Влияние химически активных добавок на характер испарения труднолетучих примесей при их дуговом атомно-эмиссионном определении в алюминии
- Авторы: Золотарева Н.И.1, Гражулене С.С.1
-
Учреждения:
- Институт проблем технологии микроэлектроники и особочистых материалов Российской академии наук
- Выпуск: Том 79, № 3 (2024)
- Страницы: 237-243
- Раздел: ОРИГИНАЛЬНЫЕ СТАТЬИ
- Статья получена: 08.08.2024
- Статья одобрена: 08.08.2024
- URL: https://journal-vniispk.ru/0044-4502/article/view/261407
- DOI: https://doi.org/10.31857/S0044450224030043
- EDN: https://elibrary.ru/vqzjvs
- ID: 261407
Цитировать
Полный текст
Аннотация
Изучено влияние химически активных фторсодержащих добавок AlF3, AgF и ZnF2 на характер испарения труднолетучих элементов, В, Be, Cr, Hf, Mo, Si, Ti и V из оксида алюминия в дуге постоянного тока. Найдено, что в присутствии этих добавок происходит значительный рост интенсивности спектральных линий и уменьшение времени полного испарения из электрода для всех исследуемых элементов, что свидетельствует об образовании в кратере электрода их легколетучих фторидов. Показано, что наиболее эффективной добавкой из исследуемых соединений является фторид цинка. Использование этой добавки позволило снизить пределы определения труднолетучих элементов в оксиде алюминия на полтора-два порядка по сравнению с вариантом без добавок, а также улучшить сходимость результатов определений.
Полный текст
Алюминий высокой чистоты находит широкое применение в электронике, в производстве полупроводниковых материалов, а также в технологии транзисторов, диодов и теристоров. Сравнительно малое поглощение тепловых нейтронов, высокая теплопроводность, высокая стабильность под облучением и хорошая коррозионная стойкость в воде и воздухе позволили использовать его в атомной энергетике в качестве конструкционного материала топливных элементов учебных и исследовательских реакторов. Чистый алюминий используется также для получения высокочистого оксида алюминия. Материалы, созданные на основе оксида алюминия, отличаются термостойкостью и абразивной устойчивостью, обладают высокими показателями светопропускания в УФ- и ИК-областях спектра, что делает их незаменимыми для использования в твердотельных лазерах и оптических приборах. Высокочистый оксид алюминия широко используется в настоящее время для выращивания кристаллов алюмоиттриевого граната с целью получения на его основе высококачественной оптической и конструкционной керамики, находящей широкое применение в микроэлектронике, производстве лазеров и световодов в волоконной оптике. Принципиальная возможность применения керамики во многом определяется ее химической чистотой. Например, содержание примесных элементов уже на уровне n×10–4 мас. % значительно снижает светопропускание [1] и люминесцентные свойства керамики [2]. В литературе отсутствуют систематизированные данные по влиянию примесей на свойства оптической керамики, а действие многих примесей не изучено. Этим определяется необходимость разработки новых методик определения примесей как в самой керамике, так и в прекурсорах, например в оксиде алюминия, с пределами определения (сlim) элементов-примесей на уровне n×10–5 мас. % [3].
Анализ металлического алюминия методом прямого дугового атомно-эмиссионного анализа (АЭА) фактически сводится к анализу его оксида, так как перед проведением анализа металлический алюминий переводится, как правило, в оксид. Для анализа оксида алюминия используются различные методы анализа – атомно-эмиссионная спектрометрия (АЭС) с возбуждением атомов в дуговом разряде [4–8], в двухструйном дуговом плазматроне (АЭС-ДДП) [9] и в индуктивно связанной плазме (АЭС-ИСП) [10–12]. Тем не менее из перечисленных методов анализа прямой АЭА в дуге постоянного тока до сих пор представляется достаточно привлекательным благодаря высокой чувствительности, экономичности и простоте пробоподготовки. Важной задачей является определение в оксиде труднолетучих элементов, например Ti, Mo и V, которые оказывают влияние на механические, электрические и оптические свойства керамических материалов. Важное значение имеет определение B и Hf в алюминии и оксиде алюминия, которые используются в атомной промышленности. Бериллий является высокотоксичным элементом, поэтому его определение важно при изготовлении изделий пищевой промышленности, а присутствие хрома влияет на окраску корунда. Определение труднолетучих элементов в тугоплавком оксиде алюминия является трудной задачей, так как высокие (около 4 000 оС и выше) температуры кипения металлов и оксидов, в виде которых они могут находиться в анализируемом материале, затрудняют их испарение из кратера электрода, что является причиной недостаточно низких сlim.
