A voltammetric sensor based on carbon fiber paper modified with shungite and copper formazanate for the determination of lidocaine
- Authors: Bukharinova M.А.1, Stozhko N.Y.1, Fedorchenko T.G.2, Lipunova G.N.2, Shabrova E.V.1, Khamzina Е.I.1, Tarasov А.V.1
-
Affiliations:
- Ural State Economic University
- Postovskii Institute of Organic Synthesis, Ural Branch, Russian Academy of Sciences
- Issue: Vol 79, No 7 (2024)
- Pages: 702-715
- Section: Articles
- Submitted: 25.12.2024
- Accepted: 25.12.2024
- URL: https://journal-vniispk.ru/0044-4502/article/view/274411
- DOI: https://doi.org/10.31857/S0044450224070027
- EDN: https://elibrary.ru/TOTSNS
- ID: 274411
Cite item
Full Text
Abstract
A highly sensitive sensor based on carbon fiber paper modified with a shungite–copper formazanate composite is presented for the voltammetric determination of lidocaine. The synthesized organometallic complex, composite, and modified electrode are characterized by infrared spectroscopy, high-resolution mass spectrometry, elemental analysis, scanning electron microscopy, and cyclic and linear sweep voltammetry. The twofold increase in the current of the lidocaine oxidation peak on the modified electrode compared to the unmodified one is associated with the sensitizing effect of the composite modifier, which is due to an increase in the electroactive area and the number of lidocaine binding sites on the electrode surface. The sensor exhibits a wide dynamic range from 2 to 2120 µM with a low limit of detection of 0.18 µM lidocaine and high sensitivity of 0.755 µA/V µM. The interelectrode and intraelectrode repeatability of the analytical signal do not exceed 3.5%. The sensor response is stable within three weeks. The developed sensor was used for the determination of lidocaine in pharmaceuticals. The results of an analysis of real samples demonstrated good reproducibility (RSD ≤ 5.5%) and recovery (98–102%).
Full Text
Лидокаин является широко распространенным местным анестетиком амидного типа (схема 1). Он эффективен для уменьшения боли, связанной с хирургическими процедурами, в стоматологической, отоларингологической, офтальмологической, косметологической практиках. Лидокаин входит в состав многих анестезирующих кремов. Механизм действия лидокаина основан на блокировании передачи возбуждающих нервных импульсов в аксонах за счет уменьшения переноса ионов натрия через каналы нейронных мембран. Чрезмерное употребление лидокаина вызывает побочные эффекты со стороны сердечно-сосудистой и центральной нервной систем. Содержание лидокаина в плазме крови на уровне 5 мкг/мл (2.13 × 10−5 М) и выше оказывает токсический эффект [1, 2]. В связи с этим необходим мониторинг содержания лидокаина в биологических жидкостях и фармпрепаратах.
Схема 1. Структурная формула лидокаина.
Разработаны способы определения лидокаина как в индивидуальных растворах, так и в смеси с другими веществами методами спектрофотометрии, тонкослойной, газовой и высокоэффективной жидкостной хроматографии, капиллярного электрофореза. Спектрофотометрический метод не обеспечивает высокую селективность определения и используется чаще в качестве метода детектирования после хроматографического или электрофоретического разделения. Хроматографические методы отличаются селективностью определения лидокаина, но требуют больших материальных (сложное оборудование, реактивы) и временных затрат, высококвалифицированного персонала, использования токсичных растворителей и реагентов. Разделение методом капиллярного электрофореза предполагает использование хрупких тонких капилляров из плавленого кварца, в том числе с различными покрытиями. К простым и при этом высокочувствительным и селективным следует отнести электрохимические методы анализа, обладающие возможностью миниатюризации и проведения экспрессного анализа в режиме реального времени.
