Влияние условий процесса и структуры органических добавок на формирование и свойства покрытий при электрохимическом никелировании
- Authors: Сосновская Н.Г.1, Истомина Н.В.1, Богданова И.Н.2, Розенцвейг И.Б.2, Тюрин М.Д.1, Корчевин Н.А.1,2
-
Affiliations:
- Федеральное государственное бюджетное образовательное учреждение ВО Ангарский государственный технический университет
- Федеральное государственное бюджетное учреждение науки Иркутский институт химии им. А.Е. Фаворского СО РАН
- Issue: Vol 60, No 6 (2024)
- Pages: 629-653
- Section: НОВЫЕ ВЕЩЕСТВА, МАТЕРИАЛЫ И ПОКРЫТИЯ
- URL: https://journal-vniispk.ru/0044-1856/article/view/281133
- DOI: https://doi.org/10.31857/S0044185624060064
- EDN: https://elibrary.ru/MPVKIA
- ID: 281133
Cite item
Full Text
Abstract
Нанесение никелевых покрытий является одним из наиболее сложных процессов в гальванотехнике. В представленном обзоре дается краткий анализ литературных источников, в которых исследовано влияние параметров процесса и вводимых органических добавок на формирование и качество получаемых покрытий. Приводятся данные о сравнительно новых направлениях в электрохимическом никелировании: получение нанокристаллических покрытий, использование неводных электролитов, нетрадиционных подходов к процессу и нестационарных режимов электролиза (импульсный и реверсированный ток). Обсуждаются проблемы разработки новых органических добавок в электролит.
Full Text
ВВЕДЕНИЕ
Покрытие поверхности изделий металлами, сплавами или композитами с металлической матрицей в настоящее время служит наиболее надежным методом защиты от коррозии и зачастую придает поверхности заданные функциональные свойства (декоративный вид, повышенная микротвердость, износостойкость, улучшенные магнитные и электрические характеристики, трибологические свойства, паяемость и др.) [1, 2]. Среди процессов нанесения покрытий в практическом отношении важнейшее место занимает электрохимическое никелирование, которое по значимости уступает только цинкованию и имеет прочные позиции в авиа-, автомобиле- и приборостроении, а также в производстве предметов бытового назначения, лабораторных и хирургических инструментов [3]. Расширение сфер применения никелевых покрытий определяется не только их многогранной функциональностью, но и не менее важным фактом, который заключается в том, что в отличие от некоторых других переходных металлов никель относится к умеренно токсичным элементам [4, 5].
Постоянно возрастающие требования к качеству получаемых покрытий стимулирует проведение широкомасштабных научно-исследовательских работ в области никелирования, направленных, прежде всего, на обеспечение формирования блестящих покрытий. По данным обзора [6] примерно 80% наносимых никелевых покрытий преследуют декоративные цели, то есть наносятся как блестящие. Для получения блеска в электролит никелирования вводят специальные добавки, как правило, органической природы. Введение добавок, обеспечивающих осаждение блестящих осадков, может как положительно, так и отрицательно сказываться на других поверхностных свойствах получаемых покрытий. По этой причине круг применяемых добавок непрерывно расширяется, причем они используются как в виде индивидуальных соединений, так и в виде смесей двух и даже более органических веществ. Однако до сих пор разработка новых добавок, в том числе, блескообразующих, осуществляется на эмпирической основе. Более полуторовековая история применения электрохимического никелирования [7] способствовала накоплению огромного фактического материала, который периодически обобщается в обзорных статьях. Прежде всего, следует отметить работу [8], в которой приведены данные по структурной классификации органических добавок, определяющих получение блестящих поверхностей. В более поздних обзорах, в которых представлено использование добавок, поднимаются и фундаментальные вопросы, связанные с проблемой взаимосвязи структура добавки – качество получаемого покрытия, в частности, блескообразующий эффект [9, 10]. Однако эти обзоры рассматривают ограниченное число добавок, в основном, добавки, применяемые в практической гальванотехнике, или соединения, близкие им по структуре. Имеется обзор по развитию теории блескообразования [11], в котором кратко изложены гипотезы, объясняющие появление блеска при нанесении покрытий, но в нем не рассматриваются структуры используемых органических добавок. В прекрасных по содержанию обзорах [6, 12] дается анализ влияния параметров процесса на качество получаемых покрытий и обсуждаются механизмы электродных процессов.
Целью представленного нами обзора является более детальное обобщение влияния структуры вводимых добавок в электролит при электрохимическом никелировании на свойства получаемых покрытий. К сожалению, результаты применения вводимых добавок нельзя интерпретировать без рассмотрения условий процесса, т.к. при этом используются электролиты разного состава, не соблюдается однотипность и других параметров. Тем не менее авторы надеются, что обсуждаемые в обзоре данные будут стимулировать направленный синтез и использование сравнительно простых и, следовательно, более доступных органических соединений, определяющих необходимое качество получаемых покрытий. Кроме того, представленные в обзоре данные, несомненно, будут способствовать развитию теории формирования осадков необходимого качества на поверхности покрываемых металлов.
1. УСЛОВИЯ НАНЕСЕНИЯ НИКЕЛЕВЫХ ПОКРЫТИЙ И ИХ ВЛИЯНИЕ НА СВОЙСТВА ОБРАЗУЮЩИХСЯ ПОВЕРХНОСТЕЙ
1.1 ТИП ИСПОЛЬЗУЕМЫХ ЭЛЕКТРОЛИТОВ
Среди разнообразных типов электролитов, используемых для нанесения никелевых покрытий, рассмотрены, главным образом электролитические системы, в которых исследуется влияние органических добавок на качество формируемых поверхностей.
В 1916 г. Уоттсом был предложен электролит, содержащий сульфат никеля, хлорид никеля и борную кислоту [7], который достаточно широко применяется и в настоящее время [3]. С использованием сульфатного электролита путем введения в него тонкодисперсных добавок различной природы получают композиционные покрытия с никелевой металлической матрицей, обладающие улучшенными эксплуатационными характеристиками [2]. Основная часть исследований, касающихся введения модифицирующих органических добавок, проведена именно с этим электролитом, при этом во многих работах вместо хлорида никеля используют хлорид натрия (модифицированный электролит Уоттса).
Электролит Уоттса без добавок обычно дает матовые никелевые покрытия. При получении черного никелевого покрытия на его основе получают подслой блестящего никеля (10 мкм) (блескообразующая добавка – сахарин) и далее с использованием низкоконцентрированного сульфатного электролита, в котором в качестве буферной добавки применен ацетат аммония, наносят черные покрытия, используемые в устройствах, преобразующих солнечную энергию в теплоту, расширяя возможности “зеленой” энергетики [13]. Тонкие черные никелевые покрытия получены также в электролите Уоттса с добавкой нитрата калия (0.2 М) при температуре 25°С и плотности тока 0.5 А/дм2 [14].
В работе [15] путем электроосаждения покрытия, меченного радиоактивным никелем (63Ni) из электролита Уоттса, исследована поверхность никелевого гальванического осадка. Полученное покрытие подвергали воздействию H2O и . Показано, что после промывки нанесенного покрытия водой на его поверхности присутствует пассивирующая пленка гидроксида (~0.006 г/см2 в пересчете на никель). При действии на поверхности образуется , который препятствует дальнейшей реакции никеля с водой. По мнению авторов, образование гидроксида никеля происходит как во время электролиза, так и при промывке осадка водой.
Каждый компонент электролита Уоттса несет определенную функцию при электролизе, поэтому исследования, направленные на улучшение характеристик покрытия и совершенствование технологического процесса, касающиеся состава основного электролита, заключаются в замене одного, двух или всех трех компонентов.
К недостаткам электролита Уоттса можно отнести возникновение в покрытии высоких внутренних напряжений (особенно в достаточно тонких покрытиях) и узкий диапазон плотностей тока, обеспечивающих получение качественных осадков [16]. Альтернативой сульфатного электролита Уоттса служит сульфаматный электролит, в котором в качестве соли, обеспечивающей поставку ионов к катоду, выступает сульфамат никеля [3, 16, 17]. В присутствии органических добавок этот электролит обеспечивает получение качественных блестящих покрытий, практически лишенных внутренних напряжений в широком интервале плотностей тока (5–20 А/дм2). В работе [18] в сульфаматной ванне исследовано влияние плотности тока на размер зерен образующегося нанокристаллического осадка и его прочность при растяжении. Показано, что с увеличением плотности тока (1.8–5.0 А/дм2) увеличивается размер зерен, что приводит к снижению прочности покрытия и его удлинения при растяжении. Эти данные подтверждены в работе [19], в которой показано, что при увеличении плотности тока от 1.0 до 10 А/дм2 средний размер зерен увеличивается от 30.5 до 56.2 нм, при этом покрытие, обладающее лучшими антикоррозионными свойствами получено при плотности тока 5 А/дм2. Однако использование сульфаматного электролита с добавкой лаурилсульфата (0.2 г/л) не показало влияния плотности тока на размер кристаллитов никеля (~25 нм) [20]. Введение в сульфаматный электролит соединений аммония улучшает структурные характеристики осадка и его твердость, но ведет к увеличению внутренних напряжений [21]. В работе [22] исследованы свойства достаточно толстых (до 90 мкм) никелевых покрытий, формируемых из сульфаматного электролита при низких плотностях тока (0.15–0.5 А/дм2). Показано, что низкие плотности тока обеспечивают получение наиболее качественных покрытий практически без внутренних напряжений.
В научных исследованиях находит применение метансульфоновый электролит, содержащий , в котором, как считают авторы работ [23, 24], на формируемом осадке никеля эффективнее (по сравнению с использованием электролита Уоттса) адсорбируются органические добавки, разлагающиеся при электролизе и обеспечивающие получение покрытий с низкими внутренними напряжениями в широком диапазоне плотностей тока. В метансульфоновом электролите при введении в него солей церия возможно получение нанокомпозиционных покрытий, содержащих до 0.2% масс церия в осадке, что обеспечивает повышенную твердость получаемой поверхности [25]. В этом электролите при введении блескообразователей, структура которых не раскрывается, при плотностях тока 1–7 А/дм2получено блестящее покрытие из сплава Ni–Fe (Fe до 20 %) практически без внутренних напряжений [26].
Вместо сульфата никеля в электролите может использоваться никель хлорид, раствор которого обладает более высокой электрической проводимостью, эта соль препятствует пассивации никелевых анодов и замедляет коагуляцию золей, образующихся в прикатодном пространстве при повышении рН за счет выделения водорода [27–30]. Влияние выделяющегося водорода и образующегося в катодном пространстве гидроксида никеля на морфологию формируемого покрытия исследовано в работе [31]. Ионный состав никельсодержащих частиц в хлоридном электролите в присутствии борной кислоты, определяющий кинетику электроосаждения никеля, рассчитан в работе [32]. Различие катионного состава в сульфатном и хлоридном электролитах по мнению авторов [33] предопределяет формирование осадков необходимой текстуры.
Хлоридный электролит может использоваться при высокой и при достаточно низкой концентрации хлорида никеля (низкоконцентрированный хлоридный электролит). При введении органических добавок (хлорамин Б и кубовые остатки производства бутиндиола) в низкоконцентрированном хлоридном электролите образуются блестящие покрытия с хорошей адгезией к основе и высокой твердостью, однако они обладают существенными внутренними напряжениями и достаточно высокой пористостью [30]. В хлоридном электролите с добавкой (до 300 г/л) при 60°С и рН 4.0 при последовательном использовании двух значений плотности тока: 2 А/дм2 (10 мин), затем 5 А/дм2 (3 мин) были получены супергидрофобные, коррозионно стойкие никелевые покрытия [34].
Напряженные покрытия с трещинами на поверхности получены из ацетатно-хлоридного электролита с содержанием ацетата аммония 5, 15 и 30 г/л. Показано, что на структуру осадка наибольшее влияние оказывает плотность тока, а не состав электролита [35]. Однако в низкотемпературном низкоконцентрированном ацетатно-хлоридном электролите на процесс осаждения большое влияние оказывал именно состав электролита [36].
В сульфатно-хлоридном промышленном электролите исследованы закономерности развития текстуры в процессе осаждения никелевого покрытия [37]. Для описания процессов зародышеобразования и роста зародышей привлечены теоретические модели, которые соответствуют образованию структуры осадка с определенной ориентацией кристаллов.
