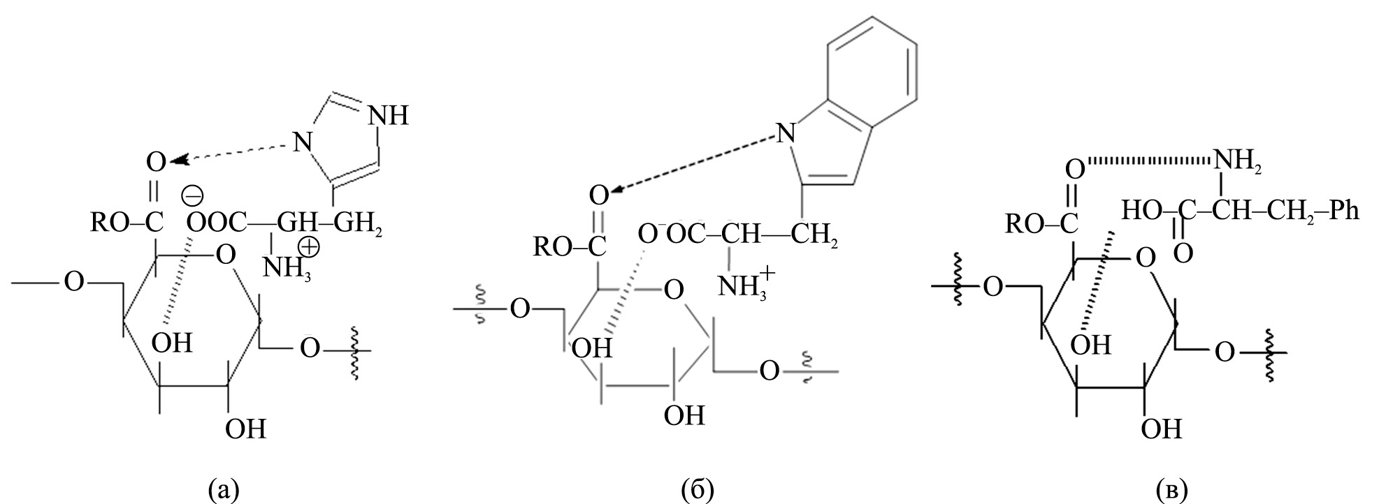
Пектиновые сорбенты получали согласно [37, 38] комплексообразованием ПК с вышеуказанными аминокислотами в водных растворах при pH ~ 7.0 с образованием модифицированных пектинов (МП) следующих структур, представленных на рис. 1.
Рис. 1. Структуры перспективных звеньев модифицированных пектинов: ПК-His (А), ПК-Trp (Б), ПК-Phe (В).
Полученные МП анализировали на содержание углерода, водорода и азота на анализаторе марки EUKOEA-3000. Структурно-адсорбционные характеристики МП представлены в табл. 1.
Таблица 1. Физико-химические характеристики модифицированных пектинов
Показатель | Полисахаридная матрица | |||
ПК | ПК–His | ПК–Trp | ПК–Phe | |
Сэксп./Стеор.,% | 40.25/42.11 | 42.83/44.38 | 51.43/53.68 | 52.13/53.45 |
Нэксп./Нтеор., % | 5.49/4.86 | 5.23/5.33 | 4.91/5.26 | 5.81/5.75 |
Nэксп./Nтеор., % | – | 11.25/11.40 | 7.29/7.37 | 5.01/4.02 |
Sуд (теор.), м2/г | 210.8 | 278.2 | 249.2 | 251.3 |
Влажность, % | 2.3 | 4.1 | 3.3 | 2.1 |
Свободные СООН-группы, % | 7.7 | 11.7 | 3.7 | 4.1 |
рКа | 4.50 ± 0.10 | 4.46 ± 0.10 | 4.14 ± 0.10 | 3.89 ± 0.10 |
a20D, (град·см3)/(дм·г) | +180 ± 2 | +99 ± 1. | +44 ± 1 | +144 ± 2 |
D, мкм | 1.79 | 0.16 | 3.46 | 4.57 |
lgβк | – | 4.0 | 3.8 | 2.3 |
lmax, нм, Н2О | 210 | 206 | 218, 278 | 249, 254, 260, 266 |
УФ-спектры растворов снимали в кварцевых кюветах на спектрофотометре Shimadzu UV-VIS-NIR 3100 при толщине поглощающего слоя 1 см в области 200–900 нм. ИК-спектры образцов регистрировали на ИК-Фурье-спектрометре Shimadzu IR-Prestige-21 (3600–700 см–1, таблетки KBr). Диаметры частиц (D) образцов определяли в вазелиновом масле методом лазерного рассеяния на приборе Sald 7101 (Shimadzu). Величину удельного вращения (a20D) водных растворов соединений (С = 0.1 г/100 мл) измеряли на поляриметре “Perkin-Elmer” (модель 141). Содержание свободных карбоксильных групп и влажность образцов определяли согласно методике [39]. Площадь удельной поверхности рассчитывали согласно [40].
