Комплексы полианилина с сульфированным полисульфоном, их структура и сенсорные свойства
- Authors: Кабанова В.А.1, Грибкова О.Л.1, Позин С.И.1, Тверской В.А.2, Некрасов A.A.1
-
Affiliations:
- Институт физической химии и электрохимии им. А.Н. Фрумкина РАН
- МИРЭА – Российский технологический университет
- Issue: Vol 61, No 1 (2025)
- Pages: 56-66
- Section: НАНОРАЗМЕРНЫЕ И НАНОСТРУКТУРИРОВАННЫЕ МАТЕРИАЛЫ И ПОКРЫТИЯ
- URL: https://journal-vniispk.ru/0044-1856/article/view/294775
- DOI: https://doi.org/10.31857/S0044185625010058
- EDN: https://elibrary.ru/LDKKWF
- ID: 294775
Cite item
Abstract
Химическую полимеризацию анилина проводили в водных растворах сульфированного полисульфона (СПС) при различных соотношениях концентраций анилина и сульфогрупп СПС. Ход полимеризации был исследован методом in situ спектроскопии в УФ-видимой-ближней ИК-областях. Показано, что при увеличении концентрации СПС скорость полимеризации увеличивается. Пленки вододиспергируемых комплексов полианилина (ПАНИ) с СПС были получены методом пульверизации. Впервые изучены электронная и химическая структура, морфология и сенсорные (аммиак) свойства пленок комплексов ПАНИ-СПС.
Full Text
Введение
Полианилин (ПАНИ) один из широко используемых проводящих полимеров благодаря таким его свойствам, как широкий диапазон изменения электрических и спектральных свойств в зависимости от степени окисленности, наличие ионной проводимости. Его отличает высокая термическая и химическая стабильность, а также низкая себестоимость. Слои ПАНИ находят применение в качестве антикоррозионных и проводящих покрытий, для экранирования электромагнитного излучения, при создании электрохромных, электролюминесцентных, и фотовольтаических устройств, суперконденсаторов, био- и химических сенсоров и др. [1].
Для улучшения комплекса свойств ПАНИ его синтез проводят в присутствии различных допантов, в частности полимерных кислот. Получаемый таким образом интерполимерный комплекс является водорастворимым (вододиспергируемым), что значительно облегчает нанесение слоев ПАНИ для различных применений. Полимерные сульфокислоты выполняют одновременно функцию допирующей кислоты и стабилизатора дисперсии ПАНИ. Установлено, что структура поликислоты влияет на процесс синтеза ПАНИ, строение и свойства его интерполимерных комплексов [2].
Для улучшения механических свойств ПАНИ получают его композиты на полимерных материалах, таких как полиэтилен, полипропилен, ацетат целлюлозы, сшитый полистирол, поликарбонат и полиамид-6, где полимерная подложка обеспечивает высокие механические свойства, а ПАНИ выступает в качестве активного компонента [3]. Ряд работ посвящены синтезу ПАНИ на мембранах, содержащих сульфокислотные группы, например Нафион или МФ-4СК [3–7], в сульфокатионитовых мембранах из полиэтилена с привитой полистиролсульфокислотой [8].
Среди полимерных материалов термопластичные полисульфоны (СП) имеют преимущества благодаря своей высокой термической, механической и химической стабильности, большой устойчивости и стабильным эксплуатационным характеристикам в течение длительного времени [9]. Для повышения гидрофильности и проницаемости мембран при их использовании для разделения белков проводили полимеризацию анилина на поверхности полисульфоновых мембран [10]. Для улучшения гидрофильности мембраны формировали из раствора смеси комплекса ПАНИ с полисульфокислотой с полисульфоном [11]. Были разработаны биосенсоры для определения глюкозы и холестерина из композитов ПАНИ с наночастицами платины на полой полисульфоновой мембране с градиентной пористой структурой [12]. Гибкие оптические pH-сенсоры были получены полимеризацией анилина на полисульфоновой мембране [13].
Для увеличения гидрофильности мембран проводят их сульфирование. С другой стороны, мембраны с высокой степенью сульфирования набухают и растворяются в воде, что ограничивает их применение. Используя в качестве матрицы пористые пленки из сульфированного полисульфона (СПС) с различной степенью сульфирования в качестве матрицы, были получены композитные пленки ПАНИ путем химической окислительной полимеризации анилина [14]. Результаты показали, что пленка СПС играла роль матрицы при формировании композитной пленки ПАНИ-СПС с пористой электропроводящей поверхностью.
В настоящей работе мы использовали СПС с высокой степенью сульфирования в виде водного раствора в качестве допирующей кислоты при синтезе ПАНИ. В результате получалась водная дисперсия интерполимерного комплекса ПАНИ и сульфированного полисульфона. Было изучено влияние соотношения концентраций мономера к мономерному звену СПС на характер синтеза, структуру и сенсорные свойства получаемых комплексов ПАНИ-СПС.