В связи с экологическими ограничениями по использованию соединений бора [38, 39] проводятся исследования как по влиянию концентрации борной кислоты в электролите [38], так и по ее замене на другие буферирующие агенты. В этом отношении привлекает внимание применение органических кислот, буферные свойства которых хорошо известны. Так, при использовании ацетатно-хлоридных растворов при никелировании [40] отмечено, что сдвиг величины рН даже при высокой плотности тока (до 20 А/дм2) не превышают 0.5 единиц, что существенно ниже, чем в электролите Уоттса. На основе хлорида никеля и солей карбоновых кислот (муравьиной, глутаровой и янтарной) предложены низкоконцентрированные высокопроизводительные электролиты для получения качественных осадков никеля в широком диапазоне плотностей тока [41]. В работах [42, 43] в растворе сульфата никеля в эквимольном соотношении были использованы винная, лимонная, малоновая, янтарная, глутаровая и адипиновая кислоты, для которых отмечено комплексообразование с ионами никеля. В присутствии малоновой и глутаровой кислот без дополнительных добавок получены зеркально-блестящие покрытия в широком диапазоне плотностей тока. Из электролитов с винной и янтарной кислотами получены полублестящие покрытия, причем при плотности тока 7–10 А/дм2 наблюдались серьезные дефекты покрытий (подгары). Покрытия хорошего качества в электролите с лимонной кислотой были получены только в узком диапазоне плотностей тока. Малоновая и янтарная кислоты в качестве буферной добавки вместо борной кислоты в электролите Уоттса использованы в работе [44]. Показано, что при введении добавок сахарина и бутиндиола могут быть получены с высоким выходом по току блестящие осадки никеля, обладающие высокой твердостью. Кинетика осаждения никеля исследована в сульфатном электролите в присутствии глутаровой, янтарной, малоновой, лимонной и винной кислот [45]. При этом не выявлено прямой зависимости между величинами констант нестойкости комплексов никеля с изученными кислотами и кинетическими показателями его осаждения.
Влияние природы аниона (хлорид, сульфат и ацетат) при катионе никеля на кинетику роста осадка никеля и на его свойства сопоставлено в работе [46]. Выявленные различия авторы объясняют комплексообразующими и буферными свойствами исследуемых анионов, которые влияют на поведение электролита при электролизе. Лучшие результаты по качеству покрытия были получены при использовании ацетатного электролита. Однако при использовании низкотемпературного хлоридного электролита с добавкой ацетата аммония в качестве буферной добавки в покрытиях отмечены высокие внутренние напряжения [47]. В качестве буфера в этой работе использованы также тартрат калия натрия и изомасляная кислота, причем ацетатный буфер давал самую низкую шероховатость по сравнению с тартратом и изобутиратом. Однако тартратная и изобутиратная буферные системы приводили к существенному увеличению коррозионной стойкости покрытий в 0.3%-ном растворе [47]. Положительное влияние на антикоррозионные свойства покрытия полученного с изобутиратным буфером подтверждено также в работе [48].
В работе [49] сопоставлена кинетика электроосаждения никеля из низкоконцентрированного хлоридного электролита в присутствии янтарной и аспаргиновой (аминоянтарной) кислот. Процесс восстановления ионов никеля в обоих случаях протекает в режиме смешанной кинетики с преобладающим контролем стадии переноса заряда. По мнению авторов более эффективная адсорбция янтарной кислоты способствует увеличению выхода водорода. Качество образующихся покрытий в работе не рассматривается. На примере использования янтарной кислоты в низкоконцентрированных сульфатно-хлоридном и хлоридном растворах исследована роль миграционного массопереноса катионов никеля, обеспечивающего высокие допустимые плотности тока при электроосаждении. Интенсификация процесса обусловлена ускорением массопереноса из-за присутствия значительной части никеля в виде положительно заряженных комплексов [50].
Скорость массопереноса увеличивается и при введении в электролит наносоединений осаждаемого металла [51]. Такая процедура способствует также упрочнению покрытия.
Без введения дополнительных блескообразователей, только в присутствии буферирующего реагента – молочной кислоты в сульфатном электролите, получены качественные блестящие покрытия [52].
Электрохимическое восстановление акваионо в присутствии глицина исследовано [53] с использованием методов вольтамперометрии и хронопотенциометрии. Автором показано, что комплексообразование никеля с глицином происходит в адсорбционном слое на катоде, что является причиной ускорения стадии переноса заряда.
Влияние аминокислот (глицина, -аланина и серина) на кинетику восстановления ионов никеля исследовано в работе [54]. При этом выявлено, что скорость процесса осаждения определяется адсорбционными свойствами аминокислот и ионным составом электролита, который, в свою очередь, зависит от комплексообразующей способности аминокислот. В работе [55] в низкоконцентрированном хлоридном электролите с добавкой 18 г/л α-аланина исследована кинетика зародышеобразования и роста кристаллов никеля. При этом показано, что зародышеобразование протекает по мгновенному механизму, что обеспечивает получение качественных покрытий.
В сульфатном электролите исследовано введение комплексообразующих лигандов, обладающих буферным действием (муравьиной, уксусной, аминоуксусной и лимонной кислот, а также этилендиаминтетрауксусной кислоты) на осаждение и поверхностные свойства никелевых покрытий [56]. Наиболее высокая скорость осаждения наблюдалась для формиатного комплекса никеля, а самая низкая – в электролите, содержащем этилендиаминтетрауксусную кислоту. Во всех случаях на поверхности блестящих покрытий наблюдалась адсорбция водорода (наводороживание), а в полученном осадке был обнаружен гидроксид никеля. Образование комплексов в растворе подтверждено методом УФ спектроскопии.
Использование буферного действия лимонной кислоты или ее солей в электролите Уоттса (вместо борной кислоты) представлено в работах [38, 57]. При введении в раствор цитрата натрия 30 г/дм3 при температуре 55°С и рН 4 были получены покрытия высокого качества [57].
Применение глицина в качестве буферной добавки описано для пирофосфатного [58] и хлоридного [59] электролитов. В работе [60] в присутствии глицина в сульфатном электролите изучена кинетика электроосаждения никеля в зависимости от температуры (20°–50°С) при двух значениях рН (2.0 и 5.5). При концентрации глицина 22.5 г/дм3 при рН 5.5 наблюдается наиболее высокий выход по току, а покрытия высокого качества получаются вплоть до катодной плотности тока 10 А/дм2. В сульфатном электролите, содержащем борную кислоту и добавку глицина (100 г/л), на медной пластинке были получены блестящие покрытия, однако их коррозионное сопротивление было ниже, чем у покрытий, полученных без глицина [61]. Влияние глицина на электроосаждение никеля исследовано также в работе [62].
Для сопоставления электрохимических и квантово-химических исследований кинетики выделения никеля в присутствии пропионовой или акриловой кислоты использован перхлоратный электролит, содержащий перхлорат натрия, а в качестве источника ионов – перхлорат никеля [63]. Особенности электронного строения, образующегося в растворе акрилатного комплекса, подтвержденные квантово-химическими расчетами, способствуют выделению из него никеля с меньшими кинетическими затруднениями по сравнению с разрядом комплекса с пропионовой кислотой. Изучено влияние природы аниона на кинетику осаждения никеля из перхлоратного, метансульфонового и сульфатного электролитов [64]. В частности, показано, что перенапряжение электровосстановления ионов никеля возрастает в ряду анионов , и .
В работе [65] сопоставлено использование сульфатного электролита с добавкой муравьиной кислоты, сульфатно-хлоридного (с добавкой карбоната никеля и фосфорной кислоты), сульфатно-хлоридного (с добавкой карбоната никеля и муравьиной кислоты) и электролита Уоттса для получения нанокристаллического никелевого покрытия. В этой работе отмечено, что размер получаемых кристаллов никеля зависит не только от типа используемого электролита и условий процесса, но и от покрываемого материала (использованы медь и титан).
Все перечисленные выше типы электролитов, применяемые для получения никелевых покрытий с заданными свойствами (блеск, микротвердость и др.), основаны на водных растворах. Главный их недостаток заключается в побочном выделении водорода на катоде, что снижает выход по току и приводит к ухудшению физико-механических свойств поверхности покрытия. В последние годы наблюдается тенденция замены водных растворов на растворы в ионных жидкостях, в том числе и для процессов электроосаждения металлов [66–71]. Электролиты на основе ионных жидкостей обладают высокой вязкостью и, как следствие, в них наблюдается низкая скорость диффузии растворенных частиц. По этой причине такие электролиты имеют пониженную электропроводность и в них трудно достигаются высокие плотности тока, а процессы протекают строго в области диффузионного контроля. Тем не менее, имеются данные [70–73] о возможности получения никелевых покрытий в ионных жидкостях, например, бис(трифторметилсульфонил)амиде 1-бутил-1-метилпирролидония, в том числе [73] с ацетонитрилом в качестве органической добавки. В этой ионной жидкости источником ионов никеля служит бис(трифторметилсульфонил)амид никеля. В цитируемых работах основное внимание уделяется поведению ионов никеля в данном электролите, в частности, возможность образования комплексов с компонентами ионной жидкости. В электрохимических исследованиях при плотности тока 4.6 мА/дм2 при температуре 50°С получено черное покрытие вследствие очень малого размера зерен осаждаемого никеля. Однако при температурах 70° и 100°С получены блестящие осадки, состоящие из наноразмерных частиц никеля (10 и 15 нм соответственно) [72]. В работе [70] показано, что качество осаждаемого покрытия в ионной жидкости дицианамид 1-этил-3-метилимидазолия зависит от потенциала осаждения, причем размер зерен в осадке уменьшается с уменьшением потенциала осаждения. В ионной жидкости хлорид 1-этил-3-метилимидазолия – хлорид цинка получить чисто никелевое покрытие не удалось, однако в этом электролите успешно было нанесено покрытие из цинк-никелевых сплавов [74].
Альтернативой ионных жидкостей, используемых в качестве безводных электролитов, служат глубокоэвтектические растворители, содержащие органическую соль (например, холин хлорид) и соединение, выступающее в качестве донора водорода для водородной связи (например, мочевина или этиленгликоль) [75]. Подобного типа система (холин хлорид – этиленгликоль 1:2) использована и для получения никелевых покрытий [76]. Показано, что в исследуемом глубокоэвтектическом растворителе в присутствии таких добавок, как никотиновая кислота, метиловый эфир никотиновой кислоты или идантоин, образуются блестящие покрытия с хорошей адгезией к металлу. Авторы полагают, что вводимые добавки изменяют как зародышеобразование осаждаемого никеля, так и дальнейший рост осадка. В эвтектической смеси холин хлорид – мочевина (1:2) с добавкой никотиновой кислоты (до 1.2 г/л) при плотности тока 0.3 А/дм2 было получено блестящее нанокристаллическое покрытие с размером зерен 4.2 нм [77]. Блестящие никелевые покрытия получены как на основе этиленгликоля, так и на основе мочевины при введении в электролит комплексообразующих добавок – этилендиамина или ацетилацетона [78].
Таким образом, для осуществления электрохимического никелирования используется и постоянно разрабатывается большое число электролитов. Оптимальное их применение определяется строгим сочетанием параметров процесса нанесения покрытия, изменение которых существенно влияет на формирование покрытий нужного качества.
1.2 ВЛИЯНИЕ ПАРАМЕТРОВ ПРОЦЕССА НА КАЧЕСТВО ПОКРЫТИЙ
Общие теоретические вопросы влияния параметров процесса на осаждение металлов достаточно подробно рассмотрены в работе [1]. Применительно к процессам нанесения никелевых покрытий они обобщены в обзорах [6, 12]. Влияние параметров процесса на возможность образования блестящих никелевых покрытий при использовании электролита Уоттса исследовано в работе [79].
Обычно электроосаждение никеля в большинстве типов используемых электролитов проводят при температуре 50°–60°С. Такое повышение температуры снимает диффузионные ограничения, что способствует увеличению допустимой плотности тока [3]. Однако повышение температуры требует дополнительных энергозатрат, часто приводит к снижению блеска и способствует повышенному испарению электролита. По этим причинам перспективным направлением является исследование низкотемпературного (20°С) электроосаждения никеля [80]. Изучены особенности получения никелевых покрытий из низкотемпературного ацетатно-хлоридного электролита. Однако при этом были получены высоконапряженные осадки никеля, формирование которых определяется ионным составом используемого электролита. Низкоконцентрированный хлоридный электролит использован для изучения влияния рН на морфологию, магнитные свойства и размер кристаллитов осадка никеля, полученных при температуре электролиза 25°С [81]. Показано, что минимальный размер зерен кристаллитов наблюдается при рН 3, а лучшие магнитные свойства проявляются при рН 5.
