Behavior and Fractionation of Low-Volatile Impurities in a DC Arc in the Analysis of Zirconium by Atomic Emission Spectrometry
- Authors: Zolotareva N.I.1, Grazhulene S.S.1
-
Affiliations:
- Institute of Microelectronics Technology and High-Purity Materials, Russian Academy of Sciences
- Issue: Vol 78, No 2 (2023)
- Pages: 144-150
- Section: ORIGINAL ARTICLES
- Submitted: 14.10.2023
- URL: https://journal-vniispk.ru/0044-4502/article/view/136005
- DOI: https://doi.org/10.31857/S0044450223020160
- EDN: https://elibrary.ru/CEBETE
- ID: 136005
Cite item
Full Text
Abstract
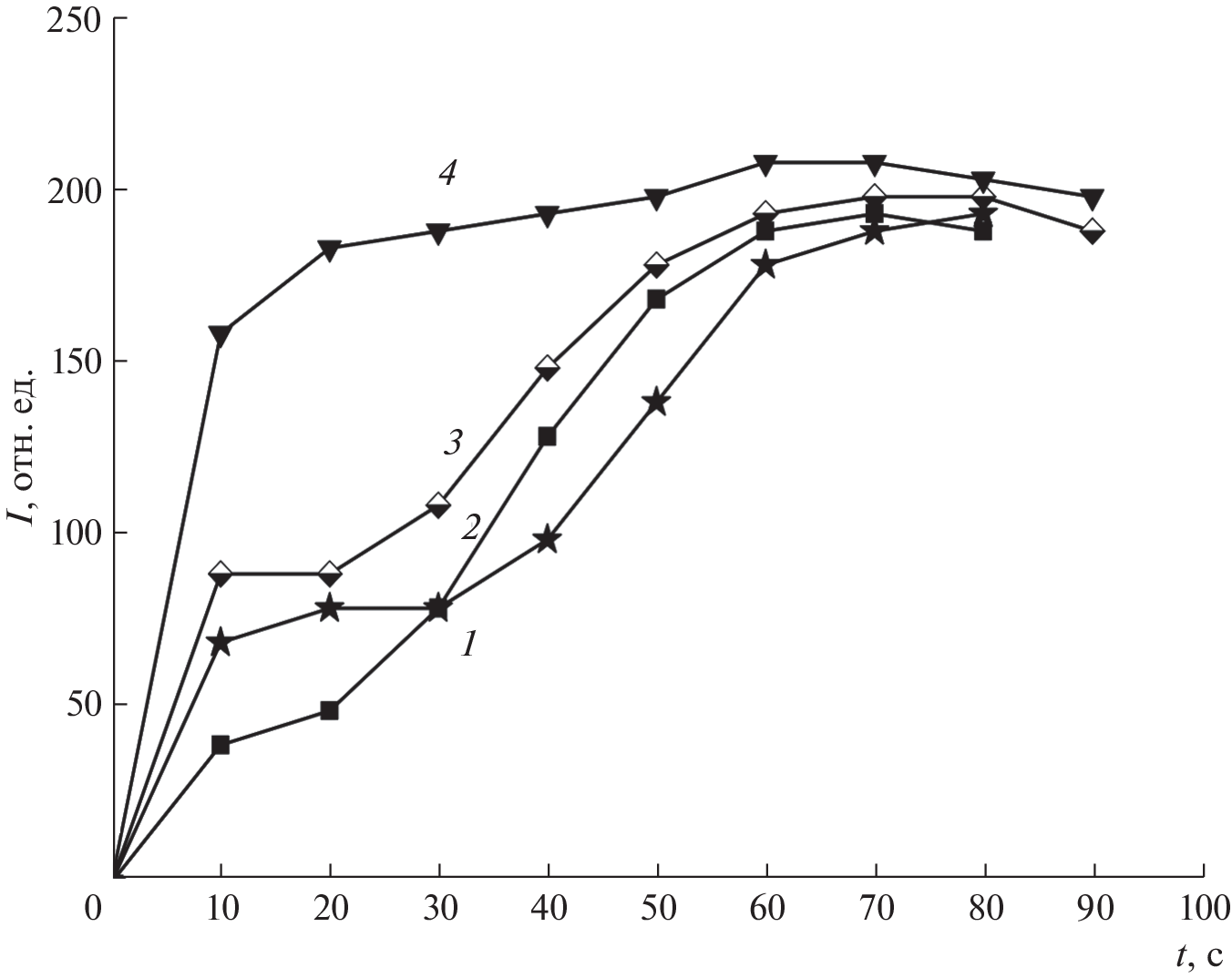
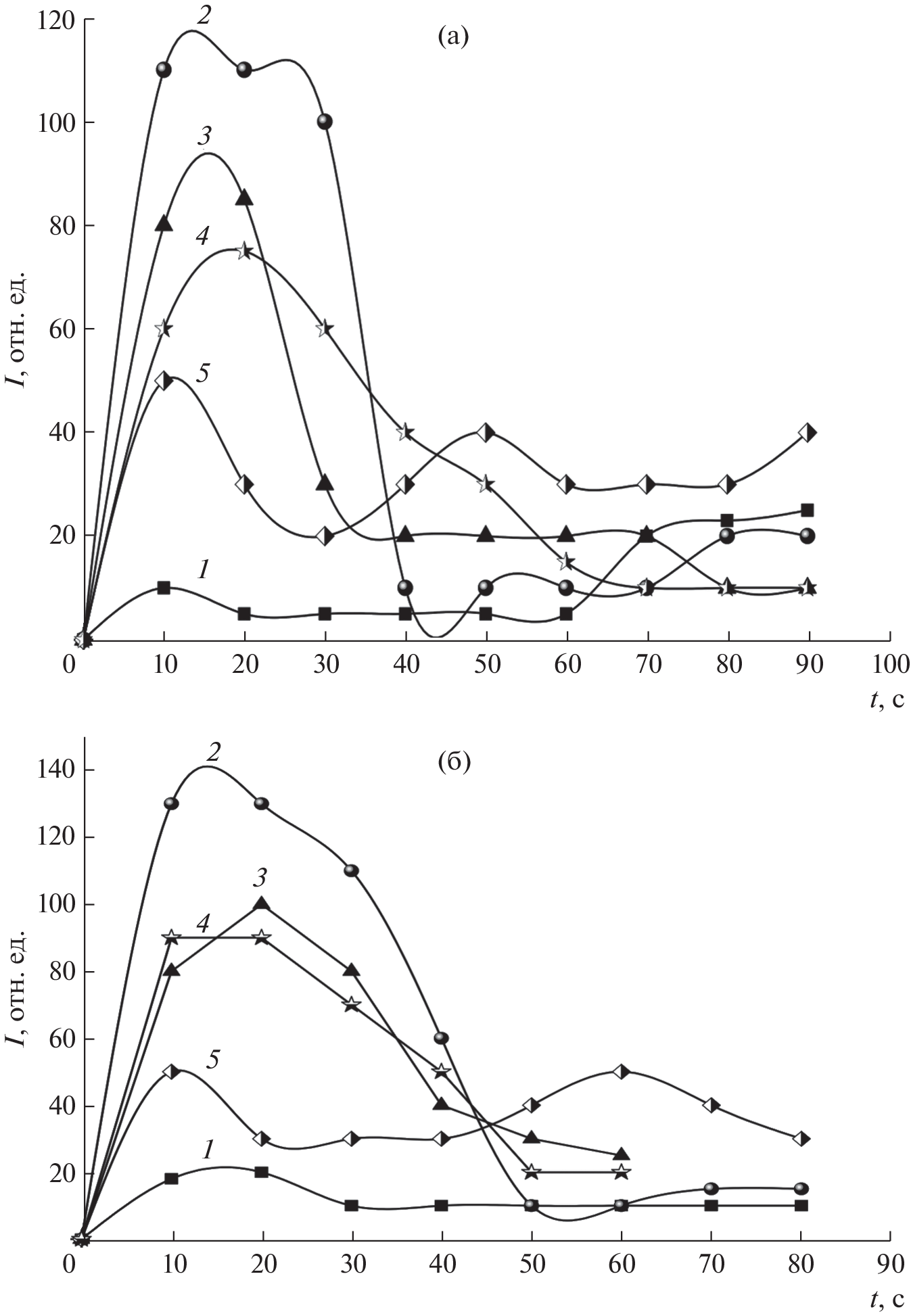
We studied the effect of chemically active fluorine-containing additives AlF3, BaF2, and ZnF2 on the character of evaporation of some low-volatile elements from a refractory matrix in the crater of a DC arc electrode in the analysis of zirconium by atomic emission spectrometry. The additives cause the formation of volatile fluorides of low-volatile elements and their fractional evaporation with respect to the base element evaporation. Impurity fluorides rapidly and completely evaporate during the first 30 s of arcing, and only after that the intensive evaporation of the base begins. Such fractionation increases significantly the intensity of the spectral lines of impurities, decreases the background intensity, and, consequently, improves the limits of determination of low-volatile elements in zirconium oxide. Zinc fluoride is the most effective of the studied additives. Using zinc fluoride, we lowered the limits of determination of low-volatile elements by two orders of magnitude compared to the limits of determination in zirconium oxide without additives and improved the reproducibility of the results of determinations.