В электроанализе наиболее часто используют электроды из угольной пасты, толстопленочные углеродсодержащие электроды и стеклоуглеродные электроды. Совсем недавно стали применять углеволоконные материалы, в том числе углеволоконную бумагу для создания новых электродов/сенсоров [3–6]. Углеволоконную бумагу (англ. carbon fiber paper) иногда называют углеродной вуалью, подчеркивая ее полупрозрачность и тонкослойность, обусловленные значительно меньшей поверхностной плотностью (масса углеродных волокон на одном квадратном метре углеродной вуали, г/м2), чем у углеродных тканей и войлоков. Для улучшения аналитических, метрологических и эксплуатационных характеристик проводят модифицирование поверхности электродов различными функциональными материалами. К ним относятся разнообразные углеродные материалы, такие как оксид графена и восстановленный оксид графена [7], пористый углерод [8], полупроводниковые нанокристаллические сплавы [7], молекулярно-импринтированные полимеры [9], биметаллические частицы Pd−Pt [9], наночастицы CuO [10]. Модифицирование поверхности электродов обеспечивает увеличение количества реакционноспособных сайтов, улучшение электронно-транспортных, каталитических и электрохимических свойств. Разработанные к настоящему времени электрохимические сенсоры, несмотря на свои хорошие аналитические характеристики, имеют некоторые недостатки, чаще всего связанные с длительностью процесса изготовления модификатора, использованием вредных растворителей и высоких температур.
Перспективным модификатором электродной поверхности является природный наноструктурированный минерал шунгит. Основу шунгита составляет аморфная углеродная матрица, в которую вкраплены высокодисперсные кристаллические силикатные частицы. Основным элементом супрамолекулярной матрицы шунгита является глобула – многослойное образование размером до 10 нм с внутренними порами, состоящее из стопок дефектных нанолистов восстановленного оксида графена [11]. На поверхности шунгита обнаружены многочисленные функциональные группы: фенольные, спиртовые, эфирные, а также карбоксильные, карбонильные, серосодержащие и др. [12]. Эти группы придают шунгиту уникальные адсорбционные, каталитические свойства и делают его привлекательным для создания электрохимических сенсоров [13].
Металлорганические комплексы (МОК) – соединения, образованные катионами металлов и полифункциональными органическими лигандами посредством ковалентных координационных связей. Они имеют упорядоченную кристаллическую структуру и используются в качестве модификаторов рабочих электродов. Наличие у МОК координационно ненасыщенного металла обеспечивает активные центры для специфических взаимодействий с молекулами аналита. МОК обладают большой удельной площадью поверхности и настраиваемой пористостью, что способствует эффективному концентрированию целевых аналитов, увеличению электрохимического сигнала и повышению чувствительности измерений [14]. Свойства МОК можно регулировать путем выбора металла или органического фрагмента. Представляют интерес формазаны и их металлокомплексы (формазанаты). Соединения класса формазанов являются хелатирующими анионными π-сопряженными N-донорными лигандами. Как мультидентатные лиганды формазаны способны образовывать комплексные соединения с ионами металлов. На основе формазанов получают химические реагенты, химические и электрохимические сенсоры [15]. Широкое применение чистых МОК в электрохимических сенсорах ограничено недостаточно хорошей электронной проводимостью. Эта проблема решается сочетанием МОК с другими материалами и применением полученных композитов в сенсорах, например для определения трамадола [16], кетоконазола [17], опиоидов [18]. Анализ литературы показал, что на сегодняшний день не описаны сенсоры для определения лидокаина на основе углеволоконной бумаги в качестве электродной платформы, шунгита и МОК в качестве модификаторов поверхности.
Цель настоящей работы состояла в разработке простого и высокочувствительного сенсора на основе модифицированной шунгитом и формазанатом меди углеволоконной бумаги для определения лидокаина.
Экспериментальная часть
Реагенты и аппаратура. Комплекс меди (CuОК) с 1-(бензо[d]тиазол-2-ил)-3-(2-пиридил)-5-(4-метоксифенил)формазаном в качестве лиганда (L) синтезирован в Институте органического синтеза им. И.Я. Постовского Уральского отделения Российской академии наук. Реагенты для синтеза CuOK приобретали у Sigma-Aldrich (Дармштадт, Германия). В работе также использовали шунгит (Ш) дробленый (ООО “Шугге”, Петрозаводск, Россия), лидокаин (ЕМУП ГЦА, Екатеринбург), диметилсульфоксид (ЗАО НПО “Экрос”, Санкт-Петербург, Россия), уксусную кислоту (ООО “Невареактив”, Санкт-Петербург, Россия), борную кислоту (Самарская фармацевтическая фабрика, Чапаевск, Россия), фосфорную кислоту (ООО “Невареактив”, Санкт-Петербург, Россия), натрия гидроксид (ЗАО НПО “Экрос”, Санкт-Петербург, Россия), гексацианоферрат калия (АО “Реахим”, Россия), сульфат магния (АО “Химический завод им. Л.Я. Карпова”, Менделеевск, Россия), хлорид кальция (ООО “Невареактив”, Санкт-Петербург, Россия), сульфат натрия (АО “Реахим”, Россия), карбонат натрия (АО “Реахим”, Россия). Все реагенты были химически чистыми и применялись без дополнительной очистки. Рабочие растворы готовили с использованием деионизованной воды. Образцы фармпрепаратов (раствор для инъекций, капли, спрей для горла, анестезирующий гель) приобретали в аптечной сети.
