Determination of 6-Nitro-7-(4'-Nitrophenyl)-5-Ethyl-4,7-Dihydropyrazolo[1,5-a]Pyrimidine-3-Carboxylate as a Potential Antitumor Agent by Voltammetry
- Authors: Mozharovskaia P.N.1, Ivoilova A.V.1, Terekhova A.A.1, Tsmokalyuk A.N.1, Ivanova A.V.1, Kozitsina A.N.1, Rusinov V.L.1,2
-
Affiliations:
- Ural Federal University named after the first President of Russia B.N. Yeltsin
- Postovskii Institute of Organic Synthesis, Ural Branch, Russian Academy of Sciences
- Issue: Vol 78, No 3 (2023)
- Pages: 260-267
- Section: ORIGINAL ARTICLES
- Submitted: 14.10.2023
- URL: https://journal-vniispk.ru/0044-4502/article/view/136017
- DOI: https://doi.org/10.31857/S0044450223020081
- EDN: https://elibrary.ru/FUUGSE
- ID: 136017
Cite item
Full Text
Abstract
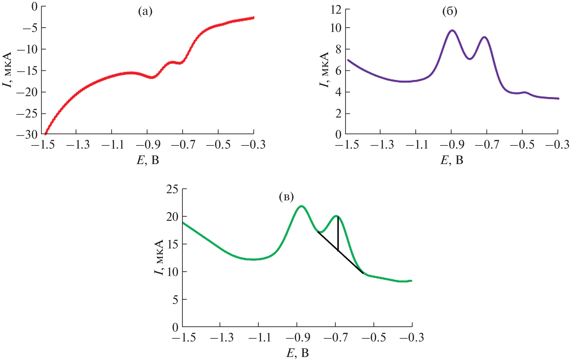
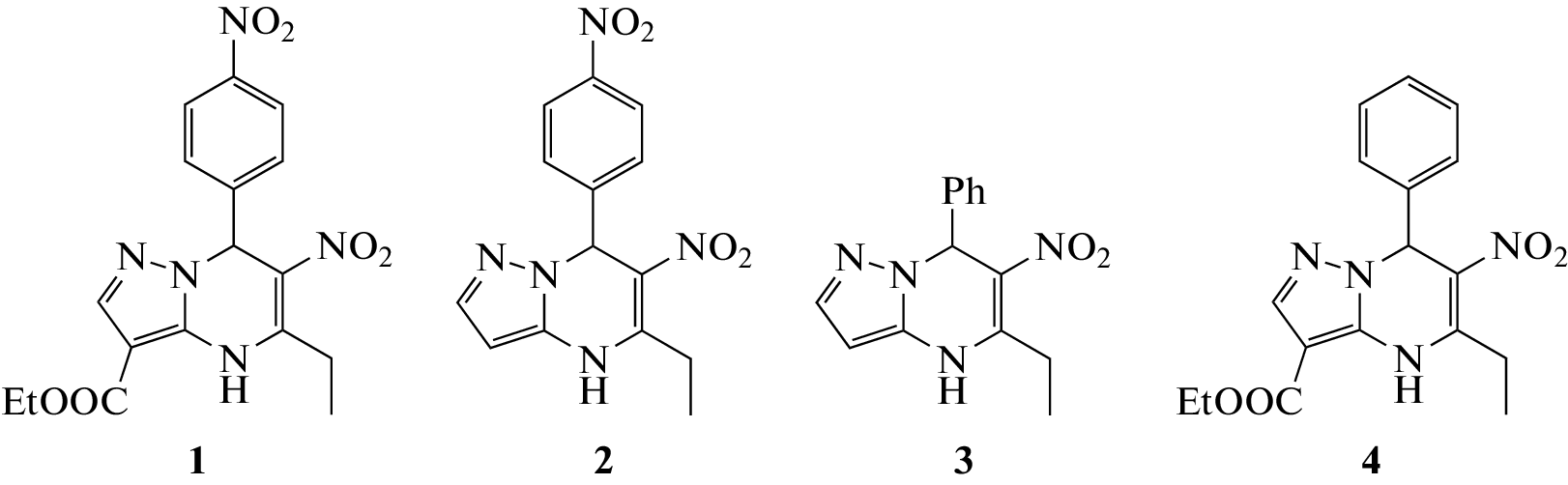
6-Nitro-7-(4'-nitrophenyl)-5-ethyl-4,7-dihydropyrazolo[1,5-a]pyrimidine-3-carboxylate (1) is one of promising antitumor compounds exhibiting biological activity against type 2 casein kinase, which is currently considered as a promising target in chemotherapy. Using the method of cyclic voltammetry, it was shown that the electrochemical activity of compound 1 in a mixed solution of Tris-HCl and ethanol (1 : 1) at pH 7.5 on a glassy-carbon electrode is due to the electrochemical reduction of the nitro group conjugated with the phenyl ring. A method was developed for the determination of compound 1 by direct cathodic square-wave voltammetry. The linearity region of the corresponding calibration curve obtained in a solution of a mixture of Tris-HCl and ethanol (1 : 1) at pH 7.5 is 5–500 mg/L (R2 = 0.988), the limit of detection is 0.8 mg/L, the limit of quantification is 2.4 mg/L. The accuracy of the developed procedure is close to 100%, the relative standard deviation is 1.4%.