Константу устойчивости (βк) ПК-АК определяли спектрофотометрическим методом мольных отношений при рН ~ 7.0 [41]. Молярные отношения [ПК]:[АК] варьировали от 50:1 до 1:20. В сериях растворов с постоянной концентрацией АК, равной 1·10–4 моль/л, концентрацию ПК изменяли от 1·10–5 до 1·10–3 моль/л. Ионную силу поддерживали постоянной, равной 0.1 моль/л (NaCl, х.ч.).
По методу мольных отношений [41] спектральные изменения для раствора ПК-АК описываются уравнением:
[АК]0/(А–А0)=1/(ε–ε0)+1/((ε–ε0)∙βк [ПК]), (1)
где А и А0– оптические плотности растворов в присутствии и отсутствии ПК; [АК]0 – начальная концентрация соответствующей аминокислоты; ε и ε0 – молярные экстинкции соответствующего состава; βк – константа устойчивости; [ПК] – концентрация пектина. Из графика зависимости [АК]0/(А–А0) от 1/[ПК] по тангенсу угла наклона находили константу устойчивости модифицированных пектинов.
Константы кислотной диссоциации pKa (табл. 1) определяли методом потенциометрического титрования при 25°С раствором 0.5 М NaOH [42]. На титрование брали 2.5 мл 0.01М раствора МП, добавляли 0.5 мл 1н HCl для снижения кислотности среды, ионную силу создавали с помощью 1–2 мл 2М раствора NaCl. Конечный объем титруемой смеси составлял 25 мл раствора. Концентрацию [HA] находили из того, что на титрование брали 2.5 мл 0.01М МП на V = 25 мл. Первоначальная концентрация перед процессом титрования [МП] = 0.001М. В процессе титрования добавляли кратные соотношения щелочи, т.е. 0.05 мл 0.5М NaOH, в результате чего нейтрализуется 0.1 часть исследуемого раствора. Расчет значений констант кислотной диссоциации функциональных групп МП проводили с использованием уравнения Гендерсона–Гассельбаха:
рКа = рН + lg[HA]/[A–], (2)
где [HA] – концентрация МП, оставшаяся после добавления каждой кратной порции раствора 0.5 М NaOH; [A–] – концентрация иона пектата после нейтрализации ОН-группы в результате титрования добавлением 0.1 части раствора 0.5 М NaOH.
Изучение процесса сорбции ионов Mn2+ модифицированными пектинами осуществляли в статических условиях при перемешивании и термостатировании при 298 К и при оптимальном значении рН. Для получения кинетических кривых сорбции в серию пробирок (V = 20 мл) помещали навески сорбента массой (m) 0.1 г, заливали их 2 мл водного раствора хлорида марганца (II) с начальной концентрацией 0.1 моль/л, доводили объем до 20 мл дистиллированной водой и выдерживали от 15 до 240 минут. Начальная концентрация (С0) ионов Mn2+ составляла 0.01 моль/л. Через каждые 15 минут раствор отделяли от сорбента фильтрованием и определяли в нем текущую концентрацию (Сτ) ионов Mn2+ спектрофотометрическим методом [43].