Описанные в литературе методики прямого АЭА оксида алюминия с дуговым источником возбуждения спектров позволяют определять одновременно не более двух–четырех труднолетучих элементов [5–8] с сlim 4×10–4 мас. %. Для снижения сlim труднолетучих B, Mo, V и Ti в работе [13] предложено сжигание пробы в тонкостенных угольных электродах с диаметром канала 3.5 мм и толщиной стенок 0.3 мм. Применение таких электродов обеспечило полное сжигание анализируемой пробы одновременно со стенками канала электрода, что способствовало увеличению интенсивности спектральных линий труднолетучих элементов-примесей и снижению их сlim до 5×10–5 мас. %. Однако недостатками данной методики являются большое время экспозиции – 80 с, трудность работы с такими электродами из-за их хрупкости, а также небольшое количество одновременно определяемых труднолетучих элементов.
Известно, что наиболее эффективным способом снижения сlim труднолетучих элементов в тугоплавких матрицах является использование химически активной добавки [14–16], введение которой в анализируемый объект способствует образованию в кратере электрода дуги легколетучих соединений определяемых элементов и, следовательно, росту интенсивности их спектральных линий и снижению сlim. Авторы работы [17] в качестве добавки при анализе оксида алюминия использовали хлорид натрия в соотношении 1:1 с анализируемой пробой. Однако исследование показало, что использование этой добавки практически не способствует снижению сlim труднолетучих элементов. Добавка Ga2O3 [18] практически не изменяет скорость испарения определяемых труднолетучих соединений примесей, а лишь стабилизирует процесс их испарения из основы и способствует улучшению сходимости их определений, в то время как использование фторсодержащей добавки MgF2 способствует как ускорению испарения молибдена из электрода, так и росту интенсивности его спектральных линий [7]. Тот же эффект наблюдался в присутствии AlF3 [19] и BiF3 [20] при определении B, Mo, Nb, Si, Ta, V и Zr. Авторами сделан вывод о протекании реакций фторирования в кратере графитового электрода. В работе [20] также показано, что добавка NaCl, аналогично данным работы [17], неэффективна и может быть использована лишь в качестве спектрального буфера. Эффективность фторсодержащих добавок при определении труднолетучих элементов в тугоплавких матрицах доказана также нами [21, 22]. Воздействие добавок объясняется тем, что образующиеся в их присутствии фториды труднолетучих элементов являются не только легколетучими, но и достаточно устойчивыми соединениями, что позволяет им испариться из кратера электрода в виде фторидов без разложения [23]. При этом наиболее перспективными нам представляются фториды алюминия, серебра и цинка, которые выбраны для исследований в настоящей работе благодаря их устойчивости и достаточно высоким температурам кипения (1 537, 663 и 1 505 оС соответственно), которые не позволяют им испариться из кратера электрода, прежде чем пройдет фторирование определяемых элементов-примесей. Кроме того, эти добавки имеют довольно простой эмиссионный спектр, поэтому их присутствие в анализируемом образце дополнительно не усложняет проведение анализа. Таким образом, использование фторидов алюминия, серебра и цинка может оказаться весьма перспективным для снижения сlim труднолетучих элементов в тугоплавком оксиде алюминия прямым АЭА в дуге постоянного тока. Необходимо отметить, что решение этой практической задачи требует проведения фундаментальных исследований поведения определяемых элементов-примесей и основы в присутствии вносимых добавок в кратере электрода дуги.
Цель настоящей работы – исследование влияния фторсодержащих соединений AlF3, AgF и ZnF2 на характер испарения труднолетучих примесей и основы из кратера электрода дуги постоянного тока для улучшения метрологических характеристик их определения в оксиде алюминия.
