A Voltammetric Sensor Based on Aluminophosphate Zeolite and a Composite of Betulinic Acid with a Chitosan Polyelectrolyte Complex for the Identification and Determination of Naproxen Enantiomers
- Authors: Zilberg R.A.1, Maistrenko V.N.1, Teres Y.V.2, Vakulin I.V.1, Bulysheva E.O.1, Seluyanova A.A.1
-
Affiliations:
- Department of Chemistry, Ufa University of Science and Technology
- 450076, Ufa, Bashkortostan, Russia
- Issue: Vol 78, No 7 (2023)
- Pages: 648-661
- Section: ORIGINAL ARTICLES
- Submitted: 14.10.2023
- URL: https://journal-vniispk.ru/0044-4502/article/view/136061
- DOI: https://doi.org/10.31857/S0044450223070162
- EDN: https://elibrary.ru/VSELHV
- ID: 136061
Cite item
Full Text
Abstract
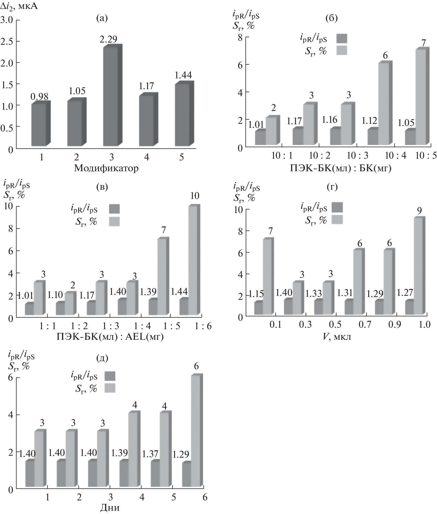
A voltammetric sensor was developed based on a glassy carbon electrode with aluminophosphate zeolite finely dispersed on its surface, modified with a polyelectrolyte complex of chitosan with succinyl chitosan and betulinic acid, for the selective detection and determination of naproxen enantiomers. The electrochemical and analytical characteristics of the sensor were studied, and the effective electrode surface area (A = 9.8 ± 0.5 mm2) and charge transfer resistance (Ret = 649.9 ± 0.4 Ω) were calculated. In determining naproxen enantiomers, calibration characteristics are linear in the range from 2.5 × 10–5 to 1 × 10–3 M with limits of detection of 1.1 × 10–7 and 1.5 × 10–7 M and limits of quantification of 3.6 × 10–7 and 4.9 × 10–7 M for R- and S-naproxen, respectively. The sensor is more sensitive to R-naproxen (∆Ep = 60 mV, ipR/ipS = 1.40). The proposed sensor was used to recognize and determine naproxen enantiomers in human urine and plasma samples. Statistical evaluation of the results by the standard addition method showed that there was no systematic error.
About the authors
R. A. Zilberg
Department of Chemistry, Ufa University of Science and Technology
Email: ZilbergRA@yandex.ru
450076, Ufa, Bashkortostan, Russia
V. N. Maistrenko
Department of Chemistry, Ufa University of Science and Technology
Email: ZilbergRA@yandex.ru
450076, Ufa, Bashkortostan, Russia
Yu. V. Teres
450076, Ufa, Bashkortostan, Russia
Email: ZilbergRA@yandex.ru
450076, Ufa, Bashkortostan, Russia
I. V. Vakulin
Department of Chemistry, Ufa University of Science and Technology
Email: ZilbergRA@yandex.ru
450076, Ufa, Bashkortostan, Russia
E. O. Bulysheva
Department of Chemistry, Ufa University of Science and Technology
Email: ZilbergRA@yandex.ru
450076, Ufa, Bashkortostan, Russia
A. A. Seluyanova
Department of Chemistry, Ufa University of Science and Technology
Author for correspondence.