При использовании органических добавок в электролит обычно исследуется влияние плотности тока, температуры, рН, перемешивания, поэтому воздействие этих факторов будет рассмотрено при обсуждении влияния добавок. Помимо этих параметров на качество покрытий оказывает влияние характер подачи электрического тока в систему (постоянный ток, импульсная подача тока и реверсированный ток при различных режимах реверсирования). Воздействие этих факторов оценивается как в присутствии добавок, так и без них. Так, при использовании реверсированного тока в электролите Уоттса получены блестящие никелевые покрытия даже без введения добавок [82]. В работе [83] с использованием классического электролита Уоттса сопоставлено электроосаждение никеля с использованием постоянного, импульсного и импульсно-реверсированного тока и качество образующихся покрытий (микроструктура, выход по току, микротвердость, коррозионные и магнитные свойства). Показано, что качество покрытий при использовании импульсного и реверсированного токов существенно превосходит качество покрытий, наносимых при постоянном токе. Для импульсной подачи тока наблюдался максимальный выход по току. Сопоставление постоянного и импульсного тока в классическом электролите Уоттса представлено также в работе [84], при этом отмечено, что покрытия, полученные при импульсной подаче тока, обладают улучшенными механическими свойствами.
Мелкокристаллические, гладкие, малопористые, блестящие осадки были получены из модифицированного электролита Уоттса с использованием реверсированного тока в присутствии аминоэфиров в качестве блескообразующей добавки, при температуре 40°–45°С, рН 4.0–5.5 при режиме реверсирования 14:2 с [85]. При постоянном токе даже в присутствии аминоэфиров образуются полублестящие покрытия. Однако покрытия, полученные из низкоконцентрированного сульфатного электролита без использования добавок, но при наложении реверсированного тока с различными режимами реверсирования уступали по качеству покрытиям, полученным при постоянном токе [86]. В работе [87] блестящие никелевые покрытия c повышенной твердостью были нанесены из электролита Уоттса с добавкой бутиндиола (86 мг/л) в качестве блескообразователя в нестационарном режиме с использованием импульсного тока. Авторы работы [88] с использованием электролита Уоттса сопоставили воздействие характера электрического тока (постоянный ток, импульсная подача тока, импульсно-реверсированный ток) на кристаллическую структуру, коррозионное поведение и магнитные свойства получаемых покрытий. Отмечено, что при импульсном подводе тока наблюдается минимальное выделение водорода, что существенно увеличивает выход по току. Кроме того, покрытия, полученные этим способом, обладают наибольшей коррозионной устойчивостью в 2 М растворе едкого натра. В то же время коррозионная стойкость покрытий в 0,5 М серной кислоте уменьшалась при переходе от импульсного тока к импульсно-реверсированному и постоянному току [84]. Для защиты магнитных материалов от коррозии использовано никелевое покрытие, наносимое из электролита Уоттса с добавкой додецилсульфата (0.1 г/дм3) и лимонной кислоты (5 г/дм3) при постоянном и импульсном токе. Эффект защиты от коррозии при применении импульсного тока более чем в 2.5 раза превышал эффект, полученный для покрытия, нанесенного при постоянном токе [89]. Влияние условий электроосаждения на некоторые свойства покрытий обсуждается в работе [90].
Нанокристаллическое никелевое покрытие в электролите Уоттса в присутствии сахарина получено при постоянном, импульсном и импульсно-реверсивном токе с различной плотностью тока [91]. Авторами отмечено, что при постоянном и импульсном токе плотность тока не влияет на размер зерен осадка, но при реверсивном токе при уменьшении плотности тока от 50 до 5 А/дм2 размер зерен увеличивается от 20 до 200 нм, хотя ранее [92] было показано, что постоянный ток при уменьшении плотности наоборот вызывает уменьшение размера зерен (от 300 до 30 нм). В этой же работе [92] исследовано влияние параметров импульса с использованием электролита Уоттса (без добавок) при рН 4.5 и температуре 60°С. При этом получены осадки с размером зерен <100 нм. Отмечено, что ингибирование осаждения никеля осуществляется выделяющимся водородом, адсорбированными атомами водорода и гидроксидом никеля.
В сульфаматном электролите при температуре 50°С, рН 4.2 и высокой плотности тока (10–60 А/дм2) в присутствии додецилсульфоната натрия (0.2 г/л) исследовано влияние формы подачи импульса (прямоугольная, с наклоном вправо, с наклоном влево, треугольная равнобедренная) на размер кристаллитов никеля [93]. Во всех случаях размер зерен уменьшался (до 4 нм) с увеличением плотности тока, что способствовало увеличению твердости покрытия. Максимальная твердость получена при подаче импульса с нисходящим наклоном влево. Изучено электроосаждение никеля с использованием узкой ширины импульса (10 и 90 мкс) и высокой пиковой плотности тока (от 40 до 300 А/дм2) [94]. Отмечено, что при варьировании плотности тока от 300 до 60 А/дм2 размер зерен изменялся от 50 до 200 нм.
Сопоставление стационарного и импульсного режимов электролиза в ацетатно-хлоридном электролите представлено в работе [95], а для низкоконцентрированного ацетатно-хлоридного электролита – в работах [96, 97].
В работе [98] описано воздействие магнитного поля на электроосаждение никеля из электролита Уоттса с добавкой бутиндиола. Электрохимическими исследованиями подтверждено, что магнитогидродинамические силы увеличивают конвекцию электролита вблизи катодной поверхности, ускоряя диффузионно контролируемые процессы. В частности, при наложении магнитного поля ускоряется гидрирование бутиндиола. Отмечено также [99], что магнитное поле способствует образованию тонкозернистой структуры покрытия.
Для изменения структуры поверхностного слоя покрываемого металла в работе [100] предлагается предварительное осаждение никеля при потенциалах, близких к равновесному (–0.45 В, 1 мин). Такая обработка приводит к образованию сплава железо-никель, на который при плотности тока 3.5–5.0 А/дм2 наращивали основное покрытие толщиной до 15 мкм. Опыты были проведены в низкоконцентрированном электролите Уоттса как без блескообразователя, так и с введением фирменного блескообразователя RADO. При всех изученных плотностях тока дофазовое осаждение способствовало увеличению выхода по току, существенному снижению пористости, увеличению износостойкости, твердости поверхности и коррозионной устойчивости покрытия.
Оригинальное решение улучшения качества покрытия предложено в работе [101]. В электролизную установку с горизонтальным катодом для нанесения покрытия, авторы предлагают вводить стеклянные шарики диаметром 1, 5 или 7 мм, перемешивание которых обеспечивало получение гладкого, беспористого, коррозионностойкого покрытия в условиях трения. Использован традиционный электролит Уоттса, и высококачественные покрытия были нанесены при плотности тока 1.25–12.5 А/дм2, температуре 30°С и рН 3.8.
В работе [102] никелевое покрытие нанесено в трехфазной эмульсионной системе (сжатый СО2, электролит, твердые электроды) в электролизере высокого давления, рассчитанном на 50 МПа, в присутствии неионогенного ПАВ (1 г/дм3додециловый эфир октаэтиленоксида) и добавок сахарина (3 г/дм3) и бутиндиола (0.5 г/дм3). При температуре 50°С и плотности тока 5 А/дм2 получено нанокристаллическое покрытие повышенной твердости с размером зерен 11.1 нм.
2. МОДИФИКАЦИЯ ПОВЕРХНОСТИ ПОКРЫТИЯ ВВЕДЕНИЕМ ОРГАНИЧЕСКИХ ДОБАВОК В ЭЛЕКТРОЛИТ
Наиболее существенное воздействие на качество поверхности наносимого покрытия оказывают органические добавки. Прежде всего, следует отметить добавку ПАВ, выступающих в качестве смачивателей для облегчения отделения пузырьков водорода и препятствующих питтингообразованию и наводороживанию основы и покрытия [103]. Наиболее известно применение анионоактивных ПАВ – лаурилсульфата натрия () в количестве 0.1–1.0 г/л [1] и сульфонола (0.015 г/л) [104]. В присутствии только додецилсульфоната натрия (0.1 г/л) в качестве антипиттинговой добавки были получены покрытия, последующая обработка которых раствором миристиновой (тетрадекановой) кислоты обеспечивало супергидрофобные свойства поверхности и, как следствие, высокий антикоррозионный эффект [105].
Влияние катионоактивных аммонийных ПАВ на антикоррозионные свойства покрытий, получаемых в классическом электролите Уоттса, исследовано в работе [106]. В количестве 0.5 г/л в электролит были добавлены 4 вида аммонийных солей с углеводородным радикалом при атоме азота, содержащем 6 или 16 атомов углерода. Осаждение проводили при рН 4.3–4.4 и плотности тока 0.1 или 0.35 А/дм2. Лучшие результаты по антикоррозионным свойствам при обоих значениях плотности тока получены для полностью замещенной аммонийной соли, содержащей радикал С6 в гидрофобной части молекулы.
Введение органических соединений, способных к полимеризации, например, лактамов (метилпирролидон, капролактам) в концентрации до 200 г/л позволяет получать никель-полимерные покрытия, обладающие рядом ценных свойств [107–109].
Буферные свойства в кислых электролитах существенно усиливаются при добавке в них 0.2 М глюконата натрия, который дополнительно ингибирует катодный процесс осаждения никеля [110].
В данном обзоре рассматриваются добавки, используемые в низкой концентрации (обычно от 10 мг до 10 г на литр электролита) и существенно влияющие на процесс электроосаждения и качество получаемых покрытий. Разработка таких добавок была направлена, прежде всего, на возможность получения блестящих покрытий непосредственно в электролитической ванне (без последующей полировки изделия). В дальнейшем функции добавок были существенно расширены (минимизация внутренних напряжений, оптимизация твердости, улучшение адгезии к основному металлу, предотвращение наводороживания, улучшение паяемости покрытия, снижение возможности образования питтингов, улучшение трибологических, электрических и магнитных характеристик покрытия). Однако ведущим направлением остается получение блестящих и нанокристаллических осадков. Нанокристаллические покрытия с размером частиц никеля <100 нм помимо блеска обладают широким набором других ценных антикоррозионных [111–113], физико-механических [114–118] и термических свойств [119–121]. Именно с этой позиции в дальнейшем анализируются данные по применению органических добавок.
2.1 ИССЛЕДОВАНИЕ ДОБАВОК И ИХ СМЕСЕЙ, ИСПОЛЬЗУЕМЫХ В ПРАКТИЧЕСКОЙ ГАЛЬВАНОСТЕГИИ
Из большого числа органических добавок, предложенных для получения блестящих никелевых покрытий, в производственных рецептурах электрохимического никелирования применяется всего несколько соединений [104], представленных в таблице.
Таблица 1. – Структура и концентрация в электролите блескообразователей, применяемых в практическом никелировании
I класс | II класс | ||
Формула, название | Концентрация, г/л | Формула, название | Концентрация, г/л |
сахарин | 0,7–3,0 | формальдегид | 0,02–0,8 |
хлораминБ | 2,0–2,5 | кумарин | 0,2–1,0 |
п-толуол-сульфонамид | 2,0–5,0 | 1,4-бутиндиол | 0,05–0,7 |
2,6-нафталиндисульфо-кислота | 2,0–4,0 | фталимид | 0,08–0,12 |
барбитуровая кислота | 0,03–0,09 | ||
хинальдин | 0,5 | ||
В соответствии с данными многих авторов (см., например [8]) представленные блескообразователи, отличающиеся наличием в составе различных функциональных групп, разбиты на 2 класса. К первому классу отнесены добавки, содержащие группу –SO2– в сочетании с другими заместителями, в том числе ароматической природы. Второй класс блескообразователей не содержит серу, но включает различные ненасыщенные группировки (C=O, C=N, C=C и др.).