ЭКСПЕРИМЕНТАЛЬНАЯ ЧАСТЬ
Использовали спектрограф PGS-2 с плоской дифракционной решеткой 651 штр/мм, обеспечивающий обратную линейную дисперсию 0.74 нм/мм. В качестве источника возбуждения спектров использовали дугу постоянного тока 12 А. Эмиссионные спектры регистрировали разработанной в нашей лаборатории фотоэлектрической системой регистрации с использованием линеек приборов с зарядовой связью [24].
В качестве добавок исследовали AlF3, AgF и ZnF2 марки ос. ч. Кривые испарения элементов строили по результатам регистрации спектров с экспозициями по 10 с до полного испарения пробы из кратера электрода. Пробу набивали в кратер нижнего электрода (анода) типа “рюмка”. Кратер “рюмки” имел глубину и диаметр 4 мм, толщину стенок 1 мм, шейку диаметром 1.5 и высотой 4 мм. Конец верхнего электрода был заточен на конус. Условия сжигания пробы выбраны опытным путём при работе с фторирующими добавками и опубликованы нами ранее [21, 22]. Использовали трехлинзовую систему освещения щели.
Образцы сравнения готовили на основе оксида алюминия ос. ч., предварительно прокаленного при 1 300 оС в платиновом тигле в течение двух часов. Примесные элементы вводили в виде их оксидов ос. ч. Концентрация примесных элементов в головном образце составляла 1 мас. % Образцы сравнения готовили методом последовательного разбавления головного эталона оксидом алюминия ос. ч. Готовили две серии образцов сравнения. О качестве приготовленных образцов судили по совпадению градуировочных графиков определяемых элементов в этих сериях.
Металлический алюминий перед проведением анализа переводили в оксид путем растворения его в азотной кислоте ос. ч. (1:1). Раствор упаривали под ИК-лампой, затем на плитке до сухого остатка. Сухой остаток нитрата алюминия прокаливали в муфельной печи 1.5 ч при 750 оС до образования оксида алюминия. В полученный оксид вводили добавку, тщательно перемешивали в ступке из оргстекла и анализировали.
РЕЗУЛЬТАТЫ И ИХ ОБСУЖДЕНИЕ
Известно, что температура кипения оксида алюминия довольно высокая (2 980 оС), и при горении дуги его порошок образует в кратере электрода расплав. В результате оксид алюминия испаряется из кратера электрода в процессе горения дуги неравномерно, разбрызгивается, что является причиной низкой сходимости результатов определений. Для предотвращения образования расплава в работах [6, 7, 13] анализируемый оксид алюминия предлагается смешивать с графитовым порошком, что способствовует улучшению сходимости результатов определения примесных элементов, но при этом время экспозиции увеличивается до 70–80 с. Кроме того, в присутствии графитового порошка могут образовываться карбиды труднолетучих элементов с температурами кипения около 5 000 оС, что должно приводить к значительному снижению интенсивности их спектральных линий и сlim. В связи с этим нами изучено влияние добавки графитового порошка на характер испарения определяемых элементов. Температуры кипения определяемых элементов, а также их оксидов, в виде которых они могут присутствовать в анализируемом оксиде алюминия, приведены в табл. 1. Видно, что температуры кипения составляют около 4 000 оС.
На рис. 1а, 1б приведены кривые испарения Mo и Si из оксида алюминия без добавок, с графитовым порошком, и в присутствии графитового порошка с фторидом цинка. Из рисунка видно, что смешивание оксида алюминия с графитовым порошком приводит к значительному уменьшению интенсивности спектральных линий (кривая 2), что нельзя объяснить лишь разбавлением графитом, так как концентрация последнего в оксиде алюминия составляет всего 30 мас. %. Вероятно, это происходит за счет образования труднолетучих карбидов. И даже введение фторирующей добавки (кривая 3) практически не приводит к росту интенсивности линий, т. е. присутствие графитового порошка существенно снижает действие добавки фторида. Аналогичные зависимости получены и для остальных примесных элементов.
Значительный рост интенсивности спектральных линий труднолетучих элементов происходит лишь в присутствии фторирующей добавки, но в отсутствие графитового порошка (рис. 2а, 2б).