Бумагу на основе углеродных волокон (Jiaxing Fu-Tech New Materials Co., Ltd., Китай) и полиэтилентерефталатную пленку (Fellowes Inc., Итаска, Иллинойс, США) использовали для изготовления рабочих электродов (УВЭ) с помощью ламинатора LM-260iD (Rayson Electrical MFG, Ltd., Фошань, Китай) в соответствии с технологией, описанной в работе [4]. Ультразвуковую ванну RH PS-40A (Shenzhen Codyson Electrical Co., Ltd., Гуандун, Китай) применяли для приготовления модифицирующей суспензии.
ИК-спектры поглощения комплекса CuOK регистрировали с помощью приставки DRA на спектрофотометре Spectrum One (Perkin Elmer, США). Масс-спектры записывали на приборе maXis impact HD (Bruker Daltonik GmbH, Германия). Элементный анализ проводили с помощью автоматического элементного анализатора CHNS РЕ 2400, серия II (Perkin Elmer Instruments, США). Температуры плавления определяли с помощью аппарата Stuart SMP3 (Barloworld Scientific Ltd, Великобритания). Ход реакции и чистоту полученных продуктов контролировали методом тонкослойной хроматографии на пластинках Sorbfil, элюент – хлороформ (АО “Экос-1”, Москва, Россия). Для микроскопических исследований использовали сканирующий электронный микроскоп (СЭМ) Jeol JSM-6490 LV (JEOL Ltd., Токио, Япония). Изображения получали при ускоряющем напряжении 20 кВ в режиме рассеянных электронов. Вольтамперометрический анализатор ИВА (Екатеринбург, Россия) с трехэлектродной ячейкой использовали для регистрации циклических и линейных вольтамперограмм. Ячейка состояла из хлоридсеребряного электрода сравнения ЭВЛ-1М3.1 (Ag/AgCl/KCl, 3.5 М) (ОАО “ГЗИП”, Гомель, Беларусь), углеродного стержня в качестве вспомогательного электрода и немодифицированного или модифицированного рабочего электрода, изготовленного на основе углеволоконной бумаги. Геометрические размеры рабочего электрода – 35 × 4 мм, геометрическая площадь рабочей области – 12 мм2. Для контроля рН фонового электролита использовали рН/иономер TA-Ion (“Томьаналит”, Россия). Для получения деионизованной воды применяли установку Аквалаб-УВОИ-М (НПК “Медиана-Фильтр АО”, Россия).
Методика эксперимента. Синтез формазаната меди. 1-(Бензо[d]тиазол-2-ил)-3-(2-пиридил)-5-(4-метоксифенил)-формазан (L) синтезировали по описанной ранее методике [19]. Формазаны являются NH-кислотами и легко образуют комплексы с ионами металлов [15]. Комплекс с медью синтезировали кипячением формазана с хлоридом меди(II) в ацетоне (схема 2).
Схема 2. Схема синтеза формазаната меди (CuОК).
К горячему раствору формазана L (0.5 г, 1.3 ммоль) в ацетоне добавляли горячий раствор хлорида меди (0.22 г, 1.3 ммоль) в смеси ацетона с водой. Нагревали 10 мин, образовавшийся осадок отфильтровывали, промывали водой, сушили. Выход продукта составил 66%. Полученный металлокомплекс (CuОК) представляет собой темно-синие кристаллы с температурой плавления 289–291°C.