Email: ZilbergRA@yandex.ru
450076, Ufa, Bashkortostan, Russia
References
- Simmons R.L., Owen S., Abbott C.J., Bouchier-Hayes T.A., Hunt H.A. Naproxen sodium and paracetamol/dextropropoxyphene in sports injuries – a multicenter comparative study // Br. J. Sports Med. 1982. V. 16. № 2. P. 91. https://doi.org/10.1136/bjsm.16.2.91
- Fathi M., Zare M.A., Bahmani H.R., Zehtabechi S. Comparison of oral oxycodone and naproxen in soft tissue injury pain control: A double-blind randomized clinical trial // Am. J. Emerg. Med. 2015. V. 33. № 9. P. 1205. https://doi.org/10.1016 / j.ajem.2015.05.021
- Todd P.A., Clissold S.P. Naproxen. A reappraisal of its pharmacology, and therapeutic use in rheumatic diseases and pain states // Drugs. 1990. V. 40. № 1. P. 91. https://doi.org/10.2165/00003495-199040010-00006
- Клинические рекомендации по диагностике и лечению анкилозирующего спондилита (болезнь Бехтерева). М.: Общероссийская общественная организация Ассоциация ревматологов России, 2013. С. 21.
- Lefebvre G., Pinsonneault O., Antao V., Black A.Y. Primary dysmenorrhea consensus guideline // JOGS. 2006. V. 27. № 12. P. 1117.
- Коренная В.В. НПВП в лечении пациенток с первичной дисменореей // Гинекология. 2015. Т. 17. № 1. С. 55.
- Roddy E., Clarkson K., Blagojevic-Bucknall M., Mehta R., Oppong R., Avery A., Hay E.M., Heneghan C., Hartshorne L., Hooper J., Hughes G., Jowett S., Lewis M., Little P., McCartney K., Mahtani K.R., Nunan D., Santer M., Williams S., Mallen C.D. Open-label randomised pragmatic trial (CONTACT) comparing naproxen and low-dose colchicine for the treatment of gout flares in primary care // Ann. Rheum. Dis. 2020. V. 79. № 2. P. 276. https://doi.org/10.1136/annrheumdis-2019-216154
- Чичасова Н.В. Нестероидные противовоспалительные препараты в лечении остеоартрита: проблема выбора с учетом безопасности и влияния на хрящ // Consilium Medicum. 2017. Т. 19. № 9. С. 122. https://doi.org/10.26442/2075-1753_19.9.122-128
- Chu S.C., Yang S.F., Lue K.H., Hsieh Y.-S., Li T.-J., Lu K.-H. Naproxen, meloxicam and methylprednisolone inhibit urokinase plasminogen activator and inhibitor and gelatinases expression during the early stage of osteoarthritis // Clin. Chim. Acta. 2008. V. 387. № 1–2. P. 90. https://doi.org/10.1016 / j.cca.2007.09.012
- Каратеев Д.Е., Лучихина Е.Л. Медикаментозная терапия болевого синдрома у больных артритом // Эффективная фармакотерапия. 2018. № 33. С. 26.
