Потенциометрический сенсор на ионы цезия с пленочной мембраной на основе дибензо-21-краун-7
- Авторы: Бречалов А.А.1, Бабитова Е.С.1, Тимошенко В.В.1, Еремин В.В.1, Калинин Е.О.1, Калягин Д.С.1,2, Смирнов И.В.1,2, Ермоленко Ю.Е.1
-
Учреждения:
- Санкт-Петербургский государственный университет
- АО “Радиевый институт им. В.Г. Хлопина”
- Выпуск: Том 78, № 1 (2023)
- Страницы: 90-93
- Раздел: ОРИГИНАЛЬНЫЕ СТАТЬИ
- Статья получена: 14.10.2023
- URL: https://journal-vniispk.ru/0044-4502/article/view/136024
- DOI: https://doi.org/10.31857/S0044450222110032
- EDN: https://elibrary.ru/KLKLPA
- ID: 136024
Цитировать
Полный текст
Аннотация
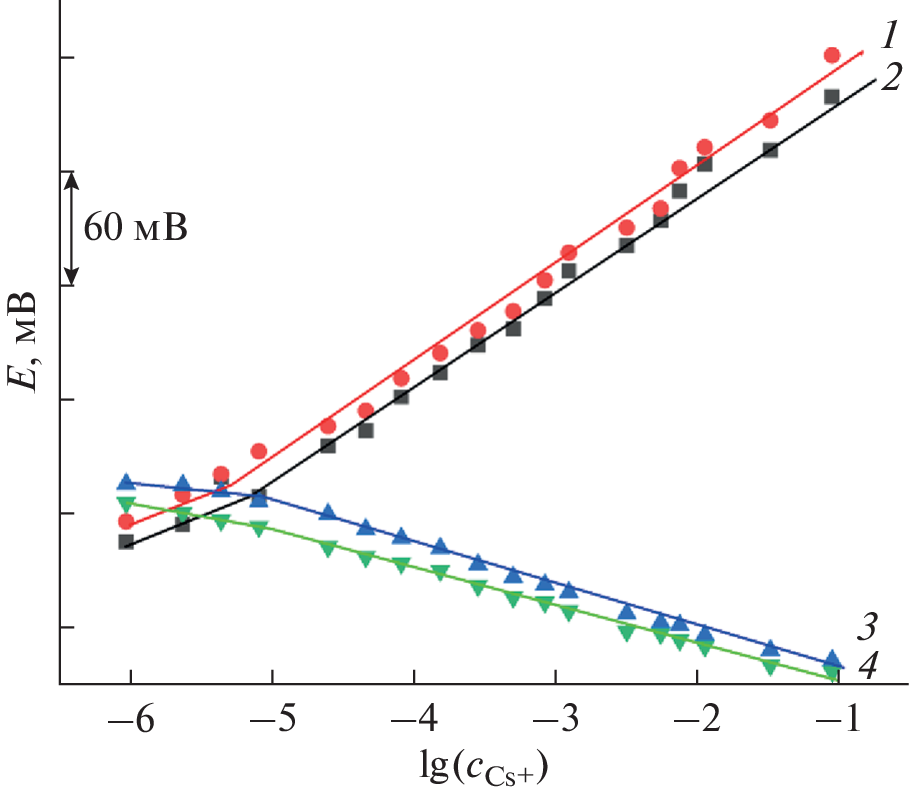
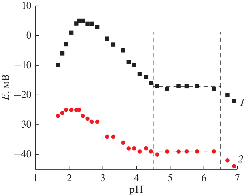
Предложен потенциометрический сенсор нового типа на ион цезия на основе краун-эфира (дибензо-21-краун-7), представлены его аналитические характеристики: предел обнаружения, крутизна электродной функции, селективность к ряду мешающих ионов, рабочий диапазон pH растворов.