Обнаружение газообразного аммиака как одного из наиболее распространенных промышленных загрязнителей представляет постоянный интерес. Большинство сенсоров на аммиак на основе проводящих полимеров работают по резистивному механизму детектирования [15]. В то же время оптические сенсоры могут обеспечивать высокую чувствительность [16–18], короткое время отклика и простую регенерацию [16], при этом на их отклик меньше влияют такие внешние факторы, как электромагнитные помехи, влажность и температура [15–20]. В основном ПАНИ для таких сенсоров получают химической полимеризацией анилина в присутствии неорганических кислот и наносят его на различные виды подложек [17, 18, 21], такие как стекло, полиэтилен и ткани, методом спрей-распыления [18, 21] или погружения подложки непосредственно в синтез [17]. Для применения в оптических сенсорах может быть пригодна тонкая пленка ПАНИ, нанесенная на стекло (или ITO-стекло), поскольку спектральные изменения в УФ-видимой-ближней ИК-областях спектра, которые отражают изменения электронной структуры ПАНИ при воздействии газообразного аммиака, легко регистрируются с помощью коммерческих спектрометров [15] или обнаруживаются с помощью одноволновых оптоэлектронных пар. Другим преимуществом таких сенсоров является возможность передавать аналитический сигнал без искажений на большие расстояния [15, 20]. Ранее была показана перспективность создания оптических сенсоров на основе электрохимически полученных слоев комплексов ПАНИ с полимерными сульфокислотами [22].
В настоящей работе разработанные вододиспергируемые композиции ПАНИ-СПС наносили методом пульверизации на стеклянные подложки и тестировали полученные слои в качестве оптических сенсоров на аммиак.
Экспериментальная часть
Использованные вещества и их подготовка
Используемый для получения ПАНИ анилин (Sigma Aldrich, США) перегоняли под вакуумом в атмосфере азота, отбиралась фракция, кипящая при температуре 82–84°C (20 мм рт. ст.), . Использовался свежеперегнанный продукт.
Сульфирование полисульфона проводили хлорсульфоновой кислотой по аналогии с методикой, приведенной в [23, 24]. Использовали полисульфон "Udel 3500 LCD MB7", характеристическая вязкость – 0.46 дл/г (N,N-диметилацетамид, 25°С). Сульфирование проводили в атмосфере азота при температуре 0°С в колбе, снабженной механической мешалкой и капельной воронкой. Для этого к раствору 42.1 г (95.24 ммоль-звено) ПС в 400 мл осушенного 1,2-дихлорэтана при интенсивном перемешивании в течение 1 ч прикапали 13.26 мл (201.55 ммоль) хлорсульфоновой кислоты в 20 мл 1,2-дихлорэтане. Практически сразу из раствора выделяется осадок СПС. По окончании прибавления хлорсульфоновой кислоты реакционную массу перемешивали еще в течение 1 ч, после чего выделившийся СПС отделяли от 1,2-дихлорэтана, промывали свежей порцией 1,2-дихлорэтана, переносили в изопропиловый спирт и промывали свежей порцией изопропилового спирта. Затем СПС сушили в вакууме при температуре 55°С до постоянной массы. Анализ 1Н ЯМР-спектров показал сульфирование всех звеньев СП (степень сульфирования – 1.03). На рис. 1 показана структурная формула полученного СПС.
Рис. 1. Структурная формула сульфированного полисульфона.
Полимеризацию анилина проводили в водном растворе СПС. Предварительно СПС в течение 7 дней набухал в воде при комнатной температуре. Для получения 0.05 М водного раствора СПС нагревали до 80–100°C на глицериновой бане до полного растворения.
В качестве окислителя использовали персульфат аммония без дополнительной очистки.
Методика полимеризации анилина
Полимеризацию анилина проводили методом окислительной химической полимеризации при различных соотношениях концентраций анилина к сульфокислотным группам СПС: 1 : 1, 1 : 2, 1 : 3, 1 : 4 и 1 : 6 моль/г-экв. Предварительно были приготовлены водные растворы СПС нужной концентрации. Затем анилин растворяли в растворах СПС в течение 2 часов. Концентрация анилина во всех растворах была одинаковой – 0.005 М.
Перед началом полимеризации окислитель в количестве, необходимом чтобы обеспечить мольное соотношение 1 : 1 к анилину, растворяли в 1 мл дистиллированной воды. Затем раствор окислителя добавляли к раствору анилина в СПС и интенсивно перемешивали в течение полутора минут. В процессе синтеза регистрировали электронные спектры поглощения растворов. Для этого в кварцевую кювету толщиной 1 мм переносили 0.4 мл раствора. Среднее время полимеризации составляло 30–60 мин.
После полимеризации растворы комплексов ПАНИ с СПС очищали диализом против дистиллированной воды (диализная целлюлозная мембрана ZelluTrans, MWCO 8000-10000, (Carl Roth, Германия) в течение 3 сут. для удаления олигомеров и остатков окислителя.
Пленки полученных комплексов ПАНИ с СПС наносили из их растворов на стеклянные подложки 9 × 40 мм методом пульверизации при помощи аэрографа на разогретую (~70°С) горизонтально-выравненную стеклянную подложку с расстояния 20 см.
Методы исследования
Измерения рН растворов СПС до и после добавления анилина проводили с помощью рН-метра OP-208/1 (Radelkis, Венгрия), точность измерения составляла ±0.05.
Электронные спектры поглощения реакционного раствора во время полимеризации анилина регистрировали в области 350–950 нм при помощи однолучевого оптоволоконного спектрофотометра Avantes 2048 (Avantes B.V., Нидерланды). Регистрацию спектров электронного поглощения в УФ-видимой и ближней ИК-областях пленок, полученных комплексов ПАНИ проводили с помощью двухлучевого спектрофотометра Shimadzu UV-3101PC (Shimadzu GmbH, Германия).