Не вдаваясь в детали теории блескообразования, предполагается, что блескообразователи первого класса, разлагаясь на катоде при электролизе, обеспечивают внедрение серы (в виде твердого раствора Ni–S или в виде сульфидов никеля) в покрытие. При этом им приписывается в большей степени выравнивающий эффект [123]. Определяющей причиной действия блескообразователей II класса является их адсорбция на никелевой поверхности [124], которая в зависимости от структуры ненасыщенных добавок создает предпочтения для роста осадка либо в перпендикулярном направлении к поверхности, либо в боковом направлении (двухмерная теория нуклеации). Адсорбированные соединения в дальнейшем гидрируются адсорбированными атомами водорода. Авторами [124] показано, что цис-ненасыщенные структуры адсорбируются легче и способствуют формированию покрытий с меньшей шероховатостью.
На практике обычно используется комбинация добавок первого и второго классов. В работе [125] приведено 13 патентов по применению комбинаций добавок, относящихся к I и II классам.
Ситуация по использованию добавок, представленных в таблице, сложилась в прикладной гальванотехнике во второй половине прошлого века и достаточно стабильно сохраняется [126]. Помимо указанных добавок за рубежом и в отечественной практике используются фирменные добавки, структура которых, как правило, не раскрывается. Обычно эти добавки применяют в виде смеси нескольких соединений, поэтому их синергетическое действие, в том числе, при дополнительном присутствии известных добавок, на формирование качественных покрытий и влияние различных параметров процесса достаточно интенсивно исследуется [127–131].
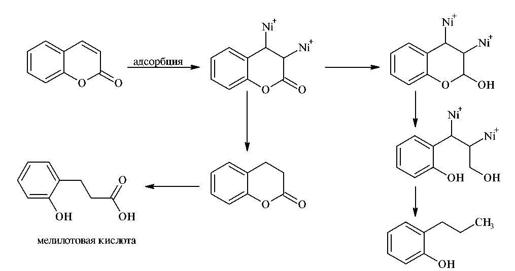
Среди добавок, представленных в таблице, в 60-ые годы важное место занимал кумарин, который, наряду с блескообразованием, обладает высоким выравнивающим эффектом. Однако, учитывая данные работы [132], в которой исследованы продукты электровосстановления кумарина в ходе процесса, в том числе, образование мелилотовой кислоты (рис. 1), присутствие которой снижает блеск и ухудшает качество покрытия за счет более прочной адсорбции на никелевой поверхности, кумарин исключен из рецептур блестящего никелирования.
Рис. 1. Электровосстановление кумарина на катоде в ходе нанесения никелевого покрытия
В соответствии с моделью, предложенной на рис. 1, кумарин, как и некоторые ненасыщенные спирты (пропаргиловый спирт, бутиндиол, коричный спирт) могут выступать в качестве эффективных выравнивателей. По мнению авторов [132] при низких рН предпочтительнее происходит восстановление спиртовой группы по сравнению с восстановлением кратных связей C=C и , однако за счет последних продукты дольше удерживаются на поверхности, ингибируя электроосаждение никеля. Тем не менее, главным продуктом электровосстановления кумарина является мелилотовая кислота. В более поздней работе [133] с применением метода вольтамперометрии исследовано поведение самого кумарина и некоторых его замещенных (6-нитрокумарин, 4,7-диметилкумарин) с использованием электролита Уоттса. Влияние продуктов восстановления добавок на катоде на качество получаемых покрытий при этом не рассматривалось.
Синергетический эффект одновременного использования кумарина и цис-2-бутен-1,4-диола на структуру поверхности и скорость осаждения никеля представлен в работе [134]. При одновременном введении добавок были получены наиболее гладкие блестящие осадки с высоким выходом по току.
Начиная с 80-х годов прошлого столетия основной органической добавкой становится сахарин, используемый для получения блестящих и нанокристаллических никелевых покрытий [135, 136]. В качестве добавки чаще всего используется сам сахарин, хотя в электролит может вводиться и его Na-соль [136, 137]. Добавка сахарина используется в электролитах разного состава как при постоянном токе, так и в режимах применения импульсного и импульсно-реверсивного тока [136–142].
Широкое использование сахарина определило интенсивные исследования как продуктов его электрохимического восстановления [143–147] (хотя подобные работы проводились и ранее [148]), так и влияние различных параметров процесса при использовании сахарина на качество поверхности электроосаждаемого никеля [19, 112, 149–153]. В наиболее ранней работе [148], а позднее в работе [145] предложена схема электровосстановления сахарина с образованием бензамида, о-толуолсульфамида и бензилсультама (рис. 2). В этой работе также показано, что качественный состав продуктов не изменяется при использовании температуры 25 или 50°С и плотности тока 1–5 А/дм2. В работах [143–146] использован электролит Уоттса, при этом исследованы также некоторые замещенные сахарины, восстановление которых подчиняется тем же закономерностям, что и самого сахарина, но образующиеся продукты могут существенно различаться [144]. Следует отметить, что изучение продуктов восстановления органических добавок проливает свет на то, какими функциональными группами добавка адсорбируется на никелевом катоде [146]. Интересно, что скорость расходования сахарина при увеличении температуры от 20° до 50°С падает в 2 раза [145]. Авторы связывают это со снижением адсорбции добавок на катоде с ростом температуры.
Рис. 2. Восстановление сахарина при его использовании в электрохимическом никелировании [146]
Изучено влияние плотности тока, температуры и концентрации вводимого сахарина в электролит Уоттса или в низкоконцентрированный хлоридный электролит [19, 112, 148–153] на качество получаемых покрытий. Критерием качества при этом являлся размер зерен металлического никеля в осадке. В работе [112] отмечено, что при уменьшении размера зерен никеля от 214 до 13 нм твердость покрытия увеличивается в два раза, а скорость износа при циклических нагрузках уменьшается в 1.3 раза. При этом плотность тока практически не оказывает влияния на размер зерен. Наиболее существенным фактором является концентрация вводимого сахарина (0–5 г/дм3). Так, в отсутствие сахарина размер зерен был в пределах 100 нм, добавка сахарина снижала его до 30 нм и менее [149]. Кроме того, в работах [134, 150, 151] показано, что в присутствии сахарина с использованием электролита Уоттса размер зерен нанокристаллического никеля зависит от плотности тока. Эта зависимость определяется концентрацией сахарина (3 или 5 г/л). При изменении плотности тока от 4 до 15 А/дм2 размер зерен может варьироваться от 15 до 36 нм [134]. В работе [142] при постоянной плотности тока (10 А/дм2) исследовано влияние концентрации сахарина (0–10 г/л) на размер зерен нанокристаллического никеля при температуре 45°–65°С. С ростом концентрации сахарина средний размер зерен уменьшался от 426 до 25 нм.
Добавка сахарина оказывает влияние на размер зерен нанокристаллического никеля и при импульсной подаче тока [136]. Комплексное исследование влияния сахарина и характера подачи тока с использованием электролита Уоттса на коррозионное поведение получаемых покрытий представлено в работе [141]. Наименьший размер (8 нм) зерен нанокристаллического никеля был получен в присутствии сахарина при импульсном токе [139]. Осадки подобного типа обладали самыми лучшими показателями сопротивления коррозии в 1 М растворе серной кислоты.
Нанесение нанокристаллического никелевого покрытия в электролите Уоттса в присутствии сахарина (0.1–0.2 г/л) на магниевый сплав обеспечивает использование легкого, но коррозионно неустойчивого сплава в авиастроении, космических технологиях, оптике и др. сферах (рис. 2) [142, 153].
Второй важнейшей добавкой, широко используемой в последнее время в практической гальванотехнике, является 2-бутин-1,4-диол (таблица). Наличие тройной связи в молекуле бутиндиола предопределяет отнесение его ко II классу блескообразователей, позволяющей получать блестящие покрытия высокого качества. Структура покрытия, нанесенного в электролите Уоттса в присутствии бутиндиола, изучена в работе [154] при разных концентрациях добавки. В ходе нанесения покрытия наблюдается каталитическое гидрирование тройной связи выделяющимся на катоде водородом, что снижает наводороживание никеля и основы [155]. При этом бутиндиол претерпевает следующую последовательность превращений: бутиндиол ® бутендиол ® бутандиол. Образуются также 2-бутен-1-ол и бутанол-1, что свидетельствует о конкуренции гидрирования кратных связей и восстановления гидроксильной группы [156]. Отмечено, что присутствие серы в катодном материале, которая внедряется в покрытие при дополнительном введении в электролит серосодержащего блескообразователя, например, сахарина, затрудняет гидрирование кратных связей, но практически не ингибирует восстановление гидроксильных групп. Бутиндиол, как добавка, используется не только в сульфатном, но и в хлоридном электролите [27]. В этом электролите максимальный блеск при концентрации добавки 0.43 г/л получен при 60°С и плотности тока 4–6 А/дм2. Авторы полагают, что перенос ионов никеля в этом электролите осуществляется не только за счет диффузионных процессов, но и переносом ионов, адсорбированных на поверхности коллоидных частиц гидроксосоединений, причем бутиндиол не влияет на скорость массопереноса.
Поведение бутиндиола при электролизе изучено в присутствии 2-бутендиола в электролите Уоттса [157]. Показано, что наличие в электролите бутендиола примерно в 2 раза снижает скорость расходования бутиндиола, в основном за счет снижения скорости восстановления гидроксильных групп.
В работе [158] с использованием электролита Уоттса сопоставлено влияние добавок бутиндиола (84 мг/л), сахарина (183 мг/л) и одновременно бутиндиола (42 мг/л) и сахарина (92 мг/л). Обнаружено, что перенапряжение выделения никеля возрастает в ряду: сахарин < сахарин+бутиндиол < бутиндиол. Без введения добавок неровности на поверхности покрытия составляли ~20 нм, при введении бутиндиола или его смеси с сахарином – 8 нм, а для сахарина – 15 нм.
Влияние бутиндиола изучено также в условиях импульсного электролиза [159] и с использованием реверсированного тока [160]. Добавка бутиндиола использована для получения блестящих покрытий из сплава Ni–W [160]. Синергетический эффект добавки бутиндиола в электролит Уоттса и применения режима импульсного тока изучен в работе [87]. В частности, показано, что в импульсном режиме влияние органической добавки усиливается. Использование концентрации бутиндиола до 64 мг/л приводит к получению нанокристаллических осадков с повышенным блеском и твердостью.
В практической гальванотехнике для получения блестящих никелевых покрытий чаще всего рекомендуется использование смеси сахарина и бутиндиола, в которой концентрация бутиндиола в 5–10 раз меньше концентрации сахарина [104]. В работе [28] бутиндиол в этой смеси добавок заменен на кубовые остатки производства бутиндиола. Влияние концентрации сахарина и бутиндиола на качество получаемых покрытий исследовано с применением импульсного тока при различных параметрах импульса [161, 162].
Вместо бутиндиола в смеси с сахарином использованы спирты с различной ненасыщенностью – н-пропанол, аллиловый и пропаргиловый спирты [163]. Самые тонкозернистые наиболее блестящие осадки получены в электролите Уоттса при использовании комбинации сахарина и пропаргилового спирта (использовано по 5 ммол компонентов смеси). Сахарин в этой смеси также может быть заменен на другой блескообразователь первого класса – хлорамин Б [30].
Высокой эффективностью блескообразования обладает смесь трех добавок – сахарина (1.0–2.0 г/л), бутиндиола (0.15–0.18 г/л) и фталимида (0.08–0.12 г/л) [104]. Эта композиция применяется в электролите Уоттса при температуре 50°С, рН 4.0–4.8 и катодной плотности тока 3–8 А/дм2. В работе [28] с использованием такого электролита покрытие, образующееся на медной пластинке, использовано в качестве эталона блеска. Электрохимические превращения компонентов смеси при 20°С изучены в работе [145]. При этом выявлен синергетический эффект добавок на скорость их разложения и внедрение серы в покрытие. В частности, авторы предполагают, что бутиндиол увеличивает адсорбцию сахарина, за счет чего увеличивается внедрение серы в покрытие.
Ряд стандартных блескообразователей (сахарин, бутиндиол, формалин, хлорамин Б) вводили в электролит Уоттса, содержащий декагидродекаборат натрия (, 100 мг/л) для получения блестящих, термостойких с малыми внутренними напряжениями борсодержащих покрытий [164].