Об авторах
А. А. Бречалов
Санкт-Петербургский государственный университет
Email: y.ermolenko@spbu.ru
Россия, 199034, Санкт-Петербург, Университетская наб., 7/9
Е. С. Бабитова
Санкт-Петербургский государственный университет
Email: y.ermolenko@spbu.ru
Россия, 199034, Санкт-Петербург, Университетская наб., 7/9
В. В. Тимошенко
Санкт-Петербургский государственный университет
Email: y.ermolenko@spbu.ru
Россия, 199034, Санкт-Петербург, Университетская наб., 7/9
В. В. Еремин
Санкт-Петербургский государственный университет
Email: y.ermolenko@spbu.ru
Россия, 199034, Санкт-Петербург, Университетская наб., 7/9
Е. О. Калинин
Санкт-Петербургский государственный университет
Email: y.ermolenko@spbu.ru
Россия, 199034, Санкт-Петербург, Университетская наб., 7/9
Д. С. Калягин
Санкт-Петербургский государственный университет; АО “Радиевый институт им. В.Г. Хлопина”
Email: y.ermolenko@spbu.ru
Россия, 199034, Санкт-Петербург, Университетская наб., 7/9; Россия, 194021, Санкт-Петербург, 2-й Муринский просп., 28
И. В. Смирнов
Санкт-Петербургский государственный университет; АО “Радиевый институт им. В.Г. Хлопина”
Email: y.ermolenko@spbu.ru
Россия, 199034, Санкт-Петербург, Университетская наб., 7/9; Россия, 194021, Санкт-Петербург, 2-й Муринский просп., 28
Ю. Е. Ермоленко
Санкт-Петербургский государственный университет
Автор, ответственный за переписку.
Email: y.ermolenko@spbu.ru
Россия, 199034, Санкт-Петербург, Университетская наб., 7/9
Список литературы
- Zdrachek E., Bakker E. Potentiometric sensing // Anal. Chem. 2019. V. 91. P. 2. https://doi.org/10.1021/acs.analchem.8b04681
- Ding R., Cheong Y.H., Ashiq A., Lisak G. Heavy metals detection with paper-based electrochemical sensors // Anal. Chem. 2021. 93. P. 1880. https://doi.org/10.1021/acs.analchem.0c04247
- Zhang H.X., Huang Z.X., Zhao P.Y., Hou Y., Guo J.J, Wu Y.C. Crown ether functionalized graphene oxide as ultrasensitive electrochemical sensor for detection of potassium ions // Mater. Res. Express. 2019. V. 6. № 12. Article 125095. https://doi.org/10.1088/2053-1591/ab5d65
- Ozbek O., Isildak O., Gürdere M.B., Cetin A. The use of crown ethers as sensor material in potentiometry technique // Org. Commun. 2021. V. 14. № 3. P. 228. https://doi.org/10.25135/acg.oc.110.2106.2114
- Ekmekci G., Uzun D., Somer G., Kalayci S. A novel iron(III) selective membrane electrode based on benzo-18-crown-6 crown ether and its applications // J. Membr. Sci. 2007. V. 288. P. 36. https://doi.org/10.1016/j.memsci.2006.10.044
- Khaled E., Kamel M.S., Hassan H.N.A. Novel multi walled carbon nanotubes /crown ether based disposable sensors for determination of lead in water samples // Anal. Chem. Lett. 2015. V. 6. № 5. P. 329. https://doi.org/10.1080/22297928.2016.1143393
- Gupta V.K., Pankaj K., Rajni M. PVC based monoaza-18-crown-6 membrane potentiometric sensors for cadmium // Electroanalysis. 2000. V.12. № 10. P. 752. https://doi.org/10.1002/1521-4109(200006)12:10<752: :AID-ELAN752>3.0.CO;2-V
- Bouazizi A., Maaref H., Nyamsi-Hendji. A.M., Jaffrezic-Renault N., Chevalier Y. Chemically modified ISFETs with thin polymeric membranes working in a differential mode // Sens. Mater. 1997. V. 9. № 3. P. 149. https://myukk.org/SM2017/sm_pdf/SM281.pdf
Дополнительные файлы