Спектры комбинационного рассеяния (КР) регистрировали с помощью оптоволоконного спектрофотометра Sunshine TG-Raman (CNI, Китай), оборудованного соответствующей дифракционной решеткой, под управлением фирменной программы Spectral Analysis 5.0 Firmware, полупроводникового лазера SSP-FC-LD-785-350 (CNI, Китай), с длиной волны 785 нм мощностью 10 мВт и оптоволоконного зонда RIP-RPB-785 (InPhotonics, США), который обеспечивает сбор рассеиваемого в исследуемом образце излучения в направлении обратном лучу лазера, возбуждающего КР (“back scattering”).
Исследование морфологии поверхности пленок и измерение их толщины проводили на атомно-силовом микроскопе (АСМ) Enviroscope с контроллером Nanoscope V (Bruker, США) в полуконтактном режиме. Толщина исследованных пленок составляла 400–500 нм.
Исследование сенсорных свойств было проведено в соответствии с методикой, описанной в [25]. В кварцевую кювету с длиной оптического пути 5 см и шириной 10 см помещали растворы аммиака различной концентрации, приготовленные путем разбавления 30%-го раствора (“Химмед” (Россия), квалификация “ч.д.а.”). Концентрации аммиака в воздухе рассчитывали с использованием калибровочной кривой на основе значений парциального давления аммиака над его водными растворами, представленных в [26].
Пленку ПАНИ-СПС, нанесенную на стеклянную подложку, через специальное отверстие в крышке помещали в закрытую спектрофотометрическую кювету с парами аммиака. На скоростном сканирующем однолучевом спектрофотометре Avantes 2048 проводили регистрацию спектров поглощения пленок комплексов ПАНИ при их взаимодействии с аммиаком. Спектры пленок регистрировали каждые 2 с.
Амплитуду отклика сенсора (ΔA) рассчитывали по формуле:
,
где A0 и At– оптическая плотность на длине волны 810 нм в спектре пленки до и после воздействия аммиака соответственно.
Время отклика (tот) определяли как время, необходимое для достижения 90% относительного изменения поглощения (ΔA), измеренного на длине волны 810 нм.
Обсуждение результатов
Полимеризация анилина в присутствии сульфированного полисульфона
В табл. 1 представлены значения pH водных растворов СПС до и после добавления анилина. Видно, что начальные значения pH убывают по мере увеличения концентрации СПС в водном растворе. При добавлении в раствор СПС анилина pH возрастает, так как анилин представляет собой слабое основание. Высокое значение pH при соотношении концентраций анилина и сульфокислотных групп в СПС, равном 1 : 1 моль/г-экв. говорит о том, что не весь анилин протонируется. В остальных случаях значения pH после добавления анилина меньше 3 и меняются незначительно.
Таблица 1. pH водных растворов СПС до и после добавления анилина и индукционные периоды при синтезе ПАНИ, рассчитанные по кинетике изменений оптической плотности полосы на 690 нм
[Анилин]/[СПС], моль/г-экв. | рН растворов СПС | Индукционный период, с | |
до добавления анилина | после добавления анилина | ||
1:1 | 2.19 | 4.15 | 3050 |
1:2 | 1.90 | 2.32 | 1150 |
1:3 | 1.72 | 2.36 | 1100 |
1:4 | 1.70 | 1.87 | 950 |
1:6 | 1.43 | 1.56 | 950 |
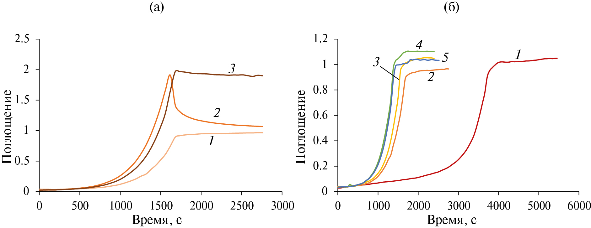
Для исследования полимеризации анилина в присутствии СПС рассматривали соотношения концентраций анилин и сульфокислотных групп в СПС, равные 1 : 1, 1 : 2, 1 : 3, 1 : 4, 1 : 6 моль/г-экв. Для этого в процессе синтеза ПАНИ регистрировали изменения электронных спектров поглощения растворов (рис. 2). На рис. 3а представлены кривые изменения оптического поглощения на характерных длинах волн.
Рис. 2. Изменение электронных спектров поглощения в процессе полимеризации анилина в присутствии СПС при [Анилин]/[-SO3H] = 1/3 моль/г-экв. Стрелки показывают изменение поглощения раствора в областях характеристических длин волн.
Рис. 3. Кривые изменения оптического поглощения, полученные при полимеризации анилина в присутствии СПС: при [Анилин]/[-SO3H] = 1 : 2 моль/г-экв., на длинах волн 370 (1), 690 (2) и 800 нм (3) (а) и при [Анилин]/[-SO3H], равных 1 : 1 (1), 1 : 2 (2), 1 : 3 (3), 1 : 4 (4), 1 : 6 (5) на длине волны 690 нм (б).
