Hydrolytic Stability of Unsubstituted Hydrazones of Aromatic Carbonyl Compounds in Reversed-Phase HPLC
- Authors: Deruish A.1, Karakashev G.V.2, Ukolov A.I.2, Zenkevich I.G.1
-
Affiliations:
- Institute of Chemistry, St. Petersburg State University
- Research Institute of Hygiene, Occupational Pathology, and Human Ecology, Federal Medical and Biological Agency of Russia
- Issue: Vol 78, No 2 (2023)
- Pages: 166-175
- Section: ORIGINAL ARTICLES
- Submitted: 14.10.2023
- URL: https://journal-vniispk.ru/0044-4502/article/view/136016
- DOI: https://doi.org/10.31857/S0044450223020032
- EDN: https://elibrary.ru/CEGSOJ
- ID: 136016
Cite item
Full Text
Abstract
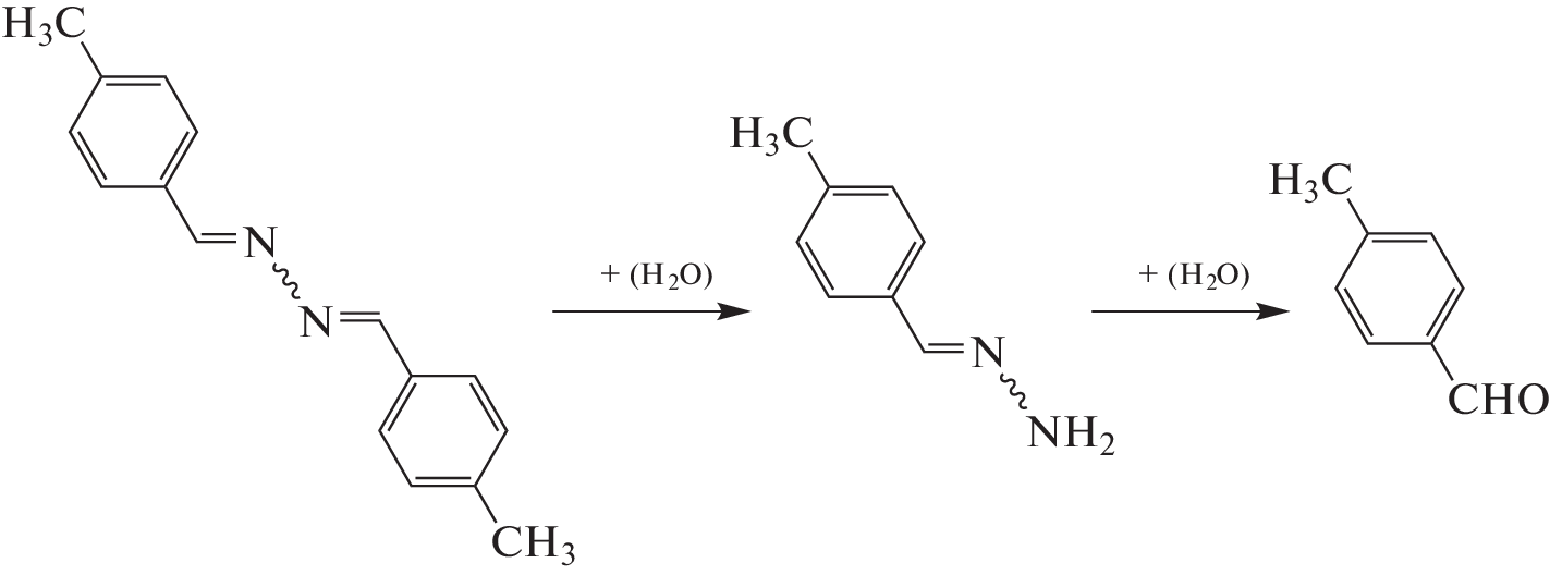
Unsubstituted hydrazones RR′C=NNH2 are unstable during gas chromatographic separation. Testing of their resistance to hydrolysis under reversed-phase HPLC showed that aromatic ketone hydrazones are stable. In contrast, aldehyde hydrazones are only stable in neutral methanol–water systems (in the absence of acidic modifiers). In acetonitrile–water systems containing 0.1% of formic acid, only aromatic ketone hydrazones are stable, while aldehyde derivatives are completely hydrolyzed. This difference in stability must be taken into account in determining other compounds of these classes. To detect the hydrolysis of analytes, we compared the retention indices of the initial carbonyl compounds and hydrazones at different volume ratios of organic modifiers and aqueous phases and different pH values of the eluent, the relative absorbance values of the characterized components A(254/220) = A(254)/A(220), and the chromatography–mass spectrometric data.