Таким образом, добавление графитового порошка при определении труднолетучих элементов в оксиде алюминия нецелесообразно. Более перспективно применение фторирующих добавок в отсутствие графитового порошка.
Таблица 1. Температуры кипения труднолетучих металлов и оксидов, а также потенциалы ионизации (Vi) исследуемых элементов-примесей и длины волн спектральных линий, используемые для их определения
Элемент | λ, нм | Ткип МexOy, oC | Ткип Мe, oC | Vi, эВ |
B | 249.772 | 1 860 | 3 865 | 8.29 |
Be | 313.042 | 4 120 | 2 970 | 9.32 |
Cr | 302.156 | 4 000 | 3 800 | 6.76 |
Hf | 277.335 | 5 400 | 4 600 | 6.82 |
Mo | 315.82 | 1 200 | 4 639 | 7.10 |
Si | 288.160 | 2 950 | 2 355 | 8.15 |
Ti | 307.865 | 2 972 | 3 560 | 6.84 |
V | 310.229 | 2 030 | 3 650 | 6.74 |
Рис. 1. Кривые испарения Mo (а) и Si (б) из оксида алюминия без добавок (1) и в присутствии добавок: 2 –30 мас. % графитового порошка, 3–30 мас. % графитового порошка + 15 мас. % ZnF2.
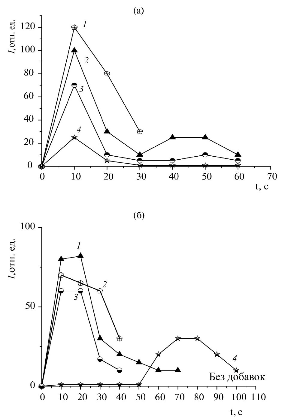
Рис. 2. Кривые испарения Ti (а) и Hf (б) из оксида алюминия в присутствии добавок: 1–15 мас. % ZnF2, 2–15 мас. % AlF3, 3–20 мас. % AgF и без добавок (4).
На рис. 2а, 2б приведены кривые испарения титана и гафния из кратера электрода дуги постоянного тока в присутствии всех исследованных добавок. Аналогичным образом выглядят кривые испарения в присутствии оптимальных количеств добавок и без добавки и для остальных изученных элементов. Оптимальное количество каждой добавки находили путем изучения зависимости интенсивности спектральных линий определяемых элементов от содержания добавки в оксиде алюминия. Для AlF3 и ZnF2 оно составило 15, а для AgF – 20 мас. %. Из рис. 2 видно, что все изучаемые фторсодержащие добавки способствуют более быстрому испарению труднолетучих элементов из кратера электрода. Если без добавки их основное испарение начинается только после 40 с, то в присутствии добавок оно происходит в течение первых 30 с горения дуги. Все исследуемые добавки способствуют также значительному росту интенсивности спектральных линий определяемых элементов. Максимальный рост интенсивности наблюдается в присутствии фторида цинка. Объяснить это можно, очевидно, следующим образом. Эффективная температура плазмы дуги (Тэф) при анализе оксида алюминия в атмосфере воздуха (Vi алюминия равен 5.98 эВ) составляет 5 900 оС [25]. Оптимальная температура плазмы (Топт) для возбуждения выбранных атомных спектральных линий исследуемых элементов, рассчитанная по предложенной в работе [26] формуле, составляет 5 600–5 800 оС. Известно [27], что введение в плазму дуги, горящую в атмосфере воздуха, элементов с низким Vi (5–6 эВ) вызывает снижение эффективной температуры плазмы дуги. При этом снижение температуры плазмы тем больше, чем ниже Vi вводимого элемента и больше его концентрация в столбе дуги. Введение в дугу элементов с высокими Vi (около 10 эВ) практически не влияет на эффективную температуру столба дуги. Следовательно, введение добавки ZnF2 (Vi цинка 9.393 эВ) в алюминиевую дугу не приводит к изменению ее эффективной температуры и она остается близкой к величинам Топт для возбуждения атомных спектральных линий определяемых в оксиде алюминия элементов. Использование добавок AlF3 (Vi алюминия 5.98 эВ) и AgF (Vi серебра 7.57 эВ) может вызывать снижение температуры плазмы дуги. Таким образом, значительное уменьшение времени полного испарения элементов-примесей из кратера электрода дуги и значительный рост интенсивности их спектральных линий в присутствии всех исследуемых добавок обусловлен образованием легколетучих фторидов.
