Высокочувствительное определение карбамазепина, окскарбазепина, идентификация продуктов их деградации в вещественных доказательствах и в трупном материале печени человека методом ГХ-МС
- Авторы: Пирогов А.В.1, Гандлевский Н.А.1, Васильева А.А.1, Барсегян С.С.2, Носырев А.Е.3
-
Учреждения:
- Московский государственный университет имени М.В. Ломоносова, химический факультет
- Российский центр судебно-медицинской экспертизы Министерства здравоохранения Российской Федерации (РЦСМЭ Минздрава России)
- Первый Московский государственный медицинский университет им. И.М. Сеченова
- Выпуск: Том 78, № 6 (2023)
- Страницы: 546-558
- Раздел: ОРИГИНАЛЬНЫЕ СТАТЬИ
- Статья получена: 14.10.2023
- URL: https://journal-vniispk.ru/0044-4502/article/view/136040
- DOI: https://doi.org/10.31857/S0044450223060099
- EDN: https://elibrary.ru/DWRVPO
- ID: 136040
Цитировать
Полный текст
Аннотация
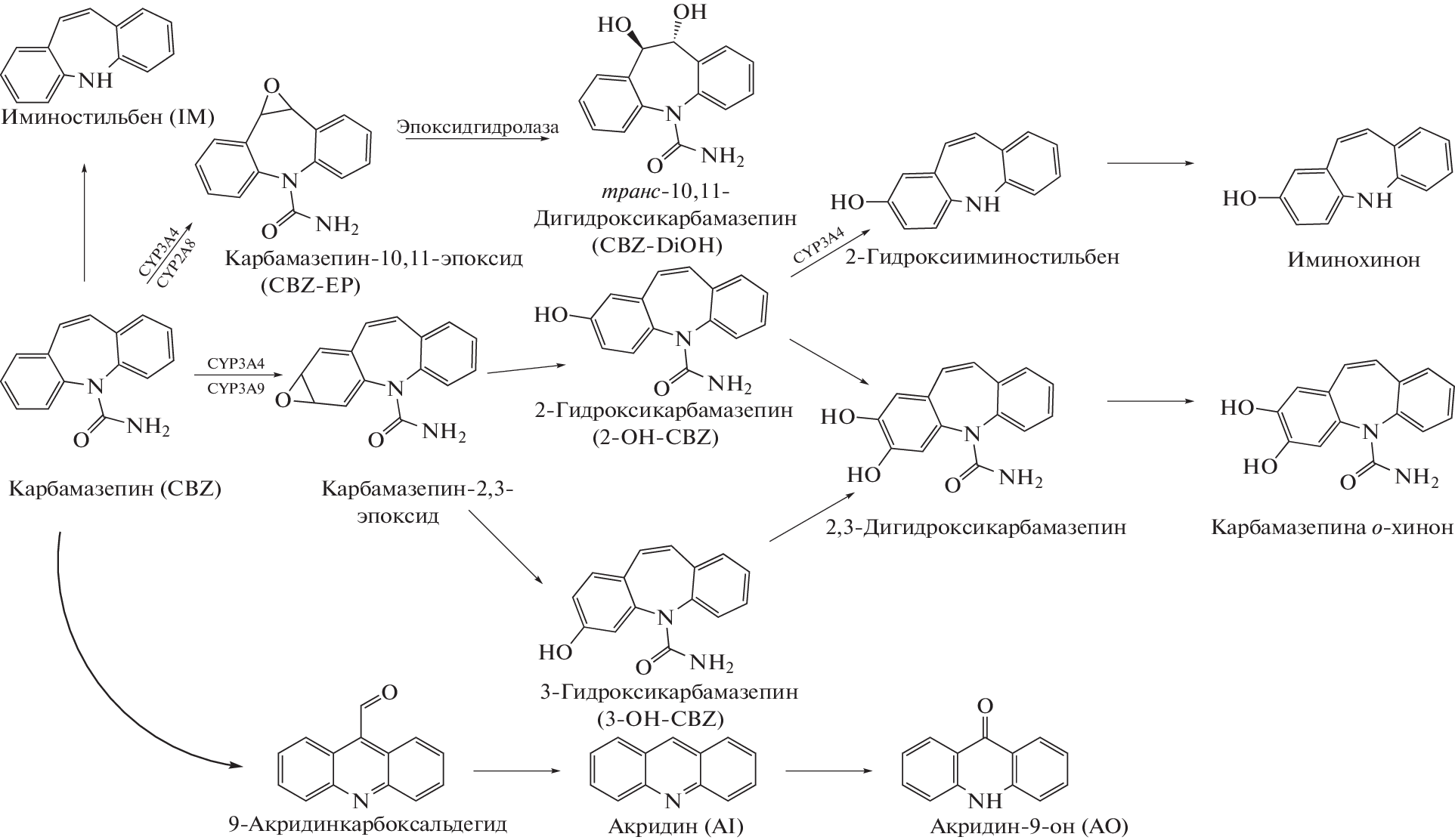
Работа посвящена поиску и выбору условий пробоподготовки, определения карбамазепина и окскарбазепина и идентификации продуктов их метаболизма и деградации в печени (post mortem) человека и в вещественных доказательствах методом хромато-масс-спектрометрии. Разработан подход к пробоподготовке карбамазепина и окскарбазепина методом QUECHERS. В качестве внутреннего стандарта предложен амитриптилин. Исследованы продукты деградации карбамазепина и окскарбазепина в модельных растворах при щелочном и кислотном гидролизе и окислении. Идентифицировано 14 метаболитов и продуктов деградации. Определены основные аналитические характеристики разработанного способа определения. Пределы обнаружения составляют 0.1 и 0.2 мкг/г для карбамазепина и окскарбазепина соответственно. Установлено соответствие разработанного способа требованиям Руководства по валидации Российского Центра судебно-медицинской экспертизы.