2.2 РАЗРАБОТКА НОВЫХ ДОБАВОК, МОДИФИЦИРУЮЩИХ СВОЙСТВА ПОКРЫТИЙ
Хотя разработка новых добавок в электролиты никелирования чаще всего осуществляется на эмпирической основе, тем не менее, для исследований выбираются соединения определенной структуры, которую можно сопоставить со структурой известных добавок. С этой позиции можно определить несколько путей создания новых добавок:
Модификация структуры известных блескообразователей;
Направленный синтез соединений, содержащих фрагменты молекул наиболее известных добавок;
Исследование органических соединений, способных к комплексообразованию с ионами никеля и к адсорбции на никелевой поверхности.
2.2.1 МОДИФИКАЦИЯ СТРУКТУРЫ СУЛЬФОНАМИДОВ И СУЛЬФОНАТОВ
Учитывая высокий блескообразующий эффект сахарина (имида 2-сульфобензойной кислоты) были исследованы некоторые его производные [144–147]. Особое внимание в этом отношении заслуживает N-бутинолсахарин [144], который позволяет получать блестящие покрытия в электролите Уоттса при 55°С в широком интервале плотности тока (0.5–15 А/дм2). Препятствием на пути широкого использования этой добавки, возможно, послужила сложность ее получения. Кроме того, в представленных работах не исследованы другие характеристики получаемых покрытий.
В качестве блескообразующих добавок были предложены N-трихлорэтиламиды уксусной и бензойной кислот и трихлорэтиламиды сульфоновых кислот (рис. 3): 1-гидрокси-2,2,2-трихлорэтиламиды карбоновых кислот (1а, 1б,) 2,2,2-трихлорэтиламид-4-толуолсульфоновой кислоты (2) и 1–4-метоксифенил-2,2,2-трихлорэтиламид-4-хлорфенил сульфоновой кислоты (3) [165–167].
Рис. 3. Производные трихлорэтиламидов
Из исследованных четырех соединений три показали эффект образования блестящих низкопористых покрытий при концентрации в модифицированном электролите Уоттса 0.1–0.7 г/л [167]. Полученные данные показывают, что присутствие серы в блескообразователях, которые можно отнести к 1 классу, является необязательным фактором.
В работе [168] в сульфатном и метансульфоновом электролитах в качестве добавок 1 класса исследованы натриевые производные аллил-, пропаргил- и арилсульфонатов, которые позволили получить покрытия с низкими внутренними напряжениями. Наилучшие показатели получены для пропаргилсульфоната, который был исследован также в работе [169] наряду с другими ацетиленовыми производными.
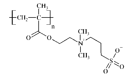
В условиях импульсного электроосаждения с использованием низкоконцентрированного сульфатного электролита в присутствии соли винной кислоты была исследована полимерная сульфонатная добавка – поли(диметиламиноэтилметакрилоил)пропансульфонат [170] (рис. 4).
Рис. 4. Структура полимерной добавки
В присутствии добавки был получен осадок с размером зерен 6–10 нм (без добавки – 25–44 нм).
2.2.2 ИСПОЛЬЗОВАНИЕ В КАЧЕСТВЕ ДОБАВОК АЦЕТИЛЕНОВЫХ И МНОГОАТОМНЫХ СПИРТОВ
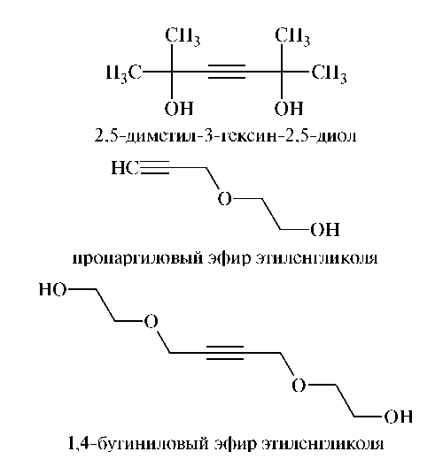
Учитывая высокий блескообразующий эффект бутиндиола – двухатомного ацетиленового спирта, были исследованы его гомологи – производное гексиндиола [171, 172] и двухатомные спирты с тройной связью [170, 172, 173] (рис. 5).
Рис. 5. Новые типы ацетиленовых спиртов, используемых в качестве блескообразующих добавок
Гексиндиол в концентрации 0.5–8.0 г/л исследован в сульфатном электролите [172] при одновременном введении формальдегида (в виде формалина, 10 г/л) и бензальдегида (0.5–2.0 г/л). При совместном присутствии трех добавок при температуре 40°–50°С и рН 4.5 блестящие ровные покрытия были получены в двух диапазонах плотности тока 2–7 и 10–16 А/дм2. Поведение этой системы при электролизе было изучено методами квантовой химии [171]. Расчет показал образование устойчивого комплексного иона, в координационной сфере которого в качестве лигандов, помимо молекул воды, выступают молекулы деметилированного гексиндиола и молекулы альдегидов. Причем эти комплексы разряжаются в первую очередь. Отмечено также, что органические частицы, не включенные в комплекс, не дают устойчивой системы с кластером Ni49.
Пропаргиловый эфир этиленгликоля (1 мл/л) был исследован в электролите Уоттса [173]. Однако по блескообразующей способности он уступал пропаргиловому спирту. Бутиниловый эфир этиленгликоля (0.01–0.05 мл/л) [173] в электролите Уоттса проявлял выравнивающий эффект только при максимальной используемой концентрации.
В работе [174] в качестве добавки исследованы достаточно сложные аминопроизводные 1-метакрилокси-1-пропинилциклогексана (рис. 6). Добавки в электролит Уоттса вводились в концентрации 0.15–0.3 г/л и при плотности тока 5 А/дм2, температуре 50°С и рН 5 были получены блестящие низкопористые покрытия.
Рис. 6. Структура аминопроизводных 1-метакрилокси-1-(3-аминопропинил)циклогексана
Учитывая блескообразующий эффект двухатомного спирта бутиндиола, в работе [175] в качестве добавок в низкоконцентрированном сульфатно-хлоридном электролите исследованы многоатомные спирты: трехатомный спирт, глицерин и шестиатомные спирты: маннит и сорбит (рис. 7).
Рис. 7. Многоатомные спирты, исследованные в качестве добавок в электролит никелирования
Спирты использованы в достаточно высокой концентрации: глицерин 11.5–45.8 г/л, маннит и сорбит – 23.7–94.6 г/л. При комнатной температуре электролиза на платиновой поверхности были получены блестящие осадки. Методом вольтамперометрии показано, что добавки влияют на кинетику, но не на термодинамику осаждения. На основании этого предположено и подтверждено методом УФ спектроскопии, что спирты не образуют комплексы с ионами никеля. Это также подтверждается тем, что по данным энергодисперсионной рентгеновской спектроскопии получаемое покрытие не содержит углерод. Однако в растворе формируются комплексы спиртов с борной кислотой (рис. 8), которые за счет повышенной кислотности обладают более эффективным буферирующим действием, обеспечивая выход по току ~95%. Возможность образования комплексов ионов никеля с борной кислотой постулировано в работе [176].
Рис. 8. Комплексообразование борной кислоты с многоатомными спиртами
2.2.3 ИССЛЕДОВАНИЕ ПРОИЗВОДНЫХ ТИОМОЧЕВИНЫ
Тиомочевина является практически универсальной блескообразующей добавкой при нанесении покрытий многих металлов [1], однако в состав промышленных электролитов никелирования она не включена. Это обусловлено тем, что никелевые покрытия при ее присутствии в электролите, хотя и получаются блестящими, обладают рядом существенных недостатков. Еще в 1953 г. в работе [177] были представлены данные о влиянии 76 органических соединений на процесс никелирования, где отмечено своеобразие тиомочевины. Более поздние исследования подтвердили, что тиомочевина, в частности, увеличивает внутренние напряжения в покрытии [24], способствует наводороживанию осадка [178], существенно снижает выход по току [179]. В последней работе отмечено, что тиомочевина в концентрации 2–5 мг/л не воздействует на качество осадка, однако повышение концентрации до 10 мг/л вызывает образование неровностей. При содержании тиомочевины в низкоконцентрированном сульфатном электролите 40 мг/л при плотности тока 2 А/дм2, температуре 60°С были получены темные неровные осадки. Авторы считают, что потемнение осадка обусловлено включением в него сульфида никеля, пути образования которого, рассмотрены при разложении тиомочевины. Включение серы в покрытие при использовании тиомочевины изучалось и в более ранней работе [180], причем показано, что с увеличением плотности тока количество серы в осадке уменьшается. В более поздней работе [181] эта закономерность подтверждена не только для тиомочевины, но и для сахарина.
Помимо масштабных исследований влияния тиомочевины на качество получаемых никелевых покрытий предприняты испытания в качестве добавок различных ее производных. В работе [182] изучено влияние на блеск осадка структурного аналога тиомочевины дитиоксамида (рубеановодородной кислоты) H2NCS–CSNH2. Это соединение не растворялось в электролите Уоттса, поэтому было исследовано в виде суспензии. Блеск образующихся покрытий сопоставим с блеском покрытий, полученных в тех же условиях в присутствии тиомочевины.
Исследованы также аминопроизводные тиомочевины тиосемикарбазиды (, где и – водород или арил) [183, 184]. Блестящие никелевые покрытия были получены в электролите Уоттса с добавкой 0.05–0.15 г/л лаурилсульфата натрия и ~0.01–0.5 г/л тиосемикарбазидов при температуре 50°–60°С и рН 3.4–4.5.
Интерес, с точки зрения использования в качестве добавок в электролиты никелирования, представляют продукты конденсации тиомочевины с органическими галогенидами – изотиурониевые соли. Их использование обеспечивает следующие преимущества:
- Легкость химического синтеза, который может стимулировать получение широкого разнообразия по структуре с возможностью введения практически любых функциональных групп;
- Изотиурониевые соли, как правило, хорошо растворимы в воде;
- Органическая часть соли несет положительный заряд, что облегчает миграционный перенос добавки к катоду.
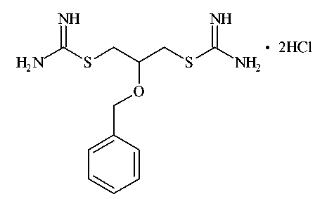
Однако первые сведения об использовании изотиурониевых солей появились в патентной литературе только в 1990 г. [185]. Предлагаемая в качестве добавки довольно сложная по структуре соль дигидрохлорид S,Sˊ-(2-бензилоксипропан)диизотиомочевина (использована в концентрации 0,7 г/л) содержит два изотиурониевых фрагмента (рис. 9), что способствует повышению рассеивающей способности электролита и обеспечивает получение блестящего покрытия с хорошими физико-химическими характеристиками. В дальнейшем ассортимент солей подобного типа был расширен [186] и было показано, что используемые соли, помимо образования блестящего покрытия, эффективно ингибируют наводороживание поверхности.
Рис. 9. Структура дигидрохлорида (2-бензилоксипропан)-1,3-диизотиомочевины
В качестве добавки в электролит никелирования запатентовано [187] соединение (рис. 10), близкое по структуре изотиурониевой соли, представленной на рис. 9 – дигидрохлорид 2-аллилокси-1,3-диморфолинопропана. Автор считает, что в электролите Уоттса эта соль препятствует наводороживанию, а в качестве блескообразователя дополнительно вводится 2,4-динитрофенилгидразин.
Рис. 10. Структура дигидрохлорида 2-аллилокси-1,3-диморфолинопропана
В работах [188–191] представлен широкий набор изотиурониевых солей (рис. 11), которые различаются длиной углеводородной цепи, ее строением и количеством изотиурониевых фрагментов.
Рис. 11. Структура изотиурониевых солей, исследованных в работе [191]
В присутствии всех изученных добавок (рис. 11) были получены блестящие покрытия, причем максимальный блеск наблюдается для аллилизотиуроний бромида (0.5 г/л) и 1,4-бисизотиуронийбутен-2 дихлорида (0.03 г/л) при плотности тока 5 А/дм2.
Исследование поляризационных кривых выделения никеля показало, что для всех изученных добавок скорость разряда ионов никеля лимитируется одной и той же стадией. Предположено, что причиной торможения разряда может являться участие вводимых добавок в комплексообразовании с ионами никеля, что было подтверждено методом УФ спектроскопии.