- Xu Y.L., Liu Z.S., Wang H.F., Yan C., Gao R.Y. Chiral recognition ability of an (S)-naproxen- imprinted monolith by capillary electrochromatography // Electrophoresis. 2005. V. 26. P. 804. https://doi.org/10.1002/elps.200410171
- Li J., Yu T., Xu G., Du Y., Liu Z., Feng Z., Yang X., Xi Y., Liu J. Synthesis and application of ionic liquid functionalized β-cyclodextrin, mono-6-deoxy-6-(4-amino-1,2,4-triazolium)-β-cyclodextrin chloride, as chiral selector in capillary electrophoresis // J. Chromatogr. A. 2018. V. 1559. P. 178. https://doi.org/10.1016/J.CHROMA.2017.11.068
- Cao S., Xie C., Ma Q., Wang S., Zhang J., Wang Z. Enantioselective separation of nonsteroidal anti-inflammatory drugs with amylose tris(3-chloro-5-methylphenylcarbamate) stationary phase in HPLC with a focus on enantiomeric quality control in six pharmaceutical formulations containing racemic mixtures or single stereoisomers // Chirality. 2021. V. 33. № 12. P. 938. https://doi.org/10.1002/chir.23369
- Gonçalves L., Cravo S., Fernandes C., Tiritan M.E. Development and evaluation of Pirkle-type chiral stationary phase for flash chromatography // J. Chromatogr. A. 2022. V. 1675. Article 463156. https://doi.org/10.1016/j.chroma.2022.463156
- Xiang C., Liu G., Kang S., Guo X., Yao B., Weng W., Zeng Q. Unusual chromatographic enantioseparation behavior of naproxen on an immobilized polysaccharide-based chiral stationary phase // J. Chromatogr. A. 2011. V. 1218. № 48. P. 8718. https://doi.org/10.1016/j.chroma.2011.10.014
- Papp L.-A., Krizbai S., Dobó M., Hancu G., Szabó Z.-I., Tóth G. Determination of chiral impurity of naproxen in different pharmaceutical formulations using polysaccharide-based stationary phases in reversed-phased mode // Molecules. 2022. V. 27. № 9. P. 2986. https://doi.org/10.3390/molecules27092986
- Tran C.D., Oliveira D. Fluorescence determination of enantiomeric composition of pharmaceuticals via use of ionic liquid that serves as both solvent and chiral selector // Anal. Biochem. 2006. V. 356. P. 51. https://doi.org/10.1016/j.ab.2006.06.026
- Tashkhourian J., Afsharinejad M. Chiral recognition of naproxen enantiomers using starch capped silver nanoparticles // Anal. Methods. 2016. V. 8. P. 2251. https://doi.org/10.1039/C5AY03021H
- Dehghani Z., Akhond M., Absalan G. Carbon quantum dots embedded silica molecular imprinted polymer as a novel and sensitive fluorescent nanoprobe for reproducible enantioselective quantification of naproxen enantiomers // Microchem. J. 2021. V. 160. Article 105723. https://doi.org/10.1016/J.MICROC.2020.105723
- Afkhami A., Kafrashi F., Ahmadi M., Madrakian T. A new chiral electrochemical sensor for the enantioselective recognition of naproxen enantiomers using l-cysteine self-assembled over gold nanoparticles on a gold electrode // RSC Adv. 2015. V. 5. № 72. P. 58609. https://doi.org/10.1039/c5ra07396k
- Jafari M., Tashkhourian J., Absalan G. Electrochemical chiral recognition of naproxen using L-cysteine/reduced graphene oxide modified glassy carbon electrode // Anal. Bioanal. Chem. Res. 2020. V. 7. № 1. P. 1. https://doi.org/10.22036/ABCR.2019.155898.1274
- Guo L., Huang Y., Zhang Q., Chen C., Guo D., Chen Y., Fu Y. Electrochemical sensing for naproxen enantiomers using biofunctionalized reduced graphene oxide nanosheets // J. Electrochem. Soc. 2014. V. 161. № 4. P. B70. https://doi.org/10.1149/2.075404jes
- Zagitova L.R., Yarkaeva Y.A., Zagitov V.V., Nazyrov M.I., Gainanova S., Maistrenko V.N. Voltammetric chiral recognition of naproxen enantiomers by N-tosylproline functionalized chitosan and reduced graphene oxide based sensor // J. Electroanal. Chem. 2022. V. 922. № 413. Article 116744. https://doi.org/10.1016/j.jelechem.2022.116744