Ключевые слова
Об авторах
А. В. Пирогов
Московский государственный университет имени М.В. Ломоносова, химический факультет
Email: Pirogov@analyt.chem.msu.ru
Россия, 119991, Москва, Ленинские горы, 1, стр. 3
Н. А. Гандлевский
Московский государственный университет имени М.В. Ломоносова, химический факультет
Email: Pirogov@analyt.chem.msu.ru
Россия, 119991, Москва, Ленинские горы, 1, стр. 3
А. А. Васильева
Московский государственный университет имени М.В. Ломоносова, химический факультет
Email: Pirogov@analyt.chem.msu.ru
Россия, 119991, Москва, Ленинские горы, 1, стр. 3
С. С. Барсегян
Российский центр судебно-медицинской экспертизы Министерства здравоохраненияРоссийской Федерации (РЦСМЭ Минздрава России)
Email: Pirogov@analyt.chem.msu.ru
Россия, 125284, Москва, ул. Поликарпова, 12/13
А. Е. Носырев
Первый Московский государственный медицинский университет им. И.М. Сеченова
Автор, ответственный за переписку.
Email: Pirogov@analyt.chem.msu.ru
Россия, 119048, Москва, ул. Трубецкая, 8, стр. 2
Список литературы
- Schmidt D., Elger C.E. What is the evidence that oxcarbazepine and carbamazepine are distinctly different antiepileptic drugs? // Epilepsy Behav. 2004. V. 5 № 5. P. 627.
- Furst S. M., Uetrecht J. P. The effect of carbamazepine and its reactive metabolite, 9-acridine carboxaldehyde, on immune cell function in vitro // Int. J. Immunopharmacol. 1995. V. 17. № 5. P. 445.
- Wad N., Guenat C., Krämer G. Carbamazepine: detection of another metabolite in serum, 9 hydroxymethyl-10-carbamoyl acridan // Ther. Drug Monit. 1997. V. 19. № 3. P. 314.
- Iida A., Sasaki E., Yano A., Tsuneyama K., Fukami T., Nakajima M., Yokoi T. Carbamazepine-induced liver injury requires CYP3A-mediated metabolism and glutathione depletion in rats // Drug Metab. Dispos. 2015. V. 43. № 7. P. 958.
- Jiang W., Xia T., Yun Y., Li M., Zhang F., Gao S., Chen W. UHPLC-MS/MS method for simultaneous determination of carbamazepine and its seven major metabolites in serum of epileptic patients // J. Chromatogr. B: Anal. Technol. Biomed. Life Sci. 2019. V. 1108. P. 17.
- Eichelbaum M., Tomson T., Tybring G., Bertilsson L. Carbamazepine metabolism in man // Clin. Pharmacokinet. 1985. V. 10. № 1. P. 80.
- Knowles S.R., Uetrecht J., Shear N.H. Idiosyncratic drug reactions: The reactive metabolite syndromes // The Lancet. 2000. V. 356. № 9241. P. 1587.
- Brenton H., Cociglio M., Bressolle F., Peyriere H., Blayac J., Hillairebuys D. Liquid chromatography–electrospray mass spectrometry determination of carbamazepine, oxcarbazepine and eight of their metabolites in human plasma // J. Chromatogr. B: Anal. Technol. Biomed. Life Sci. 2005. V. 828. № 1–2. P. 80.