Сорбционную емкость (Аt) сорбентов в момент времени t рассчитывали по формуле:
Аt=(Со–Сt)∙V/m. (3)
В условиях установившегося равновесия в системе определяли равновесную концентрацию ионов Мn2+ в растворе (Ср) и рассчитывали равновесную сорбционную емкость (Ар):
Ар = (Со–Ср)∙V/m. (4)
Степень извлечения (α)ионов марганца (II) определяли по формуле:
α = (Со–Ср)∙100%/Со. (5)
Сорбционное равновесие в системах “МП – ион Mn2+” изучали при температуре 298 К в статических условиях методом переменных концентраций. Экспериментально полученные изотермы сорбции ионов Mn2+ модифицированными пектинами промоделированы с использованием простых адсорбционных уравнений Ленгмюра и Фрейндлиха.
Уравнение Ленгмюра используется для описания равновесной изотермы сорбции, которая справедлива для однослойной сорбции с ограниченным количеством идентичных участков и представляется в виде формулы:
, (6)
где А∞ – максимальная сорбционная емкость сорбента (ммоль/г); C – конечная равновесная концентрация Mn2+ (ммоль/мл); А – сорбционная емкость сорбента при конечной равновесной концентрации (ммоль/г); KD – константа распределения, связанная с аффинностью участков связывания (мл/ммоль) и рассматривается как химическое сродство между сорбентом и сорбатом.
Эмпирическое уравнение Фрейндлиха используется для описания сорбции молекул на гетерогенной поверхности:
, (7)
где K и n – константы Фрейндлиха, указывающие на сорбционную способность (ммоль/г) и интенсивность, соответственно. K и n можно определить с помощью линейного графика logA от logC.
Сродство между ионами металлов (II) и сорбентами оценено с использованием параметра уравнения Ленгмюра КD по величине безразмерного коэффициента разделения RL [44]:
, (8)
где С0 – начальная концентрация ионов металла (II) в растворе (ммоль/л).
Исследование влияния температуры на сорбционные свойства МП осуществляли при температурах от 273 К до 333 Ки при оптимальном значении рН для каждой сорбционной системы.
Термодинамические параметры сорбции рассчитывали по уравнениям:
, (9)
, (10)
. (11)
Уравнение (10) показывает, что в графической форме температурная зависимость lnKD = f(1/T) представляет собой прямую, тангенс угла наклона которой позволяет найти ΔH°/R, а отсечение на графике дает ΔS°/R. Изменение свободной энергии Гиббса ΔG° вычисляли по уравнению (11).
Для исследования влияния рН среды на эффективность извлечения ионов Mn2+ в серию пробирок помещали навески сорбента по 0.1 г, заливали их 2 мл водного раствора MnCl2∙4H2O (С = 10–1 моль/л) с заданным значением рН в области 1–12 и выдерживали в течение 1 часа при перемешивании и при температуре 298 К. Для каждого опыта использовали свежеприготовленные растворы. Необходимую величину рН создавали 0.1М HCl и 0.1М NaOH и контролировали по рН-метру “АНИОН 4100”.
Относительная погрешность экспериментов рассчитывалась на основании данных равновесных и кинетических опытов, в которых каждая точка представляет собой среднее значение из трех параллельных опытов. Погрешность эксперимента не превышала 5–7%.
РЕЗУЛЬТАТЫ И ИХ ОБСУЖДЕНИЕ
Структура адсорбционного слоя на твердых сорбентах косвенно выражается в форме изотермы сорбции. Экспериментально полученные изотермы сорбции ионов Mn2+ пектиновыми сорбентами приведены на рис. 2.
Рис. 2. Изотермы сорбции ионов Mn2+ модифицированными пектинами из водного раствора хлорида марганца (II).