Рис. 3. Характер испарения элемента-основы алюминия из кратера электрода дуги без добавки (1) и в присутствии ZnF2 (2), а также элемента-примеси бора (3).
Установили, что использование добавки ZnF2 способствует не только росту интенсивности спектральных линий определяемых труднолетучих элементов и ускорению их испарения из кратера электрода, но и предотвращает образование расплава в кратере электрода в первые 30 с горения дуги, что способствует улучшению сходимости результатов определений. На рис. 3 приведены кривые испарения элемента-основы алюминия без добавки и в присутствии добавки ZnF2, а также кривая испарения элемента-примеси бора. Видно, что без добавки интенсивное поступление алюминия в плазму дуги начинается с первых секунд горения дуги (кривая 1), а в присутствии добавки – лишь после 40-й секунды (кривая 2), т. е. после испарения образовавшихся фторидов определяемых элементов (кривая 3). Таким образом, введение фторида цинка способствует фракционному испарению определяемых элементов-примесей по отношению к испарению основы и, следовательно, улучшению сходимости результатов определения и снижению сlim исследуемых труднолетучих элементов. В табл. 2 приведены значения сlim изученных труднолетучих элементов-примесей, а также сходимость результатов их определения в оксиде алюминия в присутствии и в отсутствие добавки ZnF2. Величину сlim оценивали по содержанию, соответствующему нижней точке градуировочного графика, найденному с приемлемой точностью [28]. Из табл. 2 видно, что использование фторида цинка приводит не только к снижению сlim труднолетучих элементов на полтора–два порядка, но и к улучшению сходимости результатов их определения. Правильность результатов определения труднолетучих элементов-примесей в присутствии ZnF2 проверяли методом введено–найдено (табл. 3). Полученные результаты свидетельствуют об отсутствии значимых различий между введенными и найденными содержаниями для всех определяемых элементов.
Таблица 2. Пределы определения (сlim) и сходимость результатов определения (sr) труднолетучих элементов в оксиде алюминия в присутствии добавки 15 мас. % ZnF2 и без добавки (n = 15, P = 0.95)
Элемент | clim, мас. % | sr | ||
без добавки | с ZnF2 | без добавки | с ZnF2 | |
B | 1×10-3 | 3×10-5 | 0.19 | 0.13 |
Be | 7×10-4 | 2×10-5 | 0.18 | 0.12 |
Cr | 1×10-3 | 3×10-5 | 0.18 | 0.12 |
Hf | 5×10-2 | 8×10-4 | 0.20 | 0.14 |
Mo | 1×10-3 | 5×10-5 | 0.18 | 0.12 |
Si | 5×10-4 | 3×10-5 | 0.22 | 0.14 |
Ti | 5×10-3 | 2×10-5 | 0.19 | 0.13 |
V | 7×10-4 | 2×10-5 | 0.20 | 0.12 |
Таблица 3. Проверка правильности определения труднолетучих элементов в оксиде алюминия в присутствии добавки ZnF2 дуговым атомно-эмиссионным методом (n = 4, Р = 0.95)
Элемент | Введено, мас. % | Найдено, мас. % | sr |
B | 1.0×10-4 | (1.1±0.2)×10-4 | 0.13 |
Be | 1.0×10-4 | (0.9±0.2)×10-4 | 0.12 |
Cr | 1.0×10-4 | (1.1±0.2)×10-4 | 0.12 |
Hf | 1.0×10-3 | (1.1±0.3)×10-3 | 0.14 |
Mo | 1.0×10-4 | (1.0±0.2)×10-4 | 0.12 |
Si | 1.0×10-4 | (1.2±0.3)×10-4 | 0.14 |
Ti | 1.0×10-4 | (0.9±0.2)×10-4 | 0.13 |
V | 1.0×10-4 | (1.0±0.2)×10-4 | 0.12 |
* * *
Таким образом, в результате изучения поведения труднолетучих элементов В, Be, Cr, Hf, Mo, Si, Ti и V в присутствии фторсодержащих добавок AlF3, AgF и ZnF2 в дуге постоянного тока при АЭА высокочистых алюминия и его оксида показано, что в присутствии этих добавок происходит существенный рост интенсивности спектральных линий и уменьшение времени полного испарения определяемых элементов из электрода, что свидетельствует об образовании их легколетучих фторидов. При этом наиболее эффективна добавка 15 мас. % ZnF2. Использование ZnF2 способствует фракционному испарению труднолетучих элементов-примесей по отношению к матричному элементу в плазму дуги, что позволяет снизить сlim труднолетучих элементов в оксиде алюминия на полтора–два порядка. Кроме того, введение фторида цинка предотвращает образование в кратере электрода расплава оксида алюминия, что способствует улучшению сходимости результатов определения элементов-примесей.