- Csetenyi J., Baker K.M., Frigerio A., Morselli P.L. Iminostilbene-a metabolite of carbamazepine isolated from rat urine // J. Pharm. Pharmacol. 1973. V. 25. № 4. P. 340.
- Pearce R.E. Pathways of carbamazepine bioactivation in vitro I. Characterization of human cytochromes P450 responsible for the formation of 2- and 3-hydroxylated metabolites // Drug Metab. Dispos. 2002. V. 30 № 11. P. 1170.
- Furst S.M., Uetrecht J.P. Carbamazepine metabolism to a reactive intermediate by the myeloperoxidase system of activated neutrophils // Biochem. Pharmacol. 1993. V. 45. № 6. P. 1267.
- Larkin J., McKee P., Forrest G., Beastall G., Park B., Lowrie J., Brodie M. Lack of enzyme induction with oxcarbazepine (600 mg daily) in healthy subjects // Br. J. Clin. Pharmacol. 1991. V. 31. № 1. P. 65.
- Flesch G. Overview of the clinical pharmacokinetics of oxcarbazepine // Clin. Drug Investig. 2004. V. 24. № 4. P. 185.
- Schütz H., Feldmann K.F., Faigle J.W., Kriemler H.P., Winkler T. The metabolism of 14C-oxcarbazepine in man. Xenobiotica // 1986. V. 16. № 8. P. 769.
- Mandrioli R., Albani F., Casamenti G., Sabbioni C., Raggi M.A. Simultaneous high-performance liquid chromatography determination of carbamazepine and five of its metabolites in plasma of epileptic patients // J. Chromatogr. B: Biomed. Sci. Appl. 2001. V. 762. № 2. P. 109.
- Deeb S., McKeown D.A., Torrance H.J., Wylie F.M., Logan B.K., Scott K.S. Simultaneous analysis of 22 antiepileptic drugs in postmortem blood, serum and plasma using LC–MS-MS with a focus on their role in forensic cases // J. Anal. Toxicol. 2014. V. 38. № 8. P. 485.
- Jiang W., Xia T., Yun Y., Li M., Zhang F., Gao S., Chen W. UHPLC-MS/MS method for simultaneous determination of carbamazepine and its seven major metabolites in serum of epileptic patients // J. Chromatogr. B: Anal. Technol. Biomed. Life Sci. 2019. V. 1108. P. 17.
- Ferrari Júnior E., Caldas E. D. Simultaneous determination of drugs and pesticides in postmortem blood using dispersive solid-phase extraction and large volume injection-programmed temperature vaporization-gas chromatography–mass spectrometry // Forensic Sci. Int. 2018. V. 290. P. 318.
- Moffat A.C., Osselton M.D., Widdop B., Watts J. Clarke’s Analysis of Drugs and Poisons in pharmaceuticals, body fluids and postmortem material. 4th Ed. Química Farmacêutica, 2011. 2609 p.
- Levine B., Phipps R.J., Naso C., Fahie K., Fowler D. Tissue distribution of newer anticonvulsant drugs in postmortem cases // J. Anal. Toxicol. 2010. V. 34. № 8. P. 506.
- Lionetto L., Casolla B., Cavallari M., Tisei P., Buttinelli C., Simmaco M. High-performance liquid chromatography–tandem mass spectrometry method for simultaneous quantification of carbamazepine, oxcarbazepine, and their main metabolites in human serum // Ther. Drug Monit. 2012. V. 34. № 1. P. 53.
- Wu S., Xu W., Subhani Q., Yang B., Chen D., Zhu Y., Li L. Ion chromatography combined with online electrochemical derivatization and fluorescence detection for the determination of carbamazepine in human plasma // Talanta. 2012. V. 101. P. 541.
- Veiga A., Dordio A., Carvalho A. J.P., Teixeira D.M., Teixeira J.G. Ultra-sensitive voltammetric sensor for trace analysis of carbamazepine // Anal. Chim. Acta. 2010. V. 674. № 2. P. 182.
- Gibbons S.E., Wang C., Ma Y. Determination of pharmaceutical and personal care products in wastewater by capillary electrophoresis with UV detection // Talanta. 2011. V. 84. № 4. P. 1163.
- Cámara M.S., Mastandrea C., Goicoechea H.C. Chemometrics-assisted simple UV-spectroscopic determination of carbamazepine in human serum and comparison with reference methods // J. Biochem. Biophys. Methods. 2005. V. 64. № 3. P. 153.
- Kalanur S.S., Seetharamappa J. Electrochemical oxidation of bioactive carbamazepine and its interaction with DNA // Anal. Lett. 2010. V. 43. № 4. P. 618.