Экспериментальные изотермы сорбции ионов Mn2+ модифицированными пектинами обработаны в рамках двух уравнений адсорбции (6, 7) Ленгмюра и Фрейндлиха, наиболее часто используемых исследователями при описании полученных изотерм сорбции ионов различных металлов пектинсодержащими материалами [45].
Значения констант уравнений Ленгмюра и Фрейндлиха для всех сорбционных систем приведены в табл. 2.
Таблица 2. Параметры обработки изотерм сорбции ионов Mn2+ модифицированными пектинами по уравнению Ленгмюра и Фрейндлиха
Сорбент | Обработка изотерм по уравнению Ленгмюра | Обработка изотерм по уравнению Фрейндлиха | |||||
A∞, ммоль/г | КD, л/ммоль | RL | R2 | K, ммоль/г | n | R2 | |
ПК | 1.49 | 0.38 | 0.995 | 0.994 | 0.55 | 1.02 | 0.969 |
ПК–Phe | 1.74 | 0.57 | 0.994 | 0.973 | 0.84 | 1.44 | 0.947 |
ПК–Trp | 1.79 | 0.76 | 0.992 | 0.999 | 0.67 | 1.58 | 0.990 |
ПК–His | 1.92 | 0.88 | 0.997 | 0.992 | 0.69 | 2.10 | 0.711 |
Сорбционный процесс оценивали по коэффициенту RL (табл. 2). Известно, что при RL > 1 условия для процесса сорбции неблагоприятны, при RL = 1 наблюдается линейная зависимость, при 0 <RL <1 условия для сорбции благоприятны, а при RL = 0 процесс сорбции будет протекать необратимо [44]. Из табличных значений RL видно, что условия проведения сорбционного процесса для всех МП благоприятны. Константа сорбционного равновесия KD в уравнении Ленгмюра характеризует химическое сродство сорбата к сорбенту. Чем сильнее это взаимодействие, тем больше константа сорбционного равновесия и тем сильнее выражено сродство. Сродство сорбата к сорбенту определяется их свойствами и, следовательно, степень влияния сорбента на величину сорбционной емкости определяется химической природой его поверхности и размером пор. Из полученных результатов видно, что наибольшим сродством к катионам Mn2+ обладает система ПК–His, что закономерно для данной системы, обладающей самой большой удельной площадью поверхности, самым меньшим размером частиц и самой большой константой устойчивости (табл. 1).
В уравнении Фрейндлиха количественной мерой сродства сорбата к поверхности сорбента служит параметр К, который отражает относительную сорбционную способность сорбента. Его значения подтверждают, что модификация ПК аминокислотами приводит к увеличению сродства ионов Mn2+ к поверхности МП. Значение константы n в уравнении Фрейндлиха больше 1, что свидетельствует о благоприятных условиях, связанных с уменьшением энергии связи сорбент–сорбат по мере заполнения поверхности [46].
Таким образом, как свидетельствуют коэффициенты корреляции (R2), при 298 K процесс адсорбции ионов Mn2+ модифицированными пектинами наиболее адекватно описывается моделью мономолекулярной адсорбции Ленгмюра.
На рис. 3 приведены интегральные кинетические кривые сорбции ионов Mn2+ модифицированными пектинами. Установлено, что природа сорбента оказывает существенное влияние как на время установления сорбционного равновесия, так и на эффективность сорбции. Быстрее всего (60 мин) сорбционное равновесие устанавливается на системе ПК-Trp, а степень извлечения ионов Mn2+ увеличивается в ряду: ПК–His > ПК–Tr p> ПК–Phe, который коррелирует со значениями удельной площади поверхности, размерами частиц и константами устойчивости (βк) МП (табл. 1). При этом величины сорбционной емкости модифицированных пектинов в зависимости от природы аминокислоты составляют 1.74–1.92 ммоль/г, что соответствует степени извлечения 87.0–95.8%. Полученные результаты свидетельствуют о сохранении хороших равновесно-кинетических свойств модифицированных биосорбентов.