При [Анилин]/[-SO3H] в диапазоне от 1 : 2 до 1 : 6 моль/г-экв. характер синтеза схож между собой. В начале виден рост поглощения в областях 370 и 690 нм, связанный с увеличением концентрации аминной и хинониминной форм ПАНИ [27]. Следует отметить, что при сравнении с синтезом в присутствии полисульфокислот другого строения [2] видно, что максимум поглощения хинониминных фрагментов смещен в длинноволновую область, так же, как и в случае полимеризации анилина в присутствии жесткоцепных поликислот. В процессе синтеза за счет образования серной кислоты pH снижается и происходит рост высокомолекулярных цепей с регулярной структурой. Затем происходит сдвиг максимума к 800 нм и одновременное появлении плеча на длине волны 430 нм, соответствующих формированию полуокисленной формы ПАНИ (рис. 2). На данном этапе, благодаря межмолекулярным донорно-акцепторным взаимодействиям хинониминных и аминных структур ПАНИ, образуются локализованные поляроны и катион-радикалы и окончательно формируется структура ПАНИ с переходом окрашивания растворов от синего к темно-зеленому.
При [Анилин]/[-SO3H], равном 1 : 1 моль/г-экв., изначально наблюдается рост полосы поглощения на длине волны 420 нм, что происходит из-за образования N-фенил-1,4-бензохинондиимина [28], и раствор приобретает желтый оттенок. Кроме того, при pH выше 3 может происходить образование смешанных структур (орто-, мета- и параолигомеров) [29]. Синтез идет намного медленнее, чем при более высоком содержании СПС. Затем наблюдается рост поглощения на длинах волн 370 и 690 нм, и окраска реакционной смеси меняется с желтой на зеленую и затем на синюю. Активный рост поглощения раствора наблюдается спустя 40 минут после начала синтеза. Далее наблюдается сдвиг максимума полосы поглощения 690 нм в длинноволновую область вблизи 800 нм и одновременное появлении плеча на 430 нм, что соответствует образованию локализованных поляронов и катион-радикалов.
Кривые изменения поглощения, приведенные на рис. 3б, дают возможность оценить скорость полимеризации. В табл. 1 представлены данные о продолжительности индукционного периода в зависимости от концентрации СПС. За продолжительность индукционного периода принимали отрезок, отсекаемый на оси абсцисс, касательной к прямолинейному участку зависимости изменения оптического поглощения на длине волны 690 нм от времени. Самый длительный индукционный период наблюдается для соотношения анилина к СПС 1 : 1 моль/моль-звено. При увеличении концентрации СПС в растворах индукционный период уменьшается. А при соотношениях 1 : 4 и 1 : 6 моль/моль-звено имеет одинаковые значения.
Характеризация пленок комплексов ПАНИ-СПС, полученных методом пульверизации
Электронная спектроскопия в УФ-видимой и ближней ИК-областях
На рис. 4 представлены электронные спектры поглощения пленок, нанесенных методом пульверизации водных дисперсий ПАНИ-СПС, полученных при различных соотношениях анилина к СПС в полимеризационном растворе. Форма всех спектров схожа – наблюдается плечо длины волны 450 нм, соответствующее поглощению катион-радикалов. Интенсивность полосы поглощения локализованных поляронов в области 810 нм по мере увеличения содержания СПС заметно увеличивается. Плечо, наблюдаемое при [Анилин]/[-SO3H], равном 1 : 1 моль/г-экв. на длине волны 550 нм, по-видимому, можно отнести к поглощению хиноидных фрагментов цепи. Можно предположить, что в условиях нехватки допирующей кислоты при [Анилин]/[-SO3H], равном 1 : 1 моль/г-экв., ПАНИ получается в более окисленной форме.
Рис. 4. Электронные спектры поглощения пленок комплексов ПАНИ-СПС, полученных при [Анилин]/[-SO3H], равных 1 : 1 (1), 1 : 2 (2), 1 : 3 (3), 1 : 4 (4), 1 : 6 (5) моль/г-экв.
Видно, что положения максимумов поглощения локализованных поляронов практически одинаковы для пленок, полученных при [Анилин]/[-SO3H], равных 1 : 1, 1 : 2, 1 : 3 и 1 : 4 моль/г-экв. Гипсохромное смещение максимума (784 нм) наблюдается для соотношения 1 : 6 моль/г-экв. Аналогичный сдвиг спектра поглощения ПАНИ при увеличении концентрации полимерной кислоты в реакционной смеси наблюдали в работах [30, 31]. Это явление авторы связывали с уменьшением размера образующихся частиц, подтвержденное микроскопическими методами, в результате уменьшения агрегации комплексов ПАНИ–поликислота. Кроме того, можно заметить на спектрах (рис. 4), что при уменьшении содержания СПС растет рассеяние. Это, по-видимому, связано с тем, что содержания СПС недостаточно для получения более мелкой гидрофильной дисперсии ПАНИ-СПС. Только при [Анилин]/[-SO3H], равном 1 : 6 моль/г-экв., наблюдается спектр пленки, характерный для допированного и хорошо стабилизированного ПАНИ.
Спектроскопия комбинационного рассеяния
Химическая структура пленок ПАНИ-СПС была исследована методом спектроскопии комбинационного рассеяния (КР). Для облегчения сравнения мы использовали нормировку спектров комбинационного рассеяния света на амплитуду полосы копланарных деформационных колебаний связей C–H в ароматических кольцах на частоте 1156 см–1 [32]. Такая нормировка представляется адекватной, поскольку число этих связей практически не зависит от степени окисленности ПАНИ. На рис. 5 видны характерные полосы КР ПАНИ, соответствующие валентным колебаниям связей C–N в аминных фрагментах соседствующих с хиноидными – 1225 см–1 [32]. Для комплексов ПАНИ-СПС с соотношениями 1 : 3 и 1 : 6 моль/г-экв. характерен максимум на 1333 см–1, который приписывается валентным колебаниям в делокализованных катион-радикальных фрагментах C ~ N+·, а для соотношения 1 : 1 моль/г-экв. он смещен на 1347 см–1, что свидетельствует о наличии коротких локализованных катион-радикальных фрагментов [33]. Колебания на частотах 1580 и 1489 см–1 соответствуют валентным колебаниям двойных связей C=C в хиноидном кольце и валентным колебаниям двойных связей C=N в иминной форме ПАНИ, соответственно [34]. Плечо на 1610 см–1, которое практически не наблюдается для комплекса ПАНИ-СПС (1 : 1), приписывается С-С связям в бензольных кольцах восстановленной формы ПАНИ. Это свидетельствует о том, что комплекс ПАНИ-СПС (1 : 1) находится в более окисленном состоянии, что коррелирует с данными оптической спектроскопии.