- Ebrahimi S., Afkhami A., Madrakian T. Target -responsive host–guest binding driven dual-sensing readout for enhanced electrochemical chiral analysis // The Analyst. 2021. V. 146. № 15. P. 4865. https://doi.org/10.1039/d1an00795e
- Zilberg R.A., Berestova T.V., Gizatov R.R., Teres Y.B., Galimov M.N., Bulysheva E.O. Chiral selectors in voltammetric sensors based on mixed phenylalanine/alanine Cu(II) and Zn(II) complexes // Inorganics. 2022. V. 10. № 117. https://doi.org/10.3390/inorganics10080117
- Montes R.H.O., Stefano J.S., Richter E.M., Munoz R.A.A. Exploring multiwalled carbon nanotubes for naproxen detection // Electroanalysis. 2014. V. 26. № 7. P. 1449. https://doi.org/10.1002/elan.201400113
- Майстренко В.Н., Зильберг Р.А. Энантиоселективные вольтамперометрические сенсоры на основе хиральных материалов // Журн. аналит. химии. 2020. Т. 75. № 12. С. 1080. https://doi.org/10.31857/S0044450220120105
- Zou J., Zhao G.-Q., Zhao G.-L., Yu J.-G. Fast and sensitive recognition of enantiomers by electrochemical chiral analysis: Recent advances and future perspectives // Coord. Chem. Rev. 2022. V. 471. Article 214732, https://doi.org/10.1016/j.ccr.2022.214732
- Salinas G., Niamlaem M., Kuhn A., Arnaboldi S. Recent advances in electrochemical transduction of chiral information // Curr. Opin. Colloid Interface Sci. 2022. V. 61. Article 101626. https://doi.org/10.1016/j.cocis.2022.101626
- Gumus E., Bingol H., Zor E. Nanomaterials-enriched sensors for detection of chiral pharmaceuticals // J. Pharm. Biomed. Anal. 2022. V. 221. Article 115031. https://doi.org/10.1016/j.jpba.2022.115031
- Upadhyay S.S., Gadhari N.S., Srivastava A.K. Biomimetic sensor for ethambutol employing β-cyclodextrin mediated chiral copper metal organic framework and carbon nanofibers modified glassy carbon electrode // Biosens. Bioelectron. 2020. V. 165. Article 112397. https://doi.org/10.1016/j.bios.2020.112397
- Зильберг Р.А., Майстренко В.Н., Яркаева Ю.А., Дубровский Д.И. Энантиоселективная вольтамперометрическая сенсорная система для распознавания D и L-триптофана на основе стеклоуглеродных электродов, модифицированных композитами полиариленфталида с α-, β- и γ-циклодекстринами // Журн. аналит. химии. 2019. Т. 74. С. 941. (Zil’berg R.A., Maistrenko V.N., Yarkaeva Y.A., Dubrovskii D.I. An eantioselective voltammetric sensor system based on glassy carbon electrodes modified by polyarylenephthalide composites with α-, β-, and γ-cyclodextrins for recognizing D- and L-tryptophans // J. Anal. Chem. 2019. V. 74. P. 1245.) https://doi.org/10.1134/S0044450219110136
- Zilberg R.A., Maistrenko V.N., Kabirova L.R., Dubrovsky D.I. Selective voltammetric sensors based on composites of chitosan polyelectrolyte complexes with cyclodextrins for the recognition and determination of atenolol enantiomers // Anal. Methods. 2018. V. 10. № 16. P. 1886. https://doi.org/10.1039/c8ay00403j
- Kingsford O.J., Zhang D., Ma Y., Wu Y., Zhu G. Electrochemically recognizing tryptophan enantiomers based on carbon black/poly-L-cysteine modified electrode // J. Electrochem. Soc. 2019. V. 166. № 13. P. B1226. https://doi.org/10.1149/2.0791913jes
- Stoian I.A., Iacob B.C., Ramalho J.P.P., Marian I.O., Chiș V., Bodoki E., Oprean R. A chiral electrochemical system based on L-cysteine modified gold nanoparticles for propranolol enantiodiscrimination: Electroanalysis and computational modeling // Electrochim. Acta. 2019. V. 326. Article 134961. https://doi.org/10.1016/j.electacta.2019.134961
- Kour R., Arya S., Young S-J., Gupta V., Bandhoria P., Khosla A. Review-recent advances in carbon nanomaterials as electrochemical biosensors // J. Electrochem. Soc. 2020. V. 167. № 3. Article 037555. https://doi.org/10.1149/1945-7111/ab6bc4
- Майстренко В.Н., Евтюгин Г.А. Энантиоселективные сенсоры. М.: Лаборатория знаний, 2023. 259 с.