Рис. 3. Интегральные кинетические кривые сорбции ионов Mn2+ модифицированными пектинами из водного раствора хлорида марганца (II).
Известно, что для представления полной картины механизма поглощения в системе “раствор сорбата – фаза сорбента” также необходимо рассматривать ее при различных условиях, оценка влияния которых позволяет раскрыть особенности равновесия и кинетики всего процесса. Одними из таких факторов являются кислотность среды и температура.
Зависимость степени извлечения ионов Mn2+ пектиновыми сорбентами от кислотности водной фазы имеет экстремальный характер с максимумом сорбции в интервале pH 4.0–6.0 в зависимости от структуры введенной в пектин аминокислоты (рис. 4). Подавление диссоциации кислотных функциональных групп биосорбентов с увеличением кислотности водной фазы (рН < 3.0) препятствует их взаимодействию с катионами Mn2+. Снижение сорбционной емкости при увеличении рН > 7.0 может быть связано с образованием частично гидролизованных форм в водной фазе и снижением содержания свободных карбоксильных групп в фазе сорбента по мере насыщения его ионами Mn2+.
Рис. 4. Зависимость степени извлечения ионов Mn2+ модифицированными пектинами от рН водного раствора.
При увеличении температуры проведения сорбционного процесса в системах “пектиновый сорбент-ион Mn2+” в интервале от 273 К до 333 К степень извлечения снижается на 63.3–82.9% в зависимости от структуры МП (табл. 3), что может быть обусловлено ослаблением взаимодействия между ионами Mn2+ и поверхностью сорбента. Термодинамические параметры сорбции представлены в табл. 3.
Таблица 3. Термодинамические параметры сорбции ионов Mn2+модифицированными пектинами
Сорбент | Т, К | α, % | ∆H°, кДж/ моль | ∆S°, Дж/моль·К | ∆G°298, кДж/ моль |
ПК | 273 293 313 333 | 91.8 74.4 68.3 60.2 | –24.3 | –26.8 | –16.4 |
ПК–His | 273 293 313 333 | 94.9 95.8 60.1 31.6 | –42.6 | –84.4 | –17.0 |
ПК–Trp | 273 293 313 333 | 90.7 89.3 21.6 7.8 | –38.5 | –76.2 | –15.4 |
ПК–Phe | 273 293 313 333 | 90.1 87.0 49.5 20.9 | –40.1 | –79.8 | –15.9 |
В процессе адсорбции молекулы сорбата теряют определенное число степеней свободы и образуют более упорядоченную конфигурацию внутри сорбента, о чем свидетельствуют отрицательные значения ΔS°. Сорбция протекает с понижением свободной энергии, соответственно, изменение энтальпии также должно быть отрицательным, так как энтропия системы уменьшается. Значения ΔH° имеют отрицательные величины, что свидетельствует об экзотермичности процесса сорбции. ΔG° < 0 свидетельствует о смещении равновесия в сторону перехода ионов Mn2+ из водной фазы в фазу твердого сорбента.
ИК-спектральный анализ использовали для получения информации о возможном взаимодействии между функциональными группами адсорбента с ионами Mn2+. Можно выделить три спектральные области, в которых наиболее заметно наблюдаются различия в характере и интенсивности полос поглощения (ПП) исходных МП по сравнению с МП после сорбции ионов Mn2+ (табл. 4).
Таблица 4. Волновые числа (см–1) максимумов полос поглощения систем МП–Mn2+
Комплекс | n(ОH) | n(СН) | nas(СОО–) | ns(СОО–) | Δ(СОО–) | n(С–О–С) |
ПК–Mn2+ | 3396 | 2934 | 1604 | 1409 | 195 | 1020, 1099 |
ПК–Phe–Mn2+ | 3372 | 2930 | 1602 | 1417 | 185 | 1018, 1095 |
ПК–His–Mn2+ | 3138 | 2930 | 1600 | 1411 | 189 | 1012, 1099 |
ПК–Trp–Mn2+ | 3195 | 2923 | 1606 | 1415 | 191 | 1009, 1098 |
Первая область изменений относится к ПП n(-ОН), ассоциированных водородной связью (3400–3200 см–1). Значительный сдвиг ПП в низкочастотную область в присутствии катионов Mn2+(~ на 10–20 см–1) свидетельствует о разрыве или ослаблении водородных связей в результате координации катионов Mn2+ с гидроксильными группами МП. Так, известно, что кислородные атомы гидрокси-групп углеводов в области нейтрального и щелочного рН способны связывать металлы с образованием прочных хелатных комплексов [47].