- Burke J.T., Thénot J.P. Determination of antiepileptic drugs // J. Chromatogr. B: Biomed. Sci. Appl. 1985. V. 340. P. 199.
- Godolphin W., Thoma J. Quantitation of anticonvulsant drugs in serum by gas-chromatography on the stationary phase SP-2510 // Clin. Chem. 1978. V. 24. № 3. P. 483.
- Kupferberg H.J. GLC determination of carbamazepine in plasma // J. Pharm. Sci. 1972. V. 61. № 2. P. 284.
- Least C.J., Johnson G.F., Solomon H.M. Therapeutic monitoring of anticonvulsant drugs: Gas-chromatographic simultaneous determination of primidone, phenylethylmalonamide, carbamazepine, and diphenylhydantoin // Clin. Chem. 1975. V. 21. № 11. P. 1658.
- Abraham C.V., Joslin H.D. Simultaneous gas-chromatographic analysis for phenobarbital, diphenylhydantoin, carbamazepine, and primidone in serum // Clin. Chem. 1976. V. 22. № 6. P. 769.
- Trager W.E, Levy R.H., Patel I.H., Neal J.M. Pharmacokinetics of carbamazepine-10,11-epoxide before and after autoinduction in rhesus monkeys // J. Pharmacol. Exp. Ther. 1978. V. 206. № 3. P. 607.
- Hallbach J., Vogel H., Guder W.G. Determination of lamotrigine, carbamazepine and carbamazepine epoxide in human serum by gas chromatography mass spectrometry // Eur. J. Clin. Chem. Clin. Biochem. 1997. V. 35. № 10. P. 755.
- Speed D.J., Dickson S.J., Cairns E.R., Kim N.D. Analysis of six anticonvulsant drugs using solid-phase extraction, deuterated internal standards, and gas chromatography-mass spectrometry // J. Anal. Toxicol. 2000. V. 24. № 8. P. 685.
- Inotsume N., Higashi A., Kinoshita E., Matsuoka T., Nakano M. Rapid and sensitive determination of ethotoin as well as carbamazepine, phenobarbital, phenytoin and primidone in human serum // J. Chromatogr. B: Biomed. Sci. Appl. 1986. V. 383. № 1. P. 166.
- Maurer H.H. Detection of anticonvulsants and their metabolites in urine within a “general unknown” analysis procedure using computerized gas chromatography-mass spectrometry // Arch. Toxicol. 1990. V. 64. № 7. P. 554.
- Palmér L., Bertilsson L., Coliste P., Rawlins, M. Quantitative determination of carbamazepine in plasma by mass fragmentography // Clin. Pharmacol. Ther. 1973. V. 14. № 5. P. 827.
- Ferrari Júnior E., Caldas E.D. Simultaneous determination of drugs and pesticides in postmortem blood using dispersive solid-phase extraction and large volume injection-programmed temperature vaporization-gas chromatography–mass spectrometry // Forensic Sci. Int. 2018. V. 290. P. 318.
- Lewis R.J., Angier M.K., Johnson R.D. False carbamazepine positives due to 10,11-dihydro-10-hydroxycarbamazepine breakdown in the GC–MS injector port // J. Anal. Toxicol. 2014. V. 38. № 8. P. 519.
- Von Unruh G.E., Paar W.D. Gas chromatographic/mass spectrometric assays for oxcarbazepine and its main metabolites, 10-hydroxy-carbazepine and carbazepine-10,11-trans-diol // Biomed. Environ. Mass Spectrom. 1986. V. 13. № 12. P. 651.
- Erarpat S., Bodur S., Fırat Ayyıldız M., Tahir Günkara Ö., Erulaş F., Chorme, D.S., Bakırdere S. Accurate and simple determination of oxcarbazepine in human plasma and urine samples using switchable-hydrophilicity solvent in GC-MS // Biomed. Chromatogr. 2020. V. 34. № 10. Article e4915.
- Rani S., Malik A.K. A novel microextraction by packed sorbent-gas chromatography procedure for the simultaneous analysis of antiepileptic drugs in human plasma and urine // J. Sep. Sci. 2012. V. 35. № 21. P. 2970.
- Барсегян С.С., Саломатин Е.М., Плетенева Т.В., Максимова Т.В., Долинкин А.О. Методические рекомендации по валидации аналитических методик, используемых в судебно-химическом и химико-токсикологическом анализе биологического материала. М.: Российский центр судебно-медицинской экспертизы, 2014. 52 с.
Дополнительные файлы




