Представленные результаты показывают, что изотиурониевые соли с различными заместителями могут представлять интерес и для практической гальванотехники.
2.2.4 ИССЛЕДОВАНИЕ ГЕТЕРОЦИКЛИЧЕСКИХ СОЕДИНЕНИЙ В КАЧЕСТВЕ ДОБАВОК В ЭЛЕКТРОЛИТЫ НИКЕЛИРОВАНИЯ
Большинство гетероциклических соединений являются эффективными лигандами при комплексообразовании с переходными металлами и легко адсорбируются на электродах. Поэтому интерес к ним, как к добавкам в электролиты, совершенно неслучаен. Достаточно отметить, что в ряду блескообразователей, применяемых в практике (табл. 1) к гетероциклам относятся такие соединения, как сахарин, кумарин, фталимид, барбитуровая кислота и хинальдин. Все это определяет пристальное внимание исследователей к гетероциклическим структурам, как к добавкам в электролиты никелирования.
В качестве новых добавок прежде всего следует отметить применение пиридина и его простейших производных (пиколинов) [192] и хинолина [193]. В работе [192] отмечено, что добавки пиридиновых соединений (2–40 мг/л) при температуре 60°С, рН 2,5 и плотности тока 2 А/дм2 дают гладкие компактные осадки, причем пиколины действуют эффективнее, чем сам пиридин.
С использованием электролита Уоттса исследовано влияние 6 добавок пиридиниевых солей (рис. 12), вводимых в концентрации 0.5–4.0 г/л [193]. Влияние солей рассматривалось при их индивидуальном присутствии в электролите, а также в виде смеси с сахарином или бутиндиолом. С использованием методов квантовой химии изучены возможные теоретические модели адсорбции исследуемых соединений на кристаллографических гранях никеля. Именно адсорбция способствует формированию определенной структуры в покрытии.
Рис. 12. Структура исследованных пиридиниевых солей в работе [194]
В работе [173] в электролите Уоттса исследована внутренняя соль N-(3-сульфопропил)пиридиния (рис. 13) в количестве 0.01–0.05 г/л. Воздействие этой соли сопоставимо с влиянием пропагилового спирта и 1,4-бутинилового эфира этиленгликоля.
Рис. 13. Внутренняя соль 3-сульфопропилпиридиния
Важным представителем пиридиновых соединений, используемых для получения блестящих никелевых покрытий, является изоникотиновая кислота (рис. 14) [195–197]. Она была добавлена в электролит Уоттса в концентрации 0.5–1.5 г/л, что позволило получить блестящие покрытия без внутренних напряжений.
Рис. 14. Структура изоникотиновой кислоты
В электролите Уоттса исследовано поведение производного пиримидина – 2-окси-4,6-диметилпиримидина [198] (рис. 15). Обнаружено, что при концентрации пиримидина в электролите 3.7 г/л при плотности тока 2–5 А/дм2 и рН 2–3.5 могут быть получены блестящие покрытия с высокой микротвердостью и устойчивостью к коррозии в условиях солевого тумана.
Рис. 15. Структура 2-окси-4,6-диметилпиримидина
Важное семейство гетероциклических структур представляют макроциклические гетероциклы, особенно краун-эфиры [199]. Не остались без внимания они и при исследовании процесса никелирования [200, 201]. Введение краун-эфиров, в частности, 15-крауна-5 (рис. 16) в сульфатный электролит приводит к получению плотного, практически безпористого осадка с повышенными защитными свойствами. При одновременном введении краун-соединений и лактамов в электролит никелирования [201] можно получить покрытия высокого качества.
Рис. 16. Структура 15-краун-5 и одного из исследованных порфиринов
К макрогетероциклическим структурам относятся также порфирины, некоторые из которых (рис. 16) были исследованы в процессе осаждения никеля из модифицированного электролита Уоттса при температуре 20°С и плотности тока 1 А/дм2. Модифицирующая добавка порфирина вводилась в количестве 0.1–50 мг/л. Полученные покрытия имели низкий уровень шероховатости, повышенную микротвердость, низкую пористость и незначительные внутренние напряжения [202].
Для проверки возможности применения принципа линейных соотношений свободных энергий реакции и энергий активации к интерпретации закономерностей электроосаждения никеля из сульфатного электролита исследованы комбинации добавок, включающие производные бензимидазола, имидоазобензимидазола и другие сложные органические соединения [203]. Каждая добавка включала 3–5 компонентов, принадлежащих к различным реакционным сериям. Результаты, полученные авторами, однозначно указывают на правомерность применения корреляционного анализа к процессу электроосаждения никеля.
2.2.5 ИСПОЛЬЗОВАНИЕ ЭЛЕМЕНТООРГАНИЧЕСКИХ СОЕДИНЕНИЙ
Для повышения микротвердости получаемых покрытий в низкоконцентрированный электролит Уоттса были добавлены кремний- и фосфорсодержащие органические соединения, представленные на рис. 17 [204].
Рис. 17. Исследованные кремний-фосфорорганические соединения
При концентрации добавок 0.2–1.0 мл/л, рН 4.2–5.3 и плотности тока 2–4 А/дм2 добавки повышали микротвердость покрытия до 4 раз. В образовавшихся осадках были обнаружены кремний и фосфор.
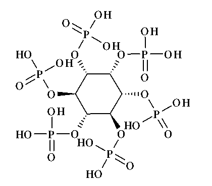
Влияние природного соединения, выделяемого из некоторых бобовых растений – фитиновой кислоты (рис. 18), на микроструктуру и коррозионное сопротивление покрытий, наносимых в электролите Уоттса в импульсно-реверсированном режиме представлено в работе [205].
Рис. 18. Структура фитиновой кислоты
Показано, что лучшие антикоррозионные свойства покрытия проявляются при концентрации фитиновой кислоты в электролите 0.2 г/л. В электролите также использована добавка бутиндиола (0.2 г/л) и додецилсульфата натрия (0.1 г/л).
ЗАКЛЮЧЕНИЕ
Анализ приведенных данных показывает, что на свойства электрохимически нанесенных никелевых покрытий оказывает влияние большое число факторов. С одной стороны, это позволяет подбирать определенный набор условий процесса и вводимых органических добавок, дающих возможность получать покрытия, отвечающие конкретным, порой достаточно специфичным, требованиям по эксплуатации покрываемых деталей. Однако это существенно усложняет подбор необходимых условий, поэтому определенная систематизация имеющихся данных, несомненно, может облегчить выбор необходимых условий. Кроме того, нельзя считать окончательно решенной задачу создания добавок, которые удовлетворяли бы широкому набору требований, предъявляемым к ним. Конечно, речь не может идти об универсальной добавке, которая отвечает всем требованиям, но разработка сравнительно дешевых, токсикологически безопасных, позволяющих получать покрытия нужного качества органических добавок в электролит еще долго будет актуальной для гальваностегии. В этом отношении, несомненно, будут полезны сведения, приведенные в данном обзоре.
Представленный обзор не претендует на анализ всех источников по обсуждаемой проблеме, опубликованных за последние 10–20 лет. Однако ключевые работы, касающиеся электрохимического нанесения никелевых покрытий, по нашему мнению, процитированы в нем достаточно полно.
About the authors
Н. Г. Сосновская
Федеральное государственное бюджетное образовательное учреждение ВО Ангарский государственный технический университет
Author for correspondence.
Email: sosnina148@mail.ru
Russian Federation, ул. Чайковского, д. 60, Ангарск, Иркутская обл., 665835
Н. В. Истомина
Федеральное государственное бюджетное образовательное учреждение ВО Ангарский государственный технический университет
Email: sosnina148@mail.ru
Russian Federation, ул. Чайковского, д. 60, Ангарск, Иркутская обл., 665835
И. Н. Богданова
Федеральное государственное бюджетное учреждение науки Иркутский институт химии им. А.Е. Фаворского СО РАН
Email: sosnina148@mail.ru
Russian Federation, ул. Фаворского, д. 1, Иркутск, 664033
И. Б. Розенцвейг
Федеральное государственное бюджетное учреждение науки Иркутский институт химии им. А.Е. Фаворского СО РАН
Email: sosnina148@mail.ru
Russian Federation, ул. Фаворского, д. 1, Иркутск, 664033
М. Д. Тюрин
Федеральное государственное бюджетное образовательное учреждение ВО Ангарский государственный технический университет
Email: sosnina148@mail.ru
Russian Federation, ул. Чайковского, д. 60, Ангарск, Иркутская обл., 665835
Н. А. Корчевин
Федеральное государственное бюджетное образовательное учреждение ВО Ангарский государственный технический университет; Федеральное государственное бюджетное учреждение науки Иркутский институт химии им. А.Е. Фаворского СО РАН
Email: sosnina148@mail.ru
Russian Federation, ул. Чайковского, д. 60, Ангарск, Иркутская обл., 665835; ул. Фаворского, д. 1, Иркутск, 664033
References
- Гамбург Ю.Д., Зангари Дж. Теория и практика электроосаждения металлов. М.: БИНО М. Лаборатория знаний. 2015. 438 с.
- Целуйкин В.Н. // Физикохимия поверхности и защита материалов. 2009. Т. 45. № 3. С. 287.
- Мамаев В.И., Кудрявцев В.Н. Никелирование. Под ред. В. Н. Кудрявцева. М.: РХТУ им. Д. И. Менделеева. 2014. 192 с.
- Amini M., Kabiri M. // J. Iran. Chem. Sоc. 2005. V. 2. P. 32.
- Ташкурьян Ж., Бсадеризаде С.М, Монтазерохори М. // Электрохимия. 2015. Т. 51. № 3. С. 248.
- Sadiku-Agboola O., Sadiku E.R., Biotidara O.F. // Int. J. Phys. Sci. 2012. V. 7. P. 349.
- Будрейко Е.Н. // Гальванотехника и обработка поверхности. 2018. Т. 26. № 1. С. 36.
- Матулис Ю.Ю. // Журн. Всесоюзного хим. общества им. Д. И. Менделеева. 1963. Т. 8. № 5. С. 482.
- Oniciu L., Muresan L. // J. Appl. Electrochem. 1991. V. 21. P. 565.
- Mohanty U.S., Tripathy B.C., Singh P. et al. // J. Appl. Electrochem. 2019. V. 49. № 9. P. 847.
- Березин Н.Б., Межевич Ж.В. // Вестн. технолог. унив-та. 2016. Т. 19. С. 60.
- Orinakova R., Turonova A., Kladekova D. et al. // J. Appl. Electrochem. 2006. V. 36. P. 957.
- John S. // Metal Finishing. 1997. № 6. P 84.
- Ibrahim M.A. M. // J. Appl. Electrochem. 2006. V. 36. P. 295.
- Гальдикене Р.П., Шальтене Ж.П., Петраускас А.В. // Защита металлов. 1994. Т. 30. № 6. С. 642.
- Yang F., Tian W., Nakano H. et al. // Materials Transactions. 2010. V. 51. P. 948.
- Инженерная гальванотехника в приборостроении. Под ред. А. М. Гинберга. М.: Машиностроение. 1977. 512 с.
- Ebrahimi F., Ahmed Z. // J. Appl. Electrochem. 2003. V. 33. P. 733.
- Zhao H., Liu L., Zhu J. et al. // Mater. Lett. 2007. V. 61. P. 1605.
- Aruna S.T., Diwakar S., Jain A., Rajam K.S. // Surf. Eng. 2005. V. 21. № 3. P. 209.
- Lin C.S., Hsu P.S., Chang L., Chen C.H. et al. // J. Appl. Electrochem. 2001. V. 31. P.325.
- Pathak S., Guinard M., Vernooij M.G. C. et al. // Surf. Coat. Technol. 2011. V. 205. P. 3651.
- Чернышова И.С., Максименко С.А., Кудрявцев В.Н. // Гальванотехника и обработка поверхности. 1996. Т. 3. № 3. С. 12.
- Скнар И.В., Баскевич А.С., Скнар Ю.Е. // Вопросы химии и химич. технол. 2011. № 4. С. 183.
- Данилов Ф.И., Скнар Ю.Е., Ткач И.Г., Скнар И.В. // Электрохимия. 2015. Т. 51. № 4. С. 347.
- Данилов Ф.И., Скнар И.В., Скнар Ю.Е. // Гальванотехника и обработка поверхности. 2012. Т. 20. № 4. С. 29.