Во второй области ИК-спектров наблюдается уменьшение интенсивности ПП n(С=О) в области 1740–1700 см–1 и появление асимметричных (1562–1615 см–1) и симметричных (1409–1494 см–1) колебаний ионизированных карбоксилов.
В третьей из наблюдаемых областей в ИК-спектрах МП-Mn2+ происходит изменение ПП n(С-О-С) пиранозного цикла (1008–1103 см–1), наблюдается высокочастотный сдвиг, обусловленный образованием связи ионов Mn2+ с кислородным атомом пиранозного цикла.
Данные ИК-спектров свидетельствуют о координационном взаимодействии МП с катионами Mn2+ не только за счет карбоксильных групп, но и посредством ОН- и С–О–C групп полимерной матрицы. Предполагаемые структурные фрагменты систем МП–Mn2+ представлены на рис. 5. Следовательно, можно предположить, что основным механизмом процесса сорбции является ионный обмен, сопровождающийся образованием комплексных соединений.
Рис. 5. Структурные фрагменты металлокомплексов ПК-Trp-Mn2+(А), ПК-Нis-Mn2+ (Б), ПК-Phe- Mn2+(В).
ЗАКЛЮЧЕНИЕ
Таким образом, путем модифицирования яблочного пектина ароматическими аминокислотами (L-гистидин, L-триптофан, L-фенилаланин) получены новые биосорбенты, обладающие высокой сорбционной активностью по отношению к ионам Mn2+ по сравнению с нативным пектином. Обнаружено, что модифицированные пектины превосходят нативный пектин по сорбционной емкости на 12–20%. Сорбционная активность модифицированных пектинов по отношению к ионам Mn2+ увеличивается в ряду: ПК–His > ПК–Trp > ПК–Phe, что коррелирует с изменением удельной площади поверхности, размером частиц и констант устойчивости. Показано, что зависимость величины сорбционной емкости от равновесной концентрации ионов Mn2+ подчиняется уравнению Ленгмюра (R2 = 0.973–0.999), что соответствует образованию мономолекулярного сорбционного слоя на поверхности МП. Подобраны оптимальные условия проведения процесса сорбции ионов Mn2+ исследуемыми сорбентами, при которых достигаются высокие показатели сорбционной активности (время 60 мин, рН ~4.0–6.0, Т = 273 К). Согласно рассчитанным термодинамическим параметрам процесса сорбции ионов Mn2+модифицированными пектинами установлено, что сорбция представляет собой экзотермический процесс, который можно рассматривать как химическую адсорбцию.
Об авторах
Р. Х. Мударисова
Уфимский институт химии УФИЦ РАН
Автор, ответственный за переписку.
Email: mudarisova@anrb.ru
Россия, пр. Октября, 71, Уфа, 450054
А. Ф. Сагитова
Уфимский университет науки и технологий
Email: mudarisova@anrb.ru
Россия, ул. Мингажева, 100, Уфа, 450076
И. В. Новоселов
Уфимский государственный нефтяной технический университет
Email: mudarisova@anrb.ru
Россия, ул. Космонавтов, 1, Уфа, 45006
Список литературы
- Saravanan A., Kumar P.S., Jeevanantham S., et al. // Chemosphere. 2021. V. 280. P. 130595.
- Saha N., Rahman M.S., Ahmed M.B., et al. // Journal of Environmental Management. 2017. V. 185. P. 70–78.