Рис. 5. Нормированные (интенсивность линии 1156 см–1 – копланарные деформационные колебания связей C–H в ароматических кольцах ПАНИ) спектры КР при возбуждении лазером 785 нм пленок ПАНИ-СПС, нанесенных на стеклянные подложки методом пульверизации.
Морфология
Методом атомно-силовой микроскопии была изучена морфология поверхности пленок комплексов ПАНИ-СПС. Исследования проводили в двух масштабах: кадры 2 × 2 мкм для анализа тонкой структуры ПАНИ и кадры 50 × 50 мкм для анализа пространственного распределения ПАНИ при пульверизации его водного раствора. Пленки также были рассмотрены в оптический микроскоп на просвет при ширине кадра 400 мкм.
На рис. 6а видно, что ПАНИ состоит из нитей, которые формируют характерную глобулярную структуру. Все исследованные комплексы имеют похожую тонкую структуру. При рассмотрении кадров 50 × 50 мкм видны следы капель, образующиеся при напылении (рис. 6б–г). Следы имеют кольцеобразную форму: латеральный размер 10–20 мкм, высота валиков 10–60 нм относительно окружающего фона. Подобная характерная форма следов объясняется образованием ударных кратеров при распылении и “эффектом кофейного пятна”, при котором происходит концентрирование коллоидных частиц и более быстрое высыхание по краям капли. Для рассмотренных образцов особенно хорошо эти следы можно наблюдать в оптический микроскоп на просвет при наведении фокуса вглубь пленок. По-видимому, эти эффекты заметно проявляют себя в начале нанесения пленок, далее происходит преимущественно постепенное “зарастание” уже имеющихся колец.
Рис. 6. Изображения поверхности пленок ПАНИ, нанесенных методом пульверизации на стекло: АСМ (а–г), оптическая микроскопия (д–е). Соотношение компонентов 1 : 3 (а, б), 1 : 6 (в, д) и 1 : 1 (г, е).
Рис. 7. Изменение электронных спектров поглощения пленки, полученной при [Анилин]/[-SO3H] = 1 : 6 моль/г-экв. на воздухе с концентрацией аммиака 263 ppm. Стрелки указывают на ход изменения в областях характеристических длин волн.
Соотношение компонентов существенно влияет на морфологию пленок в масштабе сотен микрон. Для рассмотренного ряда комплексов ПАНИ-СПС от 1 : 6 к 1 : 1 возрастает склонность к растрескиванию пленок при высыхании, при этом образуется характерный полигональный узор типа такыр (рис. 6е). Причем при приближении к соотношению 1 : 1 полигоны становятся разделенными хребтами высотой ~1 мкм. Это становится возможным, когда трещины закрываются отслаивающимся и загибающимся вверх верхним слоем пленки по периметру полигонов из-за неравномерного высыхания по толщине. Как показывает анализ АСМ-изображений для кадров 50 × 50 мкм, плавные перепады высот внутри полигонов составляют сотни нм. При соотношении 1 : 6 поверхность пленки наиболее однородна: растрескивания не происходит, в масштабе 50 мкм пленка также более гладкая (рис. 6в, д).
Исследование сенсорных свойств пленок комплексов полианилина с сульфированным полисульфоном
Возможность использования того или иного материала в качестве сенсора определяется такими параметрами, как чувствительность (предел обнаружения) и время срабатывания, концентрационная зависимость амплитуды отклика и обратимость изменения измеряемого параметра. В данной работе основным критерием сравнения была выбрана оптическая плотность на длине волне с максимальной амплитудой изменения. Кроме того, выбранная длина волны должна быть близка к стандартной длине волны светодиода, который на практике может использоваться в оптических сенсорах вместо спектрофотометра.
На рис. 7 показано изменение электронного спектра поглощения пленки ПАНИ при воздействии паров аммиака с концентрацией в воздухе 263 ppm. Видно, что на длине волны 810 нм поглощение уменьшается и одновременно происходит увеличение поглощения в области 600 нм. Происходит депротонирование ПАНИ, то есть переход в основание из солевой формы, в результате переноса протона ПАНИ на аммиак. Поскольку на длине волны 810 нм амплитуда изменения поглощения более выражена, для дальнейших исследований сенсорных свойств была выбрана именно эта длина волны.