About the authors
A. Deruish
Institute of Chemistry, St. Petersburg State University
Email: izenkevich@yandex.ru
198504, St. Petersburg, Russia
G. V. Karakashev
Research Institute of Hygiene, Occupational Pathology, and Human Ecology, Federal Medical and Biological Agency of Russia
Email: izenkevich@yandex.ru
188663, Kuzmolovsky, Leningrad oblast, Russia
A. I. Ukolov
Research Institute of Hygiene, Occupational Pathology, and Human Ecology, Federal Medical and Biological Agency of Russia
Email: izenkevich@yandex.ru
188663, Kuzmolovsky, Leningrad oblast, Russia
I. G. Zenkevich
Institute of Chemistry, St. Petersburg State University
Author for correspondence.
Email: izenkevich@yandex.ru
198504, St. Petersburg, Russia
References
- Zenkevich I.G. Features and new examples of gas chromatographic separation of thermally unstable analytes. Ch. 3 / Recent Advances in Gas Chromatography. London: IntechOpen Ltd., 2020. P. 1. https://doi.org/10.5772/intechopen.94229
- Middleditch B.S. Analytical Artifacts: GC, MS, HPLC, TLC, and PC. Amsterdam: J. Chromatogr. Library, 1989. V. 44. 1033 p.
- Herr C.H., Whitmore F.C., Schiessler R.W. The Wolff–Kishner reaction at atmospheric pressure // J. Am. Chem. Soc. 1945. V. 67. № 12. P. 2061. https://doi.org/10.1021/ja01228a002
- Soffer M.D., Soffer M.B., Sherk K.W. A low pressure method for Wolff–Kishner reduction // J. Am. Chem. Soc. 1945. V. 67. № 9. P. 1435. https://doi.org/10.1021/ja1225a004
- Kuethe J.T., Childers K.G., Peng Z., Journet M., Humphrey G.R., Vickery T., Bachert D., Lam T.T. A practical kilogram-scale implementation of the Wolff–Kishner reduction // Org. Process Res. Development. 2009. V. 13. № 3. P. 576. https://doi.org/10.1021/op9000274
- The NIST Mass Spectral Library (NIST/EPA/NIH EI MS Library, 2017 Release). Software/Data Version; NIST Standard Reference Database, Number 69, August 2017. National Institute of Standards and Technology, Gaithersburg, MD 20899: http://webbook.nist.gov (дата обращения: апрель 2022 г.).
- Зенкевич И.Г., Подольский Н.Е. Выявление соединений, нестабильных в условиях газохроматографического разделения. Незамещенные гидразоны карбонильных соединений // Аналитика и контроль. 2017. Т. 21. № 2. С. 125. https://doi.org/10.15825/analitika.2017.21.2.002
- Зенкевич И.Г., Лукина В.М. Особенности газохроматографического разделения таутомеров этилацетоацетата // Журн. физ. химии. 2020. Т. 94. № 6. С. 910. https://doi.org/10.1134/S0036024420060357
- Kornilova T.A., Ukolov A.I., Kostikov R.R., Zenkevich I.G. A simple criterion for gas chromatography/mass spectrometric analysis of thermally unstable compounds, and reassessment of the by-products of alkyl diazoacetate synthesis // Rapid Commun. Mass Spectrom. 2013. V. 27. № 3. P. 461. https://doi.org/10.1002/rcm.6457
- Kovats’ retention index system / Encyclopedia of Chromatography / Ed. Cazes J. 3rd Ed. Boca Raton: CRC Press (Taylor & Francis Group), 2010. P. 1304.
- Peterson M.L., Hirsch J. A calculation for locating the carrier gas front of a gas-liquid chromatogram // J. Lipid Res. 1959. V. 1. P. 132.
