Применение углеродных квантовых точек для определения аминогликозидных антибиотиков методом поляризационного флуоресцентного иммуноанализа
- Авторы: Ларина М.Ю.1, Фарафонова О.В.1, Еремин С.А.2, Ермолаева Т.Н.1
-
Учреждения:
- Липецкий государственный технический университет
- Московский государственный университет имени М.В. Ломоносова
- Выпуск: Том 78, № 1 (2023)
- Страницы: 34-42
- Раздел: ОРИГИНАЛЬНЫЕ СТАТЬИ
- Статья получена: 14.10.2023
- URL: https://journal-vniispk.ru/0044-4502/article/view/135996
- DOI: https://doi.org/10.31857/S0044450222110068
- EDN: https://elibrary.ru/KKHWLP
- ID: 135996
Цитировать
Полный текст
Аннотация
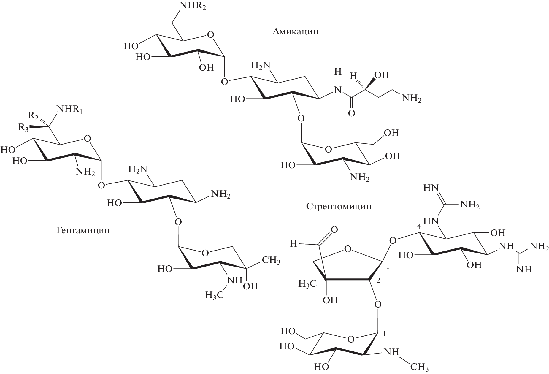
Изучены условия получения углеродных квантовых точек (УКТ) с зеленой флуоресценцией путем ультразвуковой обработки многослойных углеродных нанотрубок в смеси HNO3 и H2SO4 (УКТ-1) и микроволнового разложения 9,10-динитроантрацена в этаноле (УКТ-2). Методом атомно-силовой микроскопии оценены размеры УКТ, а методами спектрофотометрии и флуоресценции их оптические свойства. Для выявления на поверхности УКТ активных функциональных групп, участвующих в образовании устойчивых связей при синтезе трейсеров, применен метод ИК-спектрометрии. Показана возможность применения УКТ в качестве меток в поляризационном флуоресцентном иммуноанализе (ПФИА). Разработаны методики определения аминогликозидных антибиотиков гентамицина, стрептомицина и амикацина методом ПФИА на TDx-анализаторе (Abbott Diagnostics, США), приведены их метрологические характеристики. Предел обнаружения составляет (нг/мл) 20, 10 и 3, а диапазон определяемых содержаний (мкг/мл) 0.05–3.00, 0.02–6.00 и 0.01–3.00 для гентамицина, стрептомицина и амикацина соответственно. Методики апробированы при определении гентамицина, стрептомицина и амикацина в молочных продуктах.
Об авторах
М. Ю. Ларина
Липецкий государственный технический университет
Email: ov.farafonova@yandex.ru
Россия, 398055, Липецк, ул. Московская, стр. 30
О. В. Фарафонова
Липецкий государственный технический университет
Email: ov.farafonova@yandex.ru
Россия, 398055, Липецк, ул. Московская, стр. 30
С. А. Еремин
Московский государственный университет имени М.В. Ломоносова
Email: ov.farafonova@yandex.ru
Россия, 119991, Москва, Ленинские горы, 1
Т. Н. Ермолаева
Липецкий государственный технический университет
Автор, ответственный за переписку.
Email: ov.farafonova@yandex.ru
Россия, 398055, Липецк, ул. Московская, стр. 30
Список литературы
- Горячева И.Ю. Современные тенденции развития иммунохимических методов анализа медицинских объектов // Журн. аналит. химии. 2015. Т. 70. № 8. С. 787. (Goryacheva I.Yu. Modern trends in the development of immunochemical methods for the analysis of medical objects // J. Anal. Chem. 2015.V. 70. № 8. P. 903.)
- Speranskaya E.S., Goryacheva I.Yu. Fluorescent quantum dots: Synthesis, modification, and application in immunoassays // Nanotechnologies in Russia. 2013. V. 8. № 11–12. P. 685.
- Di Nardo F., Anfossi L., Giovannoli C., Passini C., Goftman V.V., Goryacheva I.Yu., Baggiani C. A fluorescent immunochromatographic strip test using quantum dots for fumonisins detection // Talanta. 2016. V. 150. P. 463.
- Anfossi L., Di Nardo F., Cavalera S., Giovannoli C., Spano G., Speranskaya E.S., Baggiani C. A lateral flow immunoassay for straightforward determination of fumonisin mycotoxins based on the quenching of the fluorescence of CdSe/ZnS quantum dots by gold and silver nanoparticles // Microchim. Acta. 2018. V. 185. № 2. P. 94.
- Zhang C., Han Y., Lin L., Deng N., Chen B., Liu Y. Development of quantum dots-labeled antibody fluorescence immunoassays for the detection of morphine // J. Agric. Food Chem. 2017. V. 65. № 6. P. 1290.