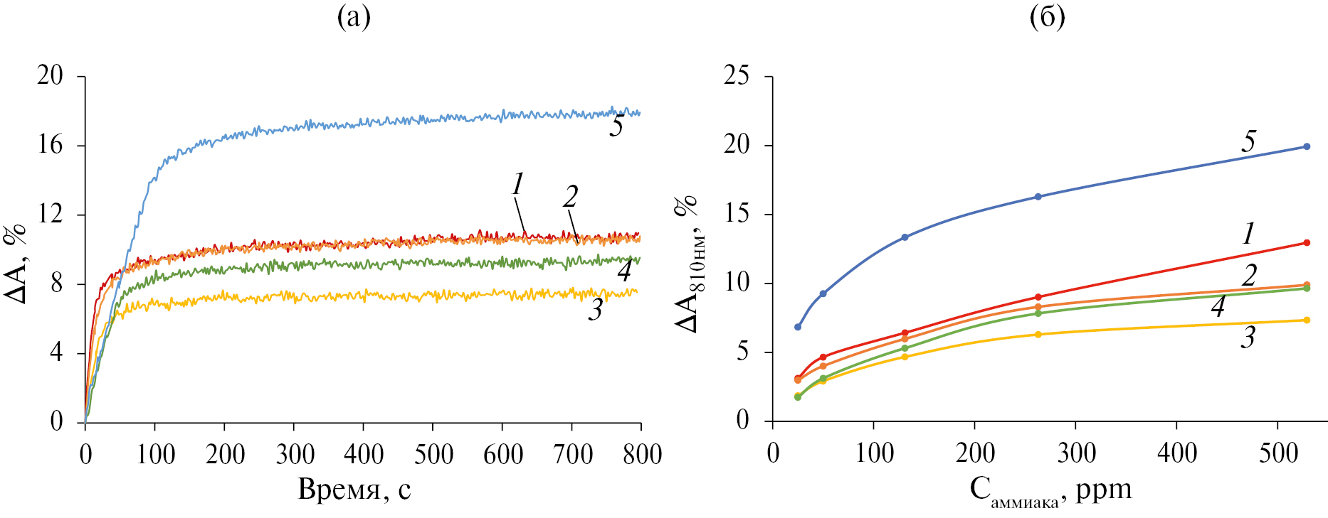
На рис. 8а представлено относительное изменение во времени оптического поглощения на длине волны 810 нм для пленок комплексов ПАНИ-СПС с различным содержанием СПС при воздействии аммиака. На основе этих кривых были рассчитаны времена отклика, представленные в табл. 2, и концентрационные зависимости амплитуды отклика (рис. 8б).
Рис. 8. Относительное изменение во времени оптического поглощения на длине волны 810 нм при воздействии паров аммиака с концентрацией 263 ppm (а) и зависимости максимальной амплитуды отклика (DА) от концентрации аммиака (б) для пленок комплексов ПАНИ-СПС, синтезированных при [Анилин]/[-SO3H], равных 1 : 1 (1), 1 : 2 (2), 1 : 3 (3), 1 : 4 (4), 1 : 6 (5) моль/г-экв.
Таблица 2. Значения времени отклика пленок комплексов ПАНИ-СПС при воздействии аммиака с различными концентрациями в воздухе
[Анилин]/[-SO3H], моль/г-экв. | tОТ, с | ||||
25 ppm | 50 ppm | 131 ppm | 263 ppm | 529 ppm | |
1 : 1 | 250 | 124 | 95 | 92 | 82 |
1 : 2 | 287 | 152 | 128 | 118 | 106 |
1 : 3 | 363 | 146 | 105 | 81 | 69 |
1 : 4 | 269 | 182 | 105 | 94 | 66 |
1 : 6 | 794 | 590 | 294 | 214 | 208 |
Наименьшее время отклика демонстрируют пленки ПАНИ-СПС (1 : 1). При этом для ПАНИ-СПС, синтезированных при [Анилин]/[-SO3H], равных 1 : 1, 1 : 2 и 1 : 3 моль/г-экв., наблюдается некоторая невоспроизводимость результатов, объясняющаяся их неравномерностью, наличием на их поверхности на микроуровне трещин (рис. 6г, е). В случае пленок ПАНИ-СПС, синтезированных при [Анилин]/[-SO3H], равных 1 : 4 и 1 : 6 моль/г-экв., видно, что время отклика тем меньше, чем больше концентрация аммиака.
На рис. 8а видно, что на кривых отклика пленок можно выделить области быстрого (основная часть амплитуды отклика) и медленного изменения DА. Линейный характер основной части изменения DА свидетельствует о том, что при контакте с аммиаком работает в основном поверхность пленок комплексов ПАНИ-СПС. Наибольшую чувствительность при концентрации аммиака 263 ppm демонстрирует образец, полученный при [Анилин]/[-SO3H], равном 1 : 6 моль/г-экв. Однако время отклика в этом случае является самым большим. При меньших концентрациях СПС наблюдаются меньшие значения чувствительности.
На рис. 8б представлены зависимости максимальной амплитуды отклика (DА) на длине волны 810 нм от концентрации аммиака в воздухе. Нелинейные зависимости наблюдались для всех комплексов ПАНИ-СПС при низких концентрациях аммиака (<131 ppm). В диапазоне концентраций больше 131 ppm DА изменяется в меньшей степени. По-видимому, в этих случаях происходит насыщение пленок аммиаком. Из рисунка также видно, что все исследованные слои надежно детектируют аммиак в диапазоне концентраций 25–52 ppm (ПДК рабочей зоны и предел органолептического обнаружения аммиака соответственно). Благодаря большой амплитуде отклика слои на основе ПАНИ-СПС 1 : 6 могут быть успешно использованы в качестве сигнал-детектора (alarm-detector) с временем отклика менее 100 с (при достижении половины максимальной амплитуды).