- Kovarikova P., Vavrova K., Tomalova K., Schongut M., Hruskova K., Haskova P., Klimes J. HPLC-DAD and MS/MS analysis of novel drug candidates from the group of aromatic hydrazones revealing the presence of geometric isomers // J. Pharm. Biomed. Anal. 2008. V. 48. № 2. P. 295. https://doi.org/10.1016/j.jpba.2007.12.017
- Isenberg S.L., Carter M.D., Crow B.S., Graham L.A., Johnson D.J., Beninato N., Steele K., Thomas J.D., Johnson R.C. Quantification of hydrazine in human urine by HPLC-MS-MS // J. Anal. Toxicol. 2016. V. 40. № 4. P. 248. https://doi.org/10.1093/jat/bkw015
- Song L., Gao D., Li S., Wang Y., Liu H., Jiang Y. Simultaneous quantitation of hydrazine and acetylhydrazine in human plasma by high performance liquid chromatography – tandem mass spectrometry after derivatization with p-tolualdehyde // J. Chromatogr. B. 2017. V. 1063. P. 189. https://doi.org/10.1016/j.jchromb.2017.08.-36
- Brewer C.T., Yang L., Edwards A., Lu Y., Low J., Wu J., Lee R.E., Chen T. The isoniazid metabolites hydrazine and pyridoxal isonicotinoyl hydrazone modulate heme biosynthesis // Toxicol. Sci. 2019. V. 168. № 1. P. 209. https://doi.org/10.1093/toxsci/kfy294
- Wahbeh J., Milkowski S. The use of hydrazones for biomedical applications // SLAS Technol. 2019. V. 24. № 2. P. 161. https://doi.org/10.1117/2472630318822713
- Mateeva A., Peikova L., Kondeva-Burdina M., Georgieva M. Development of new HPLC method for identification of metabolic degradation of N-pyrrolylhydrazide hydrazones with determined MAO-B activity in cellular cultures // Pharmacia. 2021. V. 69. № 1. P. 15. https://doi.org/10.3897/pharmacia.69.e78417
- Derivatization of analytes in chromatography: General aspects / Encyclopedia of Chromatography / Ed. Cazes J. 3rd Ed. New York: Taylor & Francis, 2010. V. 1. P. 562.
- Carbonyls: Derivatization for GC analysis / Encyclopedia of Chromatography / Ed. Cazes J. 3rd Ed. New York: Taylor & Francis, 2010. V. 1. P. 310.
- Grosjean E., Green P.G., Grosjean D. Liquid chromatography analysis of carbonyl (2,4-dinitrophenyl)hydrazones with detection by diode array ultraviolet spectroscopy and by atmospheric pressure negative chemical ionization mass spectrometry // Anal. Chem. 1999. V. 71. № 9. P. 1851. https://doi.org/10.1021/ac981022v
- Rapid separation and identification of carbonyl compounds by HPLC / Agilent Application Note / Wilmington: Agilent Technologies, Inc., 2008. 4 p.
- Ochs S.M., Fasciotti M., Netto A.D.P. Analysis of 31 hydrazones of carbonyl compounds by RRLC-UV and RRLC-MS(/MS): A comparison of methods // J. Spectrosc. 2015. Article ID 890836. https://doi.org/10.1155/2015/890836
- Damanik M., Murkovic M. Formation of potentially toxic carbonyl compounds during oxidation of triolein in the presence of alimentary antioxidants // Monatsh Chem. 2017. V. 148. № 12. P. 2031. https://doi.org/10.1007/s00706-017-2036-3
- Frey J., Schneider F., Schink B., Hunn T. Synthesis of short-chain hydroxyaldehydes and their 2,4-dinitrophenylhydrazones derivatives, and separation of their isomers by high-performance liquid chromatography // J. Chromatogr. A. 2018. V. 1531. P. 143. https://doi.org/10.1016/chroma.2017.11.046
- Kalia J., Reines R.T. Hydrolytic stability of hydrazones and oximes // Angew. Chem. Int. Ed. 2008. V. 47. № 39. P. 7523. https://doi.org/10.002/anie.200802651
- Зенкевич И.Г., Косман В.М. Относительное поглощение при разных длинах волн - дополнительный УФ-спектральный параметр для идентификации органических соединений в обращенно-фазовой ВЭЖХ // Журн. аналит. химии. 1996. Т. 51. № 8. С. 870.
- Зенкевич И.Г., Косман В.М. Новые возможности идентификации органических соединений по УФ-спектрам с использованием относительных оптических плотностей // Журн. прикл. химии. 1997. Т. 70. № 11. С. 1861
- Зенкевич И.Г., Деруиш А. Аналитические аспекты зависимости индексов удерживания органических соединений в обращенно-фазовой ВЭЖХ от содержания метанола в составе элюента // Аналитика и контроль. 2022. Т. 26. № 1. С. 41. https://doi.org/10.15826/analitika.2022.26.1.004
- Practical Gas Chromatography / Eds. Engewald W., Dettmer-Wilde K. Berlin: Springer-Verlag, 2014. 902 p.
- Иоффе Б.В., Кузнецов М.А., Потехин А.А. Химия органических производных гидразина. Л.: Химия, 1979, 224 с.
Supplementary files