- Балакай В.И., Курнакова Н.Ю., Арзуманова А.В. и др. // Журн. прикл. химии. 2009. Т. 82. № 2. С. 262.
- Балакай В.И., Арзуманова А.В., Мурзенко К.В. и др. // Гальванотехника и обработка поверхности. 2009. Т. 17. № 4. С. 32.
- Балакай В.И., Арзуманова А.В., Балакай К.В. // Журн. прикл. химии. 2010. Т. 83. С. 67.
- Балакай В.И., Курнакова Н.Ю., Мурзенко К.В. и др. // Журн. прикл. химии. 2011. Т. 84. С. 1640.
- Valles E., Pollina R., Gomes E. // J. Appl. Electrochem. 1993. V. 23. P. 508.
- Ji J .X., Cooper Ch. // Electrochim. Acta. 1996. V. 41. № 9. P. 1549.
- Karayannis H.S., Patermarakis G. // Electrochim. Acta. 1995. V. 40. № 9. P. 1079.
- Hashemzadeh M., Raeissi K., Ashrafizadeh F., Khorsand S. // Surf. Coat. Technol. 2015. V. 283. P. 318.
- Антихович И.В., Черник А.А., Жарский И.М., Болвако А.К. // Электрохимия. 2015. Т. 51. № 3. С.328.
- Антихович И.В., Черник А.А., Жарский И.М. // Вестн. Белорусского гос. унив-та. Сер. 2. 2014. № 1. С. 15.
- Xu Y.T., Dai Y.J., Zhang W., Xia T.D. // Surf. Coat. Technol. 2017. V. 330. P. 170.
- Supicova M., Rozik R., Trnkova L. et al. // J. Solid State Electrochem. 2006. V. 10. P. 61.
- Doi T., Mizumoto K., Tanaka S., Yamashita T. // Metal Finishing. 2004. V. 102. № 4. Р. 26.
- Цупак Т.Е., Бек Р.Ю., Лосева Е.Н., Бородихина Л.И. // Электрохимия. 1982. Т. 18. № 1. С. 86.
- Бек Р.Ю., Цупак Т.Е., Шураева Л.И., Коптева Н.И. // Журн. прикл. химии. 1996. Т. 69. № 11. С. 1880.
- Звягинцева А.В., Филичева А.И., Спиридонов Б.А., Шалимов Ю.Н. // Хим. и химич. технол. 1988. Т. 31. № 12. С.91.
- Седойкин А.А., Цупак Т.Б. // Гальванотехника и обработка поверхности. 2017. Т. 25. № 4. С. 10.
- Gamburg Yu. D., Grosheva M.Yu., Biallozor S., Hass M. // Surf. Coat. Technol. 2002. V. 150. P. 95.
- Спиридонов Б.А., Соколов Ю.В. // Гальванотехника и обработка поверхности. 2007. Т. 15. № 1. С. 23.
- Ву Тхи Зуен, Долгих О.В., Соцкая Н.В., Котлярова Е.А. // Конденсированные среды и межфазные границы. 2009. Т. 11. № 1. С. 37.
- Антихович И.В., Харитонов Д.С., Черник А.А., Добрыдень И.Б. // Журн. прикл. химии. 2017. Т. 90. С. 469.
- Макарова И.В., Харитонов Д.С., Добрыдень И.Б., Черник А.А. // Журн. прикл. химии. 2018. Т. 91. № 9. С. 1273.
- Долгих О.В., Соцкая Н.В., Сапронова Л.В. // Конденсированные среды и межфазные границы. 2012. Т. 14. № 2. С. 175.
- Седойкин А.А., Цупак Т.Е. // Электрохимия. 2008. Т. 44. № 3. С. 343.
- Балакай В.И., Сопина Н.А., Цевменко О.Э. // Усп. совр. естествозн. 2015. № 11. С.15.
- Перелыгин Ю.П., Киреев С.Ю., Липовский В.В., Ягниченко Н.В. // Гальванотехника и обработка поверхности. 2008. Т.16. № 2. С.14.
- Иванов С.В. // Укр. хим. журн. 1982. Т.58. № 8. С.665.
- Сапронова Л.В., Соцкая Н.В., Долгих О.В. // Конденсированные среды и межфазные границы. 2013. Т. 15. № 4. С. 446.
- Соцкая Н.В., Сапронова Л.В., Долгих О.В. // Физикохимия поверхности и защита материалов. 2014. Т. 50. № 1. С. 26.
- Mech K. // Surf. Coat. Technol. 2017. V. 315. P. 282.
- Li C.Q., Li X.H., Wang Z.X., Guo H.J . // Trans. Nonferrous Met. Soc. China. 2017. V. 13. P. 1300.
- Lacjevac U., Jovic B.M., Jovic V.D. // J. Electrochem. Soc. 2012. P. D310.
- Соцкая Н.В., Долгих О.В. // Физикохимия поверхности и защита материалов. 2008. Т. 44. № 5. С. 514.
- Таранина О.А., Евреинова Н.В., Шошина И.А. и др. // Журн. прикл. химии. 2010. Т. 83. № 1. С. 60.
- Ibrahim M.A. M., Al Radadi R.M. // Int. J. Electrochem. Sci. 2015. V.10. P. 4946.
- Долгих О.В., Соцкая Н.В., Шаманаева Е.С. // Конденсированные среды и межфазные границы. 2007. Т. 9. № 1. С. 32.
- Demchyshyna O., Vargalyuk V., Polonskyy V. et al. // Eastern-Europen Journal of Enterprise Technologies. 2017. V. 6. № 6. Р. 41.
- Данилов Ф.И., Скнар И.В., Скнар Ю.Е. // Электрохимия. 2011. Т. 47. № 9. С. 1109.
- Bakonyi I., Toth-Kadar E., Pogany L. et al. // Surf. Coating Technol. 1996. V. 78. P. 124.
- Wilkes J.S., Levisky J.A., Wilson R.A., Hussey Ch. L. // Inorg. Chem. 1982. V. 21. P. 1263.
- Liu F., Deng Y., Han X. et al. // J. Alloys and Compounds. 2016. V. 654. P. 163.
- Abbott A.P., McKenzie K.J. // Phys. Chem. Chem. Phys. 2006. V. 8. P. 4265.
- Mann O., Pan Ge-Bo, Freyland W. // Electrochim. Acta. 2009. V. 54. P. 2487.
- Deng M.J., Sun I.W., Chen P.Y. et al. // Electrochim. Acta. 2008. V. 53. P. 5812.
- Buzzeo M.C., Evans R.G., Compton R.G. // Phys. Chem. Chem. Phys. 2004. V. 5. P. 1106.
- Zhu Y.L., Kozuma Y., Katayama Y., Miura T. // Electrochim. Acta. 2009. V. 54. P. 7502.
- Zhu Y.L., Katayama Y., Miura T. // Electrochim. Acta. 2010. V. 55. P. 9019.
- Gou S.P., Sun I.W. // Electrochim. Acta. 2008. V. 53. P. 2538.
- Smith E.L., Abbott A.P., Ryder K.S. // Chem. Rev. 2014. V. 114. P. 11060.
- Abbott A.P., Ballantyne A., Harris R.C. et al. // Phys. Chem. Chem. Phys. 2017. V.19. P. 3219.
- Yang H., Guo X., Birbilis N. et el. // Appl. Surf. Sci. 2011. V. 257. P. 9094.
- Abbott A.P., El Ttaib K., Ryder K.S., Smith E.L. // Transaction of the Institute of Metal Finishing. 2008. V. 86. № 4. P. 234.
- Sadiku-Agboola O., Sadiku E.R., Ojo O.I. et al. // Portugaliae Electrochim. Acta. 2011. V. 29. № 2. P. 91.
- Долгих О.В., Соцкая Н.В., Зуен Ву Тхи // Физикохимия поверхности и защита материалов. 2009. Т. 45. С. 636.
- Boubatra M., Azizi A., Schmerber G., Dinia A. // Ionics. 2012. V. 18. P. 425.
- Kollia C., Loizos Z., Spyrellis N. // Surf. Coat. Technol. 1991. V. 45. P. 155.
- Nasirpouri F., Sanaeian M.R., Samardak A.S. et al. // Appl. Surf. Sci. 2014. V. 292. P. 795.
- Ul-Hamid A., Dafalla H., Quddus A. et al. // Appl. Surf. Sci. 2011. V. 257. P. 9251.
- Милушкин А.С., Дундене Г.В. // Защита металлов. 1992. Т. 28. № 5. С. 806.
- Шушков Р.В., Соловьева Н.Д. // Вестн. Саратовского гос. технич. унив-та. 2006. Т. 4. № 1. С. 53.
- Pavlatou E.A., Raptakis M., Spyrellis N. // Surf. Coat. Technol. 2007. V. 201. P. 4571.
- Nasirpouri F., Bending S.J., Peter L.M. et al. // Thin Solid Films. 2011. V. 519. P. 8320.
- Lu Y., Luo S., Ren Z. et al. // Surf. Coat. Technol. 2021. V. 409. № 126833.
- Borcar T., Harimkar S.P. // Surf. Coat. Technol. 2011. V. 205. P. 4124.
- Wasecar N.P., Haridoss P., Seshadri S.K., Sundararajan G. // Surf. Coat. Technol. 2016. V. 291. P. 130.
- El-Sheric A.M., Erb U., Page J. // Surf. Coat. Technol. 1996. V. 88. P. 70.
- Wong K.P., Chan K.C., Yue T.M. // J. Appl. Electrochem. 2001.V. 31. P. 25.
- Qu N.S., Zhu D., Chan K.C., Lei W.N. // Surf. Coat. Technol. 2003. V. 168. P. 123.
- Киреев С.Ю., Фролов А.В. // Коррозия: материалы, защита. 2020. № 12. С. 32.
- Антихович И.В., Черник А.А., Жарский И.М. // Изв. СПб. госуд. технолог. института. 2013. № 20(60). С.30.
- Пеганова Н.В., Цупак Т.Е. // Гальванотехника и обработка поверхности. 2007. Т. 15. № 4. С. 18.
- Devos O., Aaboubi O., Chopart J.P. et al. // J. Electrochem. Soc. 1998. V. 145. P. 4135.
- Ganech V., Vijayaraghavan D., Laskshminarayanan V. // Appl. Surf. Sci. 2005. V. 240. P. 286.
- Легкая Д.А., Соловьева Н.Д., Яковлев А.В. // Журн. прикл. химии. 2017. Т. 90. С. 1199.
- Ning Z., He Y.D., Gao W. // Surf. Coat. Technol. 2008. V. 202. P. 2139.
- Wakabayshi H., Sato N., Sone M. et al. // Surf. Coating Technol. 2005. V. 190. P. 200.
- Левин А.И. // Журн. Всесоюзного химич. общества им. Д. И. Менделеева. 1988. Т. 33. № 3. С. 252.
- Кудрявцев Н.Т. Электролитические покрытия металлами. М.: Химия. 1979. 352 с.
- Xiang T., Ding S., Li C. et el. // Materials and Design. 2017. V. 114. P. 65.
- Wojciechowski J., Baraniak M., Pernak J., Lota G. // Int. J. Electrochem. Sci. 2017. V. 12. P. 3350.
- Скибина Л.М., Кузнецов В.В., Сухоленцев Б.А. // Защита металлов. 2001. Т. 37. № 2. С. 182.
- Скибина Л.М., Соколенко А.И., Бурдина Е.И. // Физикохимия поверхности и защита материалов. 2011. Т. 47. № 5. С. 502.
- Скибина Л.М., Мауэр Л.К., Соколенко А.И., Дуран Дельгадо О.А. // Физикохимия поверхности и защита материалов. 2019. Т. 55. № 3. С. 314.
- Rudnik E., Voinicki M., Wloch G. // Surf. Coat. Technol. 2012. V. 207. P. 375.
- Meng G., Li Y., Shao Y. et al. // J. Mater. Sci. Technol. 2016. V. 32. P. 465.
- Wang I., Zhang J., Gao Y. et al. // Scripta Mater. 2006. V. 55. P. 657.
- Roy I., Yang H. W., Dinh L. et al. // Scripta Mater. 2008. V. 59. P. 305.
- Li Y.J., Mueller J., Hoppel H.W., et al. // Acta Mater. 2007. V. 55. P. 5708.