Приготовление модифицированного электрода. В состав композитного модификатора (Ш-CuOK) входили водная суспензия шунгита (5 мг/мл), приготовленная под воздействием ультразвуковой обработки (40 кГц, 240 Вт) в течение 15 мин, и раствор CuOK (1 мг/мл), полученный путем растворения навески CuOK в диметилсульфоксиде. Соотношение компонентов в композите варьировали для получения наилучшего аналитического сигнала. Модифицирование УВЭ проводили методом капельного литья, электроды оставляли под лампой до полного высыхания. Полученный модифицированный электрод (Ш-CuOK-УВЭ) хранили при комнатной температуре.
Электрохимические измерения. Циклические и линейные вольтамперограммы регистрировали при скорости сканирования потенциала 50 мВ/с. Хроноамперограммы получали при потенциале 0.6 В. В качестве фонового электролита использовали универсальную буферную смесь (УБС), в состав которой входят фосфорная, уксусная, борная кислоты в концентрации 0.04 М каждая. Для получения УБС с необходимым значением рН к раствору смеси кислот добавляли определенный объем 0.2 М раствора NaOH. Образцы фармпрепаратов анализировали без дополнительной пробоподготовки с использованием оптимального разбавления, проводили пять повторных анализов. Статистическую обработку результатов выполняли при доверительной вероятности 0.95. Результаты представлены как среднее значение ± доверительный интервал. Предел обнаружения (ПО) рассчитывали по уравнению (1):
(1),
где s – стандартное отклонение аналитического сигнала минимальной концентрации лидокаина, b – наклон градуировочной зависимости.
Результаты и их обсуждение
Характеристика комплекса CuОК. Предполагаемую структуру комплекса CuOK определяли на основании данных ИК-спектроскопии, масс-спектрометрии высокого разрешения и данных элементного анализа. В ИК-спектре CuOK (рис. 1) обнаружены следующие характеристические полосы: широкая полоса с максимумом при 3394 (О−Н воды), 3058, 2836 (С−Н лиганда), полосы 1593, 1453, 1406, 1232, 1135, 1019, 835, 742, 644 см-1 характеризуют систему сопряженных связей С−С, C−N, N−N, C−O, C−S, N−Cu в комплексе.
Рис. 1. ИК-спектры формазаната меди (CuOK), шунгита (Ш) и композита Ш-CuOK.
Из данных масс-спектрометрии найдено, что m/z (m – масса иона, z – заряд иона) составляет 935.0331 и соответствует молекулярному иону [M]+. Вычислено, m/z: 935.0336 для состава C40H30N12O2S2ClCu2 (рис. 2). По результатам элементного анализа установлено, что в состав металлокомплекса CuОК входит 51.29% C, 3.20% H, 17.94% N и 3.77% Cl.
Рис. 2. Фрагмент масс-спектра комплекса CuOK, симулированный для состава C40H30N12O2S2ClCu2 и экспериментальный.
Из литературы известно [15], что гетарилформазаны с переходными металлами образуют внутрикомплексные соединения с октаэдрическим строением металл-хелатного узла, в котором катион металла связан с двумя анионными фрагментами формазана. В структуре CuОК также два аниона формазана (L−Н) связаны с Cu(II). Взаимодействие формазанов с солями меди, наряду с образованием комплекса, иногда сопровождается окислением части формазанов в соль тетразолия с восстановлением Cu(II) в Cu(I) [20]. Наличие метоксигруппы как сильного электронного донора в формазане способствует протеканию такого побочного процесса. В этом случае образующийся хлорид Cu(I) способен образовывать координационные связи по атому азота пиридинового и формазанового фрагментов, что приводит к возникновению структуры CuОК, представленной на схеме 2.
Микроскопические исследования. Как видно из рис. 3а, поверхность УВЭ представляет собой рыхлую структуру из углеродных волокон, переплетенных произвольным образом и соединенных между собой связующим. На СЭМ-изображении модифицированного УВЭ (рис. 3б) отчетливо видны равномерно распределенные на поверхности углеродных волокон мельчайшие белые пятна, представляющие собой частички композитного модификатора.
Рис. 3. СЭМ-изображения (а) немодифицированного электрода на основе углеволоконной бумаги (УВЭ) и (б) модифицированного Ш-CuОК/УВЭ. Ускоряющее напряжение 20 кВ в режиме рассеянных электронов.