About the authors
P. N. Mozharovskaia
Ural Federal University named after the first President of Russia B.N. Yeltsin
Email: pnmozharovskaia@urfu.ru
620002, Yekaterinburg, Russia
A. V. Ivoilova
Ural Federal University named after the first President of Russia B.N. Yeltsin
Email: pnmozharovskaia@urfu.ru
620002, Yekaterinburg, Russia
A. A. Terekhova
Ural Federal University named after the first President of Russia B.N. Yeltsin
Email: pnmozharovskaia@urfu.ru
620002, Yekaterinburg, Russia
A. N. Tsmokalyuk
Ural Federal University named after the first President of Russia B.N. Yeltsin
Email: pnmozharovskaia@urfu.ru
620002, Yekaterinburg, Russia
A. V. Ivanova
Ural Federal University named after the first President of Russia B.N. Yeltsin
Email: pnmozharovskaia@urfu.ru
620002, Yekaterinburg, Russia
A. N. Kozitsina
Ural Federal University named after the first President of Russia B.N. Yeltsin
Email: pnmozharovskaia@urfu.ru
620002, Yekaterinburg, Russia
V. L. Rusinov
Ural Federal University named after the first President of Russia B.N. Yeltsin; Postovskii Institute of Organic Synthesis, Ural Branch, Russian Academy of Sciences
Author for correspondence.
Email: pnmozharovskaia@urfu.ru
620002, Yekaterinburg, Russia; 620137, Yekaterinburg, Russia
References
- Pilleron S., Sarfati D., Janssen-Heijnen M., Vignat J., Ferlay J., Bray F., Soerjomataram I. Global cancer incidence in older adults, 2012 and 2035: A population-based study // Int. J. Cancer. 2019. V. 144. № 1. P. 49.
- Davatgaran-Taghipour Y., Masoomzadeh S., Farzaei M.H., Bahramsoltani R., Karimi-Soureh Z., Rahimi R., Abdollahi M. Polyphenol nanoformulations for cancer therapy: Experimental evidence and clinical perspective // Int. J. Nanomed. 2017. V. 12. P. 2689.
- Abdelaziz H.M., Gaber M., Abd-Elwakil M.M., Mabrouk M.T., Elgohary M.M., Kamel N.M., Kabary D.M., Freag M.S., Samaha M.W., Mortada S.M. Inhalable particulate drug delivery systems for lung cancer therapy: Nanoparticles, microparticles, nanocomposites and nanoaggregates // J. Control. Release. 2018. V. 269. P. 374.
- Madamsetty V.S., Mukherjee A., Mukherjee S. Recent trends of the bio-inspired nanoparticles in cancer theranostics // Front. Pharmacol. 2019. V. 10. P. 1264.
- Fuchi Y. Murase H., Kai R., Kurata K., Karasawa S., Sasaki S. Artificial host molecules to covalently capture 8-Nitro-cGMP in neutral aqueous solutions and in cells // Bioconjug. Chem. 2021. V. 32. № 2. P. 385.
- Denny W.A., Wilson W.R., Stevenson R.J., Tercel M., Atwell G.J., Yang S. Patterson V.A. Nitrobenzindoles and their use in cancer therapy. U.S. Patent No. 7718688. 18.05.2010.
- Wardman P. Application of pulse radiolysis methods to study the reactions and structure of biomolecules // Rep. Prog. Phys. 1978. V. 21. № 2. P. 259.
- Grunberg E., Titsworth E.H. Chemotherapeutic properties of heterocyclic compounds: monocyclic compounds with five-membered rings // Ann. Rev. Microbiol. 1973. V. 27. № 21. P. 317.
- Alavi M., Nokhodchi A. Micro- and nanoformulations of paclitaxel based on micelles, liposomes, cubosomes, and lipid nanoparticles: Recent advances and challenges // Drug Discov. Today. 2022. V. 27. № 2. P. 576.
- Bhatnagar I., Kim S-K. Marine antitumor drugs: Status, shortfalls and strategies // Marine Drugs. 2010. V. 8. № 10. P. 2702.
- Pérez-Herrero E., Fernández-Medarde A. Advanced targeted therapies in cancer: Drug nanocarriers, the future of chemotherapy // Eur. J. Pharm. Biopharm. 2015. V. 93. P. 52.
- Asati V., Anant A., Patel P., Kaur K., Gupta G.D. Pyrazolopyrimidines as anticancer agents: A review on structural and target-based approaches // Eur. J. Med. Chem. 2021. V. 225. Article 113781.
- Pagano M.A., Cesaro L., Meggio F., Pinna L.A. Protein kinase CK2: A newcomer in the “druggable kinome” // Biochem. Soc. Trans. 2006. V. 34. № 6. P. 1303.
- Squella J.A., Bollo S., Núñez-Vergara L.J. Recent developments in the electrochemistry of some nitro compounds of biological significance // Curr. Org. Chem. 2005. V. 9. № 6. P. 565
- Малахова Н.А., Ивойлова А.В. Замана А.А., Русинов В.Л., Алямовская И.С., Иванова А.В., Козицина А.Н. Количественное определение основного вещества противовирусного препарата Триазид® с использованием метода вольтамперометрии // Журн. аналит. химии. 2020. Т. 75. № 3. С. 266.
- Bonfilio R., De Araújo B.M., Salgado H.R.N. Recent applications of analytical techniques for quantitative pharmaceutical analysis: A review // WSEAS Trans. Biol. Biomed. 2010. T. 7. № 4. P. 316.
- El-Shahawi M.S., Bahaffi S.O., El-Mogy T. Analysis of domperidone in pharmaceutical formulations and wastewater by differential pulse voltammetry at a glassy-carbon electrode // Anal. Bioanal. Chem. 2007. V. 387. № 2. P. 719.
- Zittel H.E., Miller F.J. A glassy-carbon electrode for voltammetry // Anal. Chem. 1965. V. 37. № 2. P. 200.
- Baizer M. M., Lund H. Organic Electrochemistry. New York, 1983. P. 1166.
Supplementary files