- Яркаева Ю.А., Дубровский Д.И., Зильберг Р.А., Майстренко В.Н., Корнилов В.М. Вольтамперометрический сенсор на основе композита 3,4,9,10-перилентетракарбоновой кислоты для распознавания и определения энантиомеров тирозина // Журн. аналит. химии. 2020. Т. 75. № 12. С. 1108. https://doi.org/10.31857/S0044450220110146
- Зильберг Р.А., Терес Ю.Б., Загитова Л.Р., Яркаева Ю.А., Берестова Т.В. Вольтамперометрический сенсор на основе аминокислотного комплекса меди(II) для определения энантиомеров триптофана // Аналит. и контроль. 2021. Т. 25. № 3. С. 193. https://doi.org/10.15826/analitika.2021.25.3.006
- Sapelnikova S., Dock E., Ruzgas T., Emnéus J. Amperometric sensors based on tyrosinase-modified screenprinted arrays // Talanta. 2003. V. 61. № 4. P. 473. https://doi.org/10.1016/S0039-9140(03)00314-X
- Cejka J., Corma A., Zones S. Zeolites and Catalysis: Synthesis, Reactions and Applications. Weinheim: Wiley-VCH, 2010. P. 918. https://doi.org/10.1002/9783527630295
- Vermeiren W., Gilson J.-P. Impact of zeolites on the petroleum and petrochemical industry // Topics in Catalysis. 2009. V. 52. P. 1131. https://doi.org/10.1007/s11244-009-9271-8
- Pérez-Botella E., Valencia S., Rey F. Zeolites in adsorption processes: State of the art and future prospects // Chem. Rev. 2022. V. 122. № 24. P. 17647. https://doi.org/10.1021/acs.chemrev.2c00140
- Колесов С.В., Гурина М.С., Мударисова Р.Х. Об устойчивости водных нанодисперсий полиэлектролитных комплексов на основе хитозана и n-сукцинилхитозана // Высокомолекулярные соединения. Серия А. 2019. Т. 61. № 3. С. 195. https://doi.org/10.1134/S2308112019030076
- Колесов С.В., Гурина М.С., Мударисова Р.Х. Закономерности и особенности образования водных нанодисперсий интерполиэлектролитных комплексов на основе хитозана и сукцинамида хитозана // Журн. общ. химии. 2018. Т. 88. № 8. С. 1376. https://doi.org/10.1134/S0044460X1808022X
- Kim D.S.H.L., Chen Z., Nguyen van T., Pezzuto J.M., Qiu S., Lu Z.-Z. A Concise semi-synthetic approach to betulinic acid from betulin // Synth. Commun. 1997. V. 27. № 9. P. 1607. https://doi.org/10.1080/00397919708006099
- Urban M., Sarek J., Klinot J., Korinkova G., Hajduch M. Synthesis of A-Seco derivatives of betulinic acid with cytotoxic activity // J. Nat. Prod. 2004. V. 67. № 7. P. 1100. https://doi.org/10.1021/np049938m
- Spivak A.Y., Gubaidullin R.R., Galimshina Z.R., Nedopekina D.A., Odinokov V.N. Effective synthesis of novel C(2)-propargyl derivatives of betulinic and ursolic acids and their conjugation with β-d-glucopyranoside azides via click chemistry // Tetrahedron. 2016. V. 72. № 9. P. 1249. https://doi.org/10.1016/j.tet.2016.01.024
- Agliullin M.R., Khairullina Z.R., Faizullin A.V. Selective crystallization of aluminophosphate molecular sieves with an AEL structure // Catal. Ind. 2019. V. 11. № 1. P. 1. https://doi.org/10.1134/s2070050419010021
- Bard A.J., Faulkner L.R. Electrochemical Methods. Fundamentals and Application. 2nd Ed. N.Y.: Wiley, 2004. P. 864.
- Molecular Visualization and Simulation Program Package. Gainsville, Fl.: Hypercube, 1995. P. 32601.
Supplementary files