Наличие CuОК на поверхности шунгита подтверждают данные ИК-спектров (рис. 1). Сравнение спектров шунгита и композита показывает, что в последнем, наряду с полосами, характерными для шунгита, обнаружены полосы в области 3000, 2915, 1435, 1405, 1315, 1111, 949, относящиеся к CuОК, но смещенные в низкочастотную область. Этот факт, с учетом электронодефицитного характера фуллереноподобной структуры углеродной составляющей шунгита, свидетельствует о прямых контактах между шунгитом и металлорганическим комплексом.
Выбор количества модификатора. Оптимальный состав композитного модификатора выбирали по величине тока пика окисления лидокаина (Iп). На рис. 4а приведена зависимость Iп от массовой доли CuOK в композитном модификаторе. Из зависимости Iп = f(ù(CuOK) (рис. 4а) видно, что при увеличении содержания металлорганического комплекса в композите до 1.04% происходит рост Iп. Содержание CuOK в композите свыше 1.04% приводит к спаду тока окисления лидокаина, что, вероятно, связано со снижением электропроводности модифицирующего слоя УВЭ. На рис. 4б приведена зависимость Iп от количества модифицирующих слоев, которая проходит через максимум, соответствующий двухслойному покрытию УВЭ композитным модификатором Ш-CuOK. В дальнейшем использовали двухслойное модифицирование при приготовлении рабочих электродов.
Рис. 4. Влияние (а) массовой доли комплекса CuOК в составе композитного модификатора и (б) количества слоев модификатора Ш-CuOK на углеволоконном электроде на сигнал 0.64 мМ лидокаина. Фон: универсальный буферный раствор с рН 8.
Электрохимические исследования. Электроактивную площадь поверхности УВЭ и модифицированного Ш-CuОК/УВЭ оценивали с использованием стандартного редокс-зонда K4[Fe(CN)6] и методов циклической вольтамперометрии и хроноамперометрии. Как видно из рис. 5а, окисление 1 мМ K4[Fe(CN)6] протекает необратимо, что подтверждается большой разностью потенциалов 0.42 В между анодным и катодным пиками. Максимальный ток окисления K4[Fe(CN)6] на 35% больше на Ш-CuОК/УВЭ по сравнению с немодифицированным УВЭ.
Рис. 5. (а) Циклические вольтамперограммы 1 мМ раствора K4[Fe(CN)6], зарегистрированные в 0.1 М KCl с использованием немодифицированного углеволоконного электрода (УВЭ) и модифицированного Ш-CuOК/УВЭ. (б) Хроноамперограммы 1 мМ раствора K4[Fe(CN)6], зарегистрированные при Е = 0.6 В на разных электродах. Вставка: зависимость I = f(t-1/2), полученная из хроноамперометрических измерений для разных электродов.
Величины электроактивной площади УВЭ и Ш-CuОК/УВЭ рассчитывали с помощью хроноамперограмм, зарегистрированных при Е = 0.6 В (рис. 5б), и уравнения Коттрелла. Для УВЭ рассчитанная площадь составила 13.1 мм2, для Ш-CuОК/УВЭ – 24.4 мм2. Модифицирование УВЭ привело к возрастанию электроактивной площади в 1.9 раза за счет большой удельной поверхности шунгита.
Электрохимическое поведение лидокаина на углеволоконных электродах. Циклические вольтамперограммы 0.64 мМ раствора лидокаина в УБС с рН 8, зарегистрированные на разных углеволоконных электродах, представлены на рис. 6. Наименьший ток пика окисления лидокаина наблюдается на немодифицированном УВЭ при 1.06 В (рис. 6, кривая 1). Модифицирование поверхности УВЭ формазанатом меди приводит к возрастанию Iп в 1.3 раза по сравнению с немодифицированным электродом (рис. 6, кривая 2). Вероятнее всего, это связано с возникновением контакта между лидокаином и формазанатом меди за счет взаимодействия неподеленной электронной пары атома азота диэтиламиногруппы с Cu(I), что увеличивает концентрацию лидокаина на поверхности электрода и приводит к возрастанию тока [21]. Модифицирование УВЭ шунгитом увеличивает ток окисления лидокаина в 1.5 раза по сравнению с немодифицированным электродом (рис. 6, кривая 3). Возрастание тока лидокаина на Ш/УВЭ может быть обусловлено увеличением электроактивной площади поверхности, с одной стороны, и концентрированием лидокаина на электроде за счет образования межмолекулярных водородных связей между атомом азота диэтиламиногруппы или атомом водорода амидной группы лидокаина и функциональными группами шунгита, такими как карбоксильные и карбонильные, с другой стороны. На модифицированном Ш-CuОК/УВЭ ток окисления лидокаина (рис. 6, кривая 4) увеличивается в два раза и смещается на 20 мВ в катодную сторону относительно тока на немодифицированном электроде. Эти факты можно объяснить дополнительным увеличением концентрации лидокаина на поверхности электрода за счет его координации, обусловленной образованием связей донорно-акцепторного типа между атомом азота диэтиламиногруппы и ненасыщенным атомом меди в структуре CuОК (схема 3). Координация лидокаина с CuOK приводит к ослаблению связей вблизи координационного центра, что вызывает облегчение процесса окисления лидокаина и сдвиг его сигнала в катодную область.