- Jeong D.H., Gonzalez F., Palumbo G. et al. // Scripta Mater. 2001. V. 44. P. 493.
- Mohamed F.A., Chauhan M. // Metallurgical and Material Transactions A. 2006. V. 37A. P. 3555.
- Yang B., Vehoff H. // Acta Mater. 2007. V. 55. P. 849.
- Wang L.P., Gao Y., Xu T., Xue Q.J. // Mater. Chem. Phys. 2006. V. 99. P. 96.
- Schuh C.A., Nieh T.G., Yamasaki T. // Scripta Mater. 2002. V. 46. P. 735.
- Natter H., Schmelzer M., Hempelmann R. // J. Mater. Res. 1998. V.13. № 5. P.1186.
- Thuvander M., Abraham M., Cerezo A., Smith G.D. W. // Mater. Sci. and Technology. 2001. V. 17. № 8. P.961.
- Abraham M., Holdway P., Thuvander M. et al. // Surface Eng. 2002. V. 18. № 2. P. 151.
- Матулис Ю.Ю. // Защита металлов. 1983. Т. 19. № 3. С. 355.
- Costavaras Th.Ap., Froment M., Hugo-Le Goff A., Georgoulis C. // J. Electrochem. Soc. 1973. V. 120. P. 867.
- Nayak B., Karunakaran K. // J. Appl. Electrochem. 1982. V. 12. P. 323.
- Грилихис С.Я., Тихонов К.И. Электролитические и химические покрытия. Теория и практика. Л. Химия. 1990. 288 с.
- Бигелис В.М., Карнута О.Я., Навалихин Л.В. и др. // Электрохимия. 1994. Т. 37. № 1. С. 107.
- Tripathy B.C., Singh P., Muir D.M., Das S.C. // J. Appl. Electrochem. 2001. V. 31. P.301.
- Schmitz E.P. S., Quinaia S.P., Garcia J.R. et al. // Int. J. Electrochem. Sci. 2016. V. 11. P. 983.
- Свирь К.А., Османова Э.Д., Буркат Г.К. // Изв. СПб гос. технолог. института. 2017. № 41(67). С. 44.
- Баркова А.Т., Попова А.Н., Колесников В.А. // Гальванотехника и обработка поверхности. 2021. Т. 29. № 3. С. 4.
- Rogers G.T., Taylor K.J. // Electrochim. Acta. 1966. V. 11. P. 1685.
- Mimani T., Mayanna S.M., Munichandraih N. // J. Appl. Electrochem. 1993. V. 23. P. 339.
- Nam D.H., Hong K.S., Kim J.S. et al. // Surf. Coating Technol. 2014. V. 248. P. 30.
- Гамбург Ю.Д. Гальванические покрытия. Технологии, характеристики, применение. Долгопрудный: Изд. дом “Интеллект”. 2018. 240 с.
- Kang J.X., Zhao W.Z., Zhang G.F. // Surf. Coat. Technol. 2009. V. 203. P. 1815.
- Zhang W., Xu Y.T., Xia T.D. et al. // Electroplating and Finishing. 2015. V. 20. P. 1145.
- El-Sherik A.M., Erb U. // J. Mater. Sci. 1995. V. 30. P. 5743.
- Mishra R., Balasubramaniam R. // Corrosion Science. 2004. V. 46. P. 3019.
- Mishra R., Basu B., Balasubramaniam R. // Mater. Sci. and Engineering A. 2004. V. 373. P. 370.
- Mishra A.C., Thakur A.K., Srinivas V. // J. Mater. Sci. 2009. V. 44. P. 3520.
- Gu C.D., Lian J.S., He J.G. et al. // Surf. Coat. Technol. 2006. V. 200. P. 5413.
- Буткене Р., Моцкуте Д. // Электрохимия. 1994. Т. 30. № 2. С. 239.
- Моцкуте Д., Бернотене Г., Буткене Р. // Электрохимия. 1996. Т. 32. С. 1472.
- Mockute D., Bernotiene G., Vilkaite R. // Surf. Coat. Technology. 2002. V. 160. P. 152.
- Буткене Р.В., Моцкуте Д.В. // Труды АН Литов. СС Р. Сер. Б. 1986. Т. 2 (153). С. 19.
- Mockute D., Bernotiene G. // Surf. Coat. Technol. 2000. V. 135. P.42.
- Моцкуте Д.В., Адамоните Г.Ю., Бодневас А.И., Матулис Ю.Ю. Труды АН Литовской СС Р. Сер. Б. 1968. Т. 2 (53). С. 23.
- Yuan X.T., Wang Y., Sun D.B., Yu H.Y. // Surf. Coat. Technol. 2008. V. 202. P. 1895.
- Rashidi A.M., Amadeh A. // Surf. Coat. Technol. 2008. V. 202. P. 3772.
- Rashidi A.M., Amadeh A. // Surf. Coat. Technol. 2009. V. 204. P. 353.
- Uhm Y.R., Park K.Y., Choi S.J. // Res. Chem. Intermed. 2015. V. 41. P. 4141.
- Lee J.H., Chung W.S., Jung U. C. et al. // Surf. Coat. Technol. 2011. V. 205. P. 4018.
- Sakamoto T., Azumi K., Tachikawa H. et al. // Electrochim. Acta. 2010. V. 55. P. 8570.
- Жеймите О.С., Рагаускас Р.А., Бодневас А.И. // Труды АН Литовской СС Р. Сер. Б. 1987. Т. 5. С. 37.
- Навинскене О., Моцкуте Д. // Электрохимия. 1994. Т. 30. № 2. С.163.
- Моцкуте Д., Навинскене О. // Электрохимия. 1997. Т. 33. № 3. С. 350.
- Darrort V., Troyon M., Ebothe J. et al. // Thin Solid Films. 1995. V. 265. P. 52.
- Павлатоу Э.А., Спиреллис Н. // Электрохимия. 2008. Т. 44. № 6. С. 802.
- Kotzia F., Kollia C., Spyrellis N. // Surf. Eng. Coatings. 1993. V. 71. P. 34.
- Wu Y., Chang D.Y., Rim D.S., Kwon S.C. // Surf. Coat. Technol. 2003. V. 162. P. 269.
- Schuler K., Philippi B., Weinmann M. et al. // Acta Mater. 2013. V. 61. P. 3945.
- Nakamura Y., Kaneko N., Watanabe M., Nezu H. // J. Appl. Electrochem. 1994. V. 24. P. 227.
- Ананьева Е.Ю., Рогожин В.В., Михаленко М.Г. и др. // Современные наукоемкие технологии. 2017. № 7. С. 18.
- Власенко О.Э., Балюева О.И., Сосновская Н.Г. // Современные технологии и научно-технический прогресс. 2019. Т. 1. С. 5-6.
- Розенцвейг И.Б., Сосновская Н.Г., Полякова А.О. и др. / Патент РФ 2583569. 2016. Б. И. № 13.
- Сосновская Н.Г., Иванова А.О., Никитин И.В. и др. // Изв. Вузов. Прикладная химия и биотехнология. 2018. Т. 8. № 1. С. 106.
- Скнар И.В., Скнар Ю.Е., Данилов Ф.И. // Вопросы химии и хим. технологии. 2008. № 4. С. 156.
- Sezer E., Ustamehmetoglu B., Katirici R. // Turkish J. Chem. 2014. V. 38. P. 701.
- Georgiev G., Kamenova I., Georgieva V. et al. // J. Appl. Polimer Sci. 2006. V. 102. P. 2967.
- Макрушин А.А., Медведев Г.И., Дорогова Ю.Ю. // Изв. Тульского гос. универ. Естественные науки. 2013. Вып. 1. С. 233.
- Медведев Г.И., Макрушин Н.А. // Журн. прикл. химии. 2011. Т. 84. № 11. С. 1792.
- Sezer E., Ustamehmetoglu B., Katirici R. // Surf. Coat. Technol. 2012. V. 213. P. 253.
- Абилхаиров А.И., Гилажов Е.Г., Куанышев Б.И. // Вестн. Астраханского гос. техн. ун-та. 2008. № 2. С. 229.
- Oliveria E.M., Finazzi G.A., Carlos I.A. // Surf. Coat. Technol. 2006. V. 200. P. 5978.
- Соловьева Н.Д., Фролова И.Н., Легкая Д.А. // Конденсированные среды и межфазные границы. 2014. Т. 16. № 2. С. 201.
- Roth C., Leidheiser H. // J. Electrochem. Soc. 1953. V. 100. P. 553.
- Полукаров Ю.М., Семенова З.В. // Электрохимия. 1976. Т. 12. № 7. С. 1153.
- Mohanty U.S., Tripathy B.C., Das S.C., Misra V.N. // Metallurgical and materials Transactions. B. 2005. V. 36B. P. 737.
- Rogers G.T., Ware M.J., Fellows R.V. // J. Electrochem. Soc. 1960. V. 107. P. 677.
- Полукаров Ю.М., Семенова З.В., Моисеев В.П. // Электрохимия. 1976. Т. 12. № 7. С. 1157.
- Памфилов А.В., Моргарт Р.М. // Журн. прикл. химии. 1959. Т. 32. № 5. С. 1066.
- Кругликов С.С., Семина Е.В., Кудрявцев Н.Т. / Авт. свид. СССР 248414. 1969. Б. И. № 23.
- Милушкин А.С. // Защита металлов. 1993. Т. 29. № 2. С. 275.
- Милушкин А.С., Дундене Г.В. / Патент РФ 1544843. 1990. Б. И. № 7.
- Милушкин А.С., Дундене Г.В. // Защита металлов. 1991. Т. 27. № 2. С. 311.
- Милушкин А.С. / Патент РФ 2194803. 2002. Б. И. № 35.
- Истомина Н.В., Сосновская Н.Г., Полякова А.О. // Вестн. Ангарской гос. тех. академии. 2014. № 8. С. 77.
- Розенцвейг И.Б., Сосновская Н.Г., Полякова А.О. и др. / Патент РФ 2559614. 2015. Б. И. № 22.
- Иванова А.О., Сосновская Н.Г., Никонова В.С. и др. // Изв. вузов. Прикл. хим. и биотехн. 2017. Т. 7. № 4. С. 136.
- Сосновская Н.Г., Истомина Н.В., Синеговская Л.М. и др. // Гальванотехника и обработка поверхности. 2019. Т. 27. № 4. С. 4.
- Mohanty U.S., Tripathy B.C., Singh P., Das S.C. // J. Appl. Electrochem. 2001. V. 31. P. 579.
- Alaune Z., Talaykyte Z., Mokshu L.T. // Acad. Darb (Sec. B). 1971. V. 31. P. 65.
- Шептицка Б. // Электрохимия. 2001. Т. 37. № 7. С. 805.
- Агеенко Н.С., Седойкин А.А., Поляков Н.А. // Патент РФ 2133305. 1999. Б. И. № 21.
- Наркевич Е.Н., Поляков Н.А. // Успехи в хим. и химич. технол. 2018. Т. 32. № 13. С. 27.
- Наркевич Е.Н., Андреева Н.П., Поляков Н.А. // Коррозия: материалы и защита. 2019. № 1. С. 33.
- Таран Л.А., Кешнер Т.Д. // Журн. прикл. химии. 1983. Т. 56. № 7. С. 1551.
- Хираока М. Краун-соединения. М.: Мир. 1986. 363 с.
- Кузнецов В.В., Скибина Л.М., Левочкин Р.А., Вертий И.В. // Защита металлов. 2003. Т. 39. № 2. С. 176.
- Скибина Л.М., Бурдина Е.И., Соколенко А.И. // Физикохимия поверхности и защита материалов. 2014. Т. 50. № 5. С. 539.
- Голубчиков О.А., Ларионов А.В., Балмасов А.В., Семейкин А.С. // Макрогетероциклы. 2014. Т.7. № 3. С. 225.
- Шпанько С.П., Григорьев В.П., Дымникова О.В., Анисимова В.А. // Защита металлов. 2004. Т. 40. № 4. С. 365.
- Березина С.И., Кешнер Т.Д., Ходырев Ю.П. и др. // Защита металлов. 1986. Т. 22. № 1. С. 93.
- Meng G., Sun F., Shaoa Y. et al. // Electrochim. Acta. 2010. V. 55. P. 5990.
Supplementary files






