Работа выполнена в рамках Госзадания № 075-01304-23-00.
Об авторах
Н. И. Золотарева
Институт проблем технологии микроэлектроники и особочистых материалов Российской академии наук
Автор, ответственный за переписку.
Email: zol@iptm.ru
Россия, ул. Академика Осипьяна, 6, Черноголовка, Московская обл., 142432
С. С. Гражулене
Институт проблем технологии микроэлектроники и особочистых материалов Российской академии наук
Email: zol@iptm.ru
Россия, ул. Академика Осипьяна, 6, Черноголовка, Московская обл., 142432
Список литературы
- Зверев Г.М. Лазеры на алюмоиттриевом гранате с неодимом. М.: Радио и связь, 1985. 144 с.
- Yagi H., Bisson J.F., Ueda K., Yanagitani T. Y3Al5O12 ceramic absorbers for the suppression of parasitic oscillation in high-power Nd: YAG lasers // J. Lumin. 2006. V. 21. P. 88.
- Евдокимов И.И., Пименов В.Г. Определение примесей в оптической керамике и ее прекурсорах методами атомной спектрометрии // Вестн. Нижегор. ун-та им. Н.И. Лобачевского. 2013. №4(1). С. 98.
- Карабаш А.Г., Пейзулаев Ш.И., Слюсарева Р.Л., Мешкова В.М. Химико-спектральный метод анализа алюминия высокой чистоты // Журн. аналит. химии. 1959. Т. 14. № 5. С. 598.
- Дегтярева О.Ф., Синицына Л.Г., Проскурякова А.Е. Спектральный анализ алюминия высокой чистоты // Журн. аналит. химии. 1963. Т. 88. № 4. С. 510.
- Морошкина T.M., Мельников Ю.А. Повышение чувствительности спектрального определения микропримесей в окиси алюминия // Заводск. лаборатория. 1969. Т. 35. № 6. С. 679.
- Ильченко О.П., Золотовицкая Э.С. Атомно-эмиссионное спектрографическое определение микропримесей в монокристаллических подложках для ВТСП-пленок // Высокочистые вещества. 1992. № 4. С. 132.
- Красильщик В.З., Воропаев Е.И. Использование метода сканируемого электрода при спектральном анализе окиси алюминия // Заводск. лаборатория. Диагностика материалов. 1980. Т. 46. № 12. С. 1105.
- Золотовицкая Э.С., Штительман З.В., Ильченко И.П., Бланк А.Б. Атомно-эмиссионный спектральный анализ оксида алюминия с применением дугового аргонового плазматрона // Журн. аналит. химии. 1997. Т. 52. № 11. С. 1213.
- Евдокимов И.И., Пименов В.Г. Атомно-эмиссионный анализ нанопорошков оксида иттрия и алюмоиттриевого граната, легированных неодимом // Заводск. лаборатория. Диагностика материалов. 2012. Т. 78. № 7. С. 3.
- Евдокимов И.И., Пименов В.Г. Концентрирование примесей экстракцией матрицы для АЭС-ИСП анализа оксида неодима, оксида иттрия и нанопорошка алюмоиттриевого граната, легированных неодимом / Матер. III Всерос. симп. с междунар. участием “Разделение и концентрирование в аналитической химии и радиохимии”. Краснодар. 2011. С. 111.
- Khvostikov V.A., Karandashev V.K., Burmii Zh.P. Analysis of α-alumina samples by mass spectrometry with inductively coupled plasma and laser ablation // Inorg. Mater. 2015. V. 51. № . 14. P. 1418.