- Zhu L., Cui X., Wu J., Wang Z., Wang P., Hou Y., Yang M. Fluorescence immunoassay based on carbon dots as labels for the detection of human immunoglobulin G // Anal. Methods. 2014. V. 6. № 12. P. 4430.
- Cahuilla A., Soriano M.L., Carrillo-Carrion C., Valances M. Semiconductor and carbon-based fluorescent nanodots: The need for consistency // Chem. Commun. 2016. V. 52. P. 1311.
- Li S., Wang Y., Mu X., Sheng W., Wang J., Wang S. Two fluorescence quenching immunochromatographic assays based on carbon dot and quantum dot as donor probes for the determination of enrofloxacin // Anal. Methods. 2019. V. 11. P. 2378.
- Pan M., Xie X., Liu K., Yang J., Hong L., Wang S. Fluorescent carbon quantum dots — Synthesis, functionalization and sensing application in food // Analysis. Nanomaterials. 2020. V. 10. № 5. P. 930.
- Chunduri L.A.A., Haleyurgirisetty M.K., Patnaik S., Bulagonda P.E., Kurdekar A., Liu J. Development of carbon dot-based microplate and microfluidic chip immunoassay for rapid and sensitive detection of HIV-1 p24 antigen // Microfluid Nanofluid. 2016. V. 20. P. 167
- Zhang C., Yu X., Shi X., Han Y., Guo Z., Liu Y. Development of carbon quantum dot–labeled antibody fluorescence immunoassays for the detection of morphine in hot pot soup base // Food Anal. Methods. 2020. V. 13. P. 1042.
- Yao D., Liang A., Jiang Z. A fluorometric clenbuterol immunoassay using sulfur and nitrogen doped carbon quantum dots // Microchim. Acta. 2020. V. 186. P. 323.
- Zhu L., Cui X., Wu J., Wang Z., Wang P., Hou Y., Yang M. Fluorescence immunoassay based on carbon dots as labels for the detection of human immunoglobulin G // Anal. Methods. 2014. V. 6. № 12. P. 4430.
- Воронежцева О.В., Еремин С.А., Ермолаева Т.Н. Определение аминогликозидных антибиотиков в пищевых продуктах методом поляризационного флуоресцентного иммуноанализа // Вестник ВГУ. 2009. № 2. С. 11.
- Beloglazova N.V., Eremin S.A. Rapid screening of aflatoxin B1 in beer by fluorescence polarization immunoassay // Talanta. 2015. V. 142. P. 170.
- Ma M., Chen M., Feng L., You H.J., Yang R., Boroduleva A., Hua X.D., Eremin S.A., Wang M.H. Fluorescence polarization immunoassay for highly efficient detection of imidaclothiz in agricultural samples // Food Anal. Methods. 2016. V. 9. P. 2471.
- Jameson D.M., Ross J.A. Fluorescence polarization/anisotropy in diagnostics and imaging // Chem. Rev. 2010. V. 110. P. 2685.
- Hendrickson O.D., Taranova N.A., Zherdev A.V., Dzantiev B.B., Eremin S.A. Fluorescence polarization-based bioassays: New horizons // Sensors. 2020. V. 20. № 24. P. 7132.
- Meng Z., Song R., Chen Y. Rapid screening and identification of dominant B cell epitopes of HBV surface antigen by quantum dot-based fluorescence polarization assay // Nanoscale Res. Lett. 2013. V. 8. № 1. P. 118.
- Tian J., Zhou L., Zhao Y. The application of CdTe/CdS in the detection of carcinoembryonic antigen by fluorescence polarization immunoassay // J. Fluoresc. 2012. V. 22. № 6. P. 1571.
- Petryayeva E., Algar W.R., Medintz I.L. Quantum dots in bioanalysis: A review of applications across various platforms for fluorescence spectroscopy and imaging // Appl. Spectrosc. 2013. V. 67. № 3. P. 215.
- Wang H., Liu C., Liu Z., Ren J., Qu X. Specific oxygenated groups enriched graphene quantum dots as highly efficient enzyme mimics // Small. 2018. V. 14. № 13. Article 1703710.
- Retamal Marin R.R., Babick F., Stintz M. Ultrasonic dispersion of nanostructured materials with probe sonication − Practical aspects of sample preparation // Powder Technol. 2017. V. 318. P. 451.
- Zhang L., Wang Z., Wang H., Dong W., Liu Y., Hu Q., Shuang S. Nitrogen-doped carbon dots for wash-free imaging of nucleolus orientation // Microchim. Acta. 2021. V. 188. № 183. P. 1.
- Егоров А.М. Теория и практика иммуноферментного анализа. М.: Высшая школа, 1991. С. 288.
- Zhu L., Cui X., Wu J., Wang Z., Wang P., Hou Y., Yang M. Fluorescence immunoassay based on carbon dots as labels for the detection of human immunoglobulin G // Anal. Methods. 2014. V. 6. № 12.
- Farafonova O.V., Vasiliev S.V., Eremin S.A., Ermolaeva T.N. Determination of aminoglycosides in food by fluorescence polarization immunoassay // Int. Res. J. 2015. № 7–2 (38). C. 65.
Дополнительные файлы