About the authors
N. I. Zolotareva
Institute of Microelectronics Technology and High-Purity Materials, Russian Academy of Sciences
Email: zol@iptm.ru
142432, Chernogolovka, Moscow oblast, Russia
S. S. Grazhulene
Institute of Microelectronics Technology and High-Purity Materials, Russian Academy of Sciences
Author for correspondence.
Email: zol@iptm.ru
142432, Chernogolovka, Moscow oblast, Russia
References
- Решетников Ф.Г. Разработка, производство и эксплуатация тепловыделяющих элементов энергетических реакторов. М.: Энергоиздат, 1995. Кн. 1. С. 126.
- Глинская И.В., Теселкина А.Э., Алексеева Т.Ю., Куфтырев Р.Ю. Анализ диоксида циркония, стабилизированного оксидом иттрия, методом атомно-эмиссионной спектрометрии с индуктивно связанной плазмой // Заводск. лаборатория. Диагностика материалов. 2018. Т. 84. № 4. С. 16.
- Домбровская М.А., Лисиенко Д.Г., Шафар О.Ю. Определение гафния в циркониевых материалах // Заводск. лаборатория. Диагностика материалов. 2019. Т. 85. № 1. Ч. II. С. 56.
- Елинсон С.В., Петров К.И. Аналитическая химия циркония и гафния. М.: Наука, 1965. 240 с.
- Бурмий Ж.П., Золотарева Н.И., Хвостиков В.А., Гражулене С.С. Фотоэлектрическая регистрация эмиссионных спектров на основе приборов с зарядовой связью // Заводск. лаборатория. Диагностика материалов. 2008. Т. 74. № 6. С. 26.
- Верятин У.Д., Маширев В.П. Термодинамические свойства индивидуальных веществ. М.: Атомиздат, 1965. С. 154.
- Чанышева Т.А., Шелпакова И.Р. Унифицированный метод атомно-эмиссионного спектрального анализа объектов разной природы // Аналитика и контроль. 2002. Т. 6. № 3. С. 298.
- Гольдфарб В.М., Ильина Е.В. О зависимости интенсивности спектральных линий от состава плазмы дуги постоянного тока / Прикладная спектроскопия. М.: Наука, 1969. Т. 1. С. 172.
- Зильберштейн Х.И. Спектральный анализ чистых веществ. Л.: Химия, 1971. С. 105.
- Зайдель А.Н., Калитеевский Н.И., Липис Л.В., Чайка М.П. Эмиссионный спектральный анализ атомных материалов. М.: Физматгиз, 1960. 686 с.
- Домбровская М.А., Лисиенко Д.Г., Гильмуллина Ч.Г., Кубрина Е.Д. Совершенствование атомно-эмиссионной методики анализа графитового коллектора // Заводск. лаборатория. Диагностика материалов. 2017. Т. 83. № 1. Ч. II. С. 51.
- Экспериандова Л.П., Беликов К.Н., Химченко С.В., Бланк Т.А. Еще раз о пределах обнаружения и определения // Журн. аналит. химии. 2010. Т. 65. № 3. С. 229. (Eksperiandova L.P., Belikov K.N., Khimchenko S.V., Blank T.A. Once again about determination and detection limits // J. Anal. Chem. 2010. V. 65. № 3. P. 223.)
Supplementary files