- Калюкова Е.Н., Письменко В.Т., Иванская Н.Н. // Сорбционные и хроматографические процессы. 2010. Т. 10. № 2. С. 194–200.; Kalyukova E.N., Pismenko V.T., Ivanskaya N.N. // Sorption and chromatographic processes. 2010. V. 10. № 2. Р. 194–200.
- Huang C.C. // Chang Gung Med. J. 2007. V. 30. Р. 385-395.
- De Bie R.M.A., Gladstone R.M., Strafella A.P., et al. // Arch. Neurology. 2007. V. 64. Р. 886–889.
- Vandenbossche M., Jimenez M., Casetta M., et al. // Critical Reviews in Environmental Science and Technology. 2015. V. 45. № 15. P. 1644–1704.
- Li H., Wang Y., Ye M., et al. // Journal of Colloid and Interface Science. 2021. V. 600.P. 752–763.
- Cataldo S., Villaescusa I. // Reactive and Functional Polymers. 2013. V. 73. P. 207–217.
- O'Connell D.W., Birkinshaw C., O'Dwyer T.F. // Bioresource Technology. 2008. V. 99. P. 6709–6724.
- Shao Z., Lu J., Ding J., et al. // International Journal of Biological Macromolecules. 2021. V. 176. P. 217–225.
- Wu F.C., Tseng R.L., Juang R.S. // Journal of Environmental Management. 2010. V. 91. P. 798–806.
- Hastuti B., Siswanta D. // International Conference on Chemistry and Material Science. 2017. V. 299.
- Li J., Yang Z., Ding T., et al. // Carbohydrate Polymers. 2022. V. 276. P. 118789.
- Arachchige M.P.M., Mu T., Ma M. // Chemosphere. 2021. V. 262. P. 128102.
- Zhu W., Yang J., Hu D., et al. // Food Function. 2021. V. 12. №6. P. 2418-2427.
- Zhang W., Song J., He Q., et al. // Journal of Hazardous Materials. 2020. V. 384. P. 121445.
- Bok-Badura J., Jakóbik-Kolon A. // Hydrometallurgy. 2022. V.213. Р. 105937.
- Li D., Li J., Dong H., et al. // International Journal of Biological Macromolecules. 2021. V. 185. P. 49–65.
- KedirW.M., Deresa E.M., DiribаT.F. // Heliyon. 2022. V. 8. P. 10654.
- Nemiwal M., Zhang T.C., Kumar D. // Carbohydrate Polymer Technologies and Applications. 2021. V. 2. P. 100164.
- Maria C., Freitas P., Jane S., et al. // Coatings. 2021. V. 11.P. 922.
- Chen J., Liu W., Liu C., et al // Critical Reviews in Food Science and Nutrition. 2015. V. 55. № 12. P. 1684-1698.
- Singhal S., Hulle N. // Applied Food Research. 2022. V. 2. P. 100215.
- Bhuyan M., Okabe H., Hidaka Y., et al. // Journal of Applied Polymer Science. 2017. V. 45906.
- Yamada M., Shiiba S. // Journal of Applied Polymer Science. 2015. V. 132. № 24. P. 42056.
- Zauro S., VashalakshiB. // Separation Science and Technology. 2018. V. 53. № 14. P. 2170–2185.
- Sivagangi Reddy N., Madhusudana R., Sudha Vani T., et al. // Desalination and Water Treatment. 2015. V. 14. P. 1–12.
- Guo J.J., Zhang J.Y., Yue Y., et al .// Bulgarian Chemical Communications. 2014. V. 46. № 4. P. 801–805.
- Chen J., Liu W., Liu C.-M., et al. // Critical Reviews in Food Science and Nutrition. 2015. V. 55. № 12. Р. 1684–1698.
- Wang X., Li Y., Dai T., et al. // Carbohydrate Polymers. 2021. V. 260. P. 117811.
- Reddy N. S., Rao K. M., Vani T. J. S., et al. // Desalination and Water Treatment. 2016. V. 57. № 14. P. 6503–6514.