Рис. 6. Циклические вольтамперограммы 0.64 мМ раствора лидокаина на разных электродах: 1 ‒ УВЭ, 2 ‒ CuOК/УВЭ, 3 ‒ Ш/УВЭ, 4 ‒ Ш-CuOК/УВЭ. Фон: универсальный буферный раствор с рН 8, ν = 50 мВ/с.
Схема 3. Предполагаемая структура комплекса лидокаин–СuOK.
Влияние рН. Методом циклической вольтамперометрии изучено влияние pH УБС в диапазоне от 6.5 до 9.6 на вольт-амперные характеристики лидокаина. Потенциал пика (Еп) окисления лидокаина сдвигается к менее анодным потенциалам с увеличением рН (рис. 7а), что свидетельствует об участии протонов в электродной реакции. Наклон зависимости Еп от рН (рис. 7б) составил 49 мВ/рН, что указывает на равное число протонов и электронов, участвующих в электродной реакции окисления лидокаина [22]. Отсутствие катодных пиков подтверждает необратимость окисления лидокаина во всем диапазоне рН. Ток окисления лидокаина растет с увеличением рН УБС от 6.5 до 8.0. При значении рН УБС выше 8.0 ток окисления лидокаина увеличивается более резко и достигает максимума при рН 9.0. При рН 8–9 в растворе преобладает депротонированная по амидной группе форма лидокаина, которая дополнительно способствует взаимодействию лидокаина с CuOК по типу N–Cu с участием атома азота амидной группы в анионной форме и накоплению его на поверхности электрода [10]. При рН > 9 усиливаются процессы гидролиза амидной группы лидокаина с образованием слаборастворимых в воде продуктов [23], что вызывает падение тока (рис. 7в). Для дальнейших исследований выбрали фоновый раствор с рН 9.0, обеспечивающий наибольший ток окисления лидокаина.
Рис. 7. (а) Циклические вольтамперограммы 0.64 мМ раствора лидокаина, зарегистрированные на Ш-CuOК/УВЭ в универсальном буферном растворе с рН 6.5, 7.0, 7.5, 8.0, 8.3, 8.8, 9.0, 9.6, ν = 50 мВ/с; (б) влияние рН универсального буферного раствора на потенциал пика окисления 0.64 мМ раствора лидокаина; (в) зависимость максимального тока 0.64 мМ раствора лидокаина от рН универсального буферного раствора.
Влияние скорости сканирования потенциала. Для исследования особенностей процесса электроокисления лидокаина зарегистрировали вольтамперограммы с линейным сканированием потенциала в диапазоне от 0.2 до 1.3 В при различных скоростях сканирования от 50 до 300 мВ/с (рис. 8) и получили зависимости тока и потенциала от скорости сканирования потенциала.
Рис. 8. Линейные вольтамперограммы с коррекцией базовой линии 0.32 мМ раствора лидокаина в универсальном буферном растворе с рН 9 при скорости развертки потенциала 50, 75, 100, 125, 150, 175, 200, 250, 300 мВ/с.
Линейная зависимость между током пика окисления (Iп) лидокаина и скоростью сканирования потенциала описывается уравнением:
(2)
и является характерной для поверхностно контролируемых процессов, что согласуется с данными [9, 24].