- Никитина О.Н., Зильберштейн Х.И. К вопросу о повышении чувствительности прямого спектрального определения примесей в чистой окиси алюминия // Труды по химии и химической технологии. 1969. № 3. С. 79.
- Русанов А.К. Основы количественного анализа руд и минералов. М.: Недра, 1978. 400 с.
- Фришберг А.А. Повышение чувствительности определения при помощи химически активных носителей // Журн. прикл. спектроскопии.1965. Т. 3. № 2. С. 187.
- Карякин А.В., Штепа Е.В. Влияние катиона добавки на интенсивность спектральных линий микроэлементов в атомно-эмиссионном спектральном анализе // Журн. прикл. спектроскопии. 1991. Т. 54. № 1. С. 18. (Karyakin A.V., Shtepa L.P Influence of carrier cations on the intensity of spectral lines of microelements in atomic-emission spectral analysis // J. Appl. Spectrosc. 1991. V. 54. № 1. P. 10.)
- Швангирадзе Р.Р., Высокова И.Л., Мозговая Т.А., Петрова О.А. Спектральное определение микропримесей в порошковых материалах // Заводск. лаборатория. Диагностика материалов. 1972. Т. 38. № 4. С. 384.
- Карякин A.B., Павленко Л.И., Бабичева Г.Г. Спектральное определение микропримесей в хлориде алюминия // Журн. аналит. химии. 1971. Т. 26. № 7. С. 1344.
- Лейкин С.В., Орлова В.А. Определение титана, циркония, молибдена и ванадия в высокочистом оксиде алюминия α-модификации // Высокочистые вещества. 1990. № 3. С. 189.
- Домбровская М.А., Лисиенко Д.Г., Гильмуллина Ч.Г., Кубрина Е.Д. Совершенствование атомно-эмиссионной методики анализа графитового коллектора // Заводск. лаборатория. Диагностика материалов. 2017. Т. 83. № 1. Ч. II. С. 51.
- Золотарева Н.И., Гражулене С.С. Использование химически активных добавок для повышения чувствительности определения редкоземельных элементов и тория дуговым атомно-эмиссионным методом. // Заводск. лаборатория. Диагностика материалов. 2011. Т. 77. № 9. С. 11.
- Золотарева Н.И., Гражулене С.С. Использование химически активных добавок для определения бора в графите дуговым атомно-эмиссионным методом анализа // Журн. аналит. химии. 2021. Т. 76. № 2. С. 124. (Zolotareva N.I., Grazhulene S.S. Using chemically active additives for the arc atomic emission determination of boron in graphite // J. Anal. Chem. 2021. V. 76. № . 2. P. 183.)
- Верятин У.Д., Маширев В.П. Термодинамические свойства неорганичесих веществ. М.: Атомиздат, 1965. С. 54.
- Бурмий Ж.П., Золотарева Н.И., Хвостиков В.А., Гражулене С.С. Фотоэлектрическая регистрация эмиссионных спектров на основе приборов с зарядовой связью // Заводск. лаборатория. Диагностика материалов. 2008. Т. 74. № 6. С. 26.
- Зильберштейн Х.И. Спектральный анализ чистых веществ. Л.: Химия, 1971. С. 105.
- Гольдфарб В.М., Ильина Е.В. О зависимости интенсивности спектральных линий от состава плазмы дуги постоянного тока / Прикладная спектроскопия. М.: Наука, 1969. Т. 1. С. 172.
- Зайдель А.Н., Калитеевский Н.И., Липис Л.В., Чайка М.П. Эмиссионный спектральный анализ атомных материалов. М.: Физматгиз, 1960. 686 с.
- Экспериандова Л.П., Беликов К.Н., Химченко С.В., Бланк Т.А. Еще раз о пределах обнаружения и определения // Журн. аналит. химии. 2010. Т. 65. № 3. С. 229. (Eksperiandova L.P., Belikov K.N., Khimchenko S.V., Blank T.A. Once again about determination and detection limits // J. Anal. Chem. 2010. V. 65. № 3. P. 223.)
Дополнительные файлы