Заключение
Впервые синтезирован вододиспергируемый комплекс полианилина с сульфированным полисульфоном. Показано, что скорость полимеризации растет с увеличением содержания СПС. При [Анилин]/[-SO3H], равном 1 : 1 моль/г-экв., синтез идет с длительным индукционным периодом, во время которого наблюдается формирование N-фенил-1,4-бензохинондиимина.
Методами УФ-видимой-ближней ИК-спектроскопии и спектроскопии комбинационного рассеяния показано, что при недостатке СПС комплекс ПАНИ-СПС (1 : 1) находится в более окисленном состоянии и в его структуре наблюдаются короткие локализованные катион-радикальные фрагменты. А при избытке СПС при [Анилин]/[-SO3H], равном 1 : 6 моль/г-экв., образуется допированный полуокисленный полианилин, имеющий в своей структуре делокализованные катион-радикальные фрагменты. Методом АСМ показано, что при соотношении 1 : 6 поверхность пленки наиболее однородна.
Пленки комплексов ПАНИ-СПС, нанесенные на стеклянные подложки методом пульверизации, были протестированы в качестве чувствительных слоев в оптических сенсорах на содержание паров аммиака. Показано, что они могут обнаруживать аммиак в диапазоне концентраций 25–52 ppm (ПДК рабочей зоны и предел органолептического обнаружения аммиака соответственно). Наибольшую чувствительность к аммиаку в воздухе показали пленки комплекса ПАНИ-СПС (1 : 6).
Благодарности
Электронные спектры поглощения в УФ-видимой-ближней ИК-областях и АСМ-изображения поверхности пленок регистрировали на оборудовании ЦКП ФМИ ИФХЭ РАН.
Финансирование работы
Работа выполнена при финансовой поддержке Минобрнауки России.
Конфликт интересов
Авторы заявляют, что у них нет конфликта интересов.
About the authors
В. А. Кабанова
Институт физической химии и электрохимии им. А.Н. Фрумкина РАН
Author for correspondence.
Email: kabanovavar@gmail.com
Russian Federation, Москва
О. Л. Грибкова
Институт физической химии и электрохимии им. А.Н. Фрумкина РАН
Email: kabanovavar@gmail.com
Russian Federation, Москва
С. И. Позин
Институт физической химии и электрохимии им. А.Н. Фрумкина РАН
Email: kabanovavar@gmail.com
Russian Federation, Москва
В. А. Тверской
МИРЭА – Российский технологический университет
Email: kabanovavar@gmail.com
Институт тонких химических технологий имени М.В. Ломоносова
Russian Federation, МоскваA. A. Некрасов
Институт физической химии и электрохимии им. А.Н. Фрумкина РАН
Email: kabanovavar@gmail.com
Russian Federation, Москва
References
- Ciric-Marjanovic G. Recent advances in polyaniline research: Polymerization mechanisms, structural aspects, properties and applications // Synthetic Metals. 2013. Vol. 177. P. 1–47.
- Gribkova O.L., Nekrasov A.A., Trchova M., et al. Chemical synthesis of polyaniline in the presence of poly(amidosulfonic acids) with different rigidity of the polymer chain // Polymer. 2011. Vol. 52, № 12. P. 2474–2484.
- Boeva Z.A., Sergeyev V.G. Polyaniline: Synthesis, properties, and application // Polymer Science – Series C. 2014. Vol. 56, № 1. P. 144–153.
- Sapurina I.Y., Kompan M.E., Malyshkin V.V., et al. Properties of proton-conducting nafion-type membranes with nanometer-thick polyaniline surface layers // Russian Journal of Electrochemistry. 2009. Vol. 45, № 6. P. 697–706.
- Berezina N.P., Shkirskaya S.A., Kolechko M.V., et al. Barrier effects of polyaniline layer in surface modified MF-4SK/Polyaniline membranes // Russian Journal of Electrochemistry. 2011. Vol. 47, № 9. P. 995–1005.
- Berezina N.P., Kononenko N.A., Sytcheva A.A.R., et al. Perfluorinated nanocomposite membranes modified by polyaniline: Electrotransport phenomena and morphology // Electrochimica Acta. 2009. Vol. 54, № 8. P. 2342–2352.
- Lysova A.A., Stenina I.A., Dolgopolov S.V., et al. Asymmetric ion transport in perfluorinated membranes MF-4SC doped with polyaniline // Doklady Physical Chemistry. 2009. Vol. 427, № 2. P. 142–145.
- Исакова А.А., Грибкова О.Л., Алиев А.Д. и др. Синтез полианилина в пленках полиэтилена с привитым сульфированным полистиролом и свойства этих пленок // Физикохимия поверхности и защита материалов. 2020. Vol. 56, № 4. P. 406–415.
- Dizman C., Tasdelen M.A., Yagci Y. Recent advances in the preparation of functionalized polysulfones // Polymer International. 2013. Vol. 62, № 7. P. 991–1007.
- Goel V., Tanwar R., Mandal U. Performance enhancement of commercial ultrafiltration polysulfone membrane via in situ polymerization of aniline using copper chloride as a catalyst // Journal of Chemical Technology and Biotechnology. 2021. Vol. 96, № 2. P. 502–513.
- Sarihan A. Development of high-permeable PSf/PANI-PAMPSA composite membranes with superior rejection performance // Materials Today Communications. 2020. Vol. 24. P. 101104.