- Kupchik L.A., Kartel’ N.T., Bogdanov E.S., et al. // Russian Journal of Applied Chemistry. 2006. V. 79. № 3. P. 457–460.
- Ruihong L., Ya Li, Li Huang, et al. // Carbohydrate Polymers. 2020. V. 234. P. 115911.
- Mudarisova R..Kh., Sagitova A.F., Kukovinets O.S. // Protection of Metals and Physical Chemistry of Surfaces. 2022. V. 58. № 5. P. 927–934.
- Diao J., Bai F., Wang Y.et al. // Journal of Inorganic Biochemistry. 2019. V. 191. P. 135–142.
- Bayon B., Castro V., Guillermo R. // Microporous and Mesoporous Materials. 2016. V. 226. P. 71–78.
- Mudarisova R..Kh., Kukovinets O.S., Kolesov S.V., et al. // Russian Journal of Physical Chemistry A. 2021. V. 95. № 9. P. 1827–1832.
- Мударисова Р.Х., Вакульская А.А., Куковинец О.С., и др.// Вестник Башкирского университета. 2022. Т. 27. №1. С. 51–56.; Mudarisova R.Kh., Vakulskaya A.A., Kukovinets O.S., et al. // Vestnik Bashkirskogo Universiteta. 2022. V. 27. № 1. Р. 51–56.
- Донченко Л.В. Технология пектинов и пектинопродуктов. М.: ДеЛи, 2000. 256 с.; Donchenko L.V. Technologiya pectinov i pectinoproductov (Technology of pectins and pectin products), Moscow: DeLi, 2000. 256 p.
- Улитин М.В., Филиппов Д.В., Федорова А.А. Поверхностные явления. Адсорбция: Учебное пособие./ ФГБОУ ВПО Ивановский государственный химико-технологический университет. Иваново. 2014. 206 с.; Ulitin M.V., Filippov D.V., Fedorova A.A. Surface phenomena. Adsorption: Textbook. / Ivanovo State University of Chemical Technology. Ivanovo. 2014. 206 p.
- Булатов И.П., Калинкин М.И. Практическое руководство по фотометрическим методам анализа. Л.: Химия, 1986. 432 с.; Bulatov I.P., Kalinkin M.I. A Practical Guide to Photometric Methods of Analysis. L.: Chemistry, 1986. 432 p.
- Альберт A., Сержент E. Константы ионизации кислот и оснований. Москва, Ленинград.: Химия, 1964. 380 c.; Albert A., Sergeant E. Konstanty ionizacii kislot i osnovanii (Ionization constants of acids and bases), Moscow, Leningrad: Chemistry, 1964. 380 p.
- Золотов Ю.А. Основы аналитической химии. Практическое руководство. М.: Высшая школа, 2001. 463 с; Zolotov Yu.A. Osnovy analiticheskoy khimii. Practicheskoe rukovodstvo (Fundamentals of analytical chemistry. Practical guide), Moscow: Higher School, 2001. 463 p.
- Кокотов Ю.А.,Золотарев П.П., Елькин Г.Э. Теоретические основы ионного обмена: Сложные ионообменные системы. Л.: Химия, 1986. 280 с.; Kokotov Yu.A., Zolotarev P.P., Elkin G.E. Theoretical foundations of ion exchange: Complex and on-exchange systems. L.: Chemistry, 1986. 280 p.
- Hubbe. M.A., Hasan S.H., Ducoste J.J. // BioResources. 2011. V. 6. № 2. P. 2161–2287.
- Пимнева Л.А., Лебедева А.А. // Фундаментальные исследования. 2016. № 12-2. С. 329–333.; Pimneva L.A., Lebedeva A.A. // Fundamental research. 2016. №. 12-2. P. 329–333.
- Alekseev Yu.E., Garnovskii A.D, ZhdanovYu.A // Russian Chemical Reviews. 1998. V. 67. № 8. P. 649–669.
Дополнительные файлы