- Wu H., Shi C., Zhu Q., et al. Capillary-driven blood separation and in-situ electrochemical detection based on 3D conductive gradient hollow fiber membrane // Biosensors and Bioelectronics. 2021. Vol. 171. P. 112722.
- Abu-Thabit N., Umar Y., Ratemi E., et al. A Flexible Optical pH Sensor Based on Polysulfone Membranes Coated with pH-Responsive Polyaniline Nanofibers // Sensors. 2016. Vol. 16, № 7. P. 986.
- Lu Y., Wang L., Zhao B., et al. Fabrication of conducting polyaniline composite film using honeycomb ordered sulfonated polysulfone film as template // Thin Solid Films. 2008. Vol. 516, № 18. P. 6365–6370.
- Bai H., Shi G. Gas sensors based on conducting polymers // Sensors. 2007. Vol. 7, № 3. P. 267–307.
- Jin Z., Su Y., Duan Y. Development of a polyaniline-based optical ammonia sensor // Sensors and Actuators B: Chemical. 2001. Vol. 72, № 1. P. 75–79.
- Kebiche H., Debarnot D., Merzouki A., et al. Relationship between ammonia sensing properties of polyaniline nanostructures and their deposition and synthesis methods // Analytica Chimica Acta. 2012. Vol. 737. P. 64–71.
- Li D.Y., Liu L.X., Wang Q.W., et al. Functional Polyaniline/MXene/Cotton Fabrics with Acid/Alkali-Responsive and Tunable Electromagnetic Interference Shielding Performances // ACS Applied Materials and Interfaces. 2022. Vol. 14, № 10. P. 12703–12712.
- Duboriz I., Pud A. Polyaniline/poly(ethylene terephthalate) film as a new optical sensing material // Sensors and Actuators, B: Chemical. 2014. Vol. 190. P. 398–407.
- Christie S., Scorsone E., Persaud K., et al. Remote detection of gaseous ammonia using the near infrared transmission properties of polyaniline // Sensors and Actuators B: Chemical. 2003. Vol. 90, № 1–3. P. 163–169.
- Mohammed H.A., Rahman N.A., Ahmad M.Z., et al. Sensing Performance of Modified Single Mode Optical Fiber Coated with Nanomaterials-Based Ammonia Sensors Operated in the C-Band // IEEE Access. 2019. Vol. 7. P. 5467–5476.
- Gribkova O., Kabanova V., Tverskoy V., et al. Comparison of Optical Ammonia-Sensing Properties of Conducting Polymer Complexes with Polysulfonic Acids // Chemosensors. 2021. Vol. 9, № 8. P. 206.
- Komkova E.N., Wessling M., Krol J., et al. Influence of the nature of polymer matrix and the degree of sulfonation on physicochemical properties of membranes // Vysokomolekularnye Soedineniya. Ser.A Ser.B Ser.C – Kratkie Soobshcheniya. 2001. Vol. 43, № 3. P. 486–495.
- Brousse C., Chapurlat R., Quentin J.P. New membranes for reverse osmosis I. Characteristics of the base polymer: sulphonated polysulphones // Desalination. 1976. Vol. 18, № 2. P. 137–153.
- Gribkova O.L., Kabanova V.A., Nekrasov A.A. Electrodeposition of thin films of polypyrrole-polyelectrolyte complexes and their ammonia-sensing properties // Journal of Solid State Electrochemistry. 2020. Vol. 24, № 11–12. P. 3091–3103.
- Rabinovich V. A., Yakovlevich K.Z. Kratkii khimicheskii spravochnik (Short chemical handbook). Khimiya. Moscow: Khimiya, 1977. 376 p.
- Stejskal J., Kratochvíl P., Radhakrishnan N. Polyaniline dispersions 2. UV—Vis absorption spectra // Synthetic Metals. 1993. Vol. 61, № 3. P. 225–231.
- Gospodinova N., Terlemezyan L. Conducting polymers prepared by oxidative polymerization: Polyaniline // Progress in Polymer Science (Oxford). 1998. Vol. 23, № 8. P. 1443–1484.
- Sapurina I.Y., Stejskal J. The effect of pH on the oxidative polymerization of aniline and the morphology and properties of products // Russian Chemical Reviews. 2011. Vol. 79, № 12. P. 1123–1143.
- Kuo C.W., Wen T.C. Dispersible polyaniline nanoparticles in aqueous poly(styrenesulfonic acid) via the interfacial polymerization route // European Polymer Journal. 2008. Vol. 44, № 11. P. 3393–3401.
- Iakobson O.D., Gribkova O.L., Nekrasov A.A., et al. A stable aqueous dispersion of polyaniline and polymeric acid // Protection of Metals and Physical Chemistry of Surfaces. 2016. Vol. 52, № 6. P. 1005–1011.
- Nekrasov A.A., Gribkova O.L., Iakobson O.D., et al. Raman spectroelectrochemical study of electrodeposited polyaniline doped with polymeric sulfonic acids of different structures // Chemical Papers. 2017. Vol. 71, № 2. P. 449–458.
- Morávková Z., Dmitrieva E. Structural changes in polyaniline near the middle oxidation peak studied by in situ Raman spectroelectrochemistry // Journal of Raman Spectroscopy. 2017. Vol. 48, № 9. P. 1229–1234.
- Trchová M., Morávková Z., Bláha M., et al. Raman spectroscopy of polyaniline and oligoaniline thin films // Electrochimica Acta. 2014. Vol. 122. P. 28–38.
Supplementary files