Увеличение скорости сканирования в диапазоне от 50 до 300 мВ/с сопровождается сдвигом потенциала пика в анодную область в соответствии с уравнением:
, (3)
что свидетельствует о необратимости электрохимической реакции. Число электронов электродного процесса, рассчитанное с использованием наклона зависимости Еп от lgn и уравнения Лавирона, составило 1.8, что указывает на перенос двух электронов и согласуется с данными, приведенными в более ранних исследованиях [24, 25].
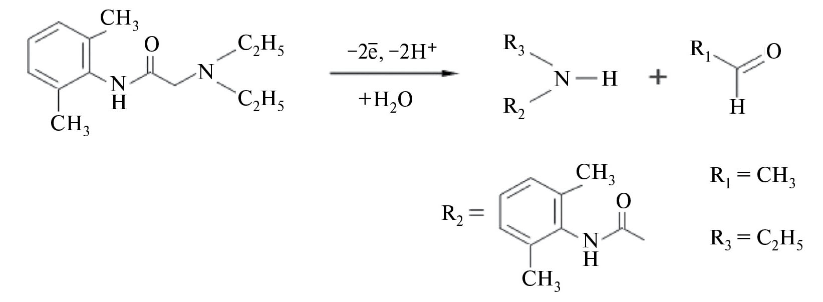
Электроактивными центрами в молекуле лидокаина являются третичный атом азота с алкильными заместителями и амидная группа. Рахбар и соавт. [25] убедительно показали, что электрохимическое окисление молекулы лидокаина происходит с большей вероятностью по аминогруппе, чем по амидной. Нури-Нигже и соавт. [26] предположили, что окисление лидокаина на аноде протекает по диэтиламиногруппе с отщеплением электронов через возможное образование катион-радикала, иминиевого промежуточного продукта с последующим N-деалкилированием. Подобный механизм, вероятно, имеет место и в нашем случае (схема 4).
Схема 4. Предполагаемый механизм окисления лидокаина на Ш-CuOK/УВЭ.
Химическое и электрохимическое окисление аминов с участием двух электронов и двух протонов, сопровождающееся N-деалкилированием, описано и другими авторами [24, 25, 27]. Конечными продуктами такой трансформации являются N-деалкилированный амин и альдегид.
Аналитические и эксплуатационные характеристики сенсора. Для оценки аналитических характеристик разработанного сенсора регистрировали линейные вольтамперограммы лидокаина в режиме производных (dI/dE), обеспечивающем бóльшую чувствительность и разрешающую способность метода. На рис. 9 представлены производные вольтамперограммы при разной концентрации лидокаина в растворе. Ток, регистрируемый при Е = 1.05 В, линейно зависит от концентрации лидокаина в растворе (вставка на рис. 9), что позволяет считать его аналитическим сигналом. Прямо пропорциональная зависимость между аналитическим сигналом и концентрацией лидокаина в диапазоне от 2 до 2120 мкМ описывается уравнением:
. (4)
Из уравнения (4) следует, что чувствительность сенсора составляет 0.755 мкА/В×мкМ. Предел обнаружения, рассчитанный по формуле (1), равен 0.18 мкМ. Сравнение аналитических характеристик разработанного и описанных ранее сенсоров для определения лидокаина в фармпрепаратах приведено в табл. 1. Разработанный сенсор характеризуется широким диапазоном определяемых концентраций и более низким пределом определения лидокаина по сравнению с другими сенсорами.
Рис. 9. Производные вольтамперограмм, зарегистрированные на Ш-CuOK/УВЭ при разных концентрациях лидокаина. Вставка: зависимость аналитического сигнала от концентрации лидокаина в растворе.
Таблица 1. Аналитические характеристики сенсоров для определения лидокаина в фармпрепаратах
Электрод | ПО, мкМ | ЛД, мкМ | Метод | Реальный образец | Литература |
CuO-УПЭ | 0.39 | 1–2500 | КвВ | Гель, раствор для инъекции | [10] |
С18 SiO2-УПЭ | 2.19 | 7.94–107 | КвВ | Фармпрепараты | [22] |
УПЭ | 0.29 | 8–1000 | КвВ | Фармпепараты | [25] |
BDD | 42.7 | 24.2–114 | КвВ | Фармпепараты | [28] |
Ш-CuОК/УВЭ | 0.18 | 2–2120 | ЛВ | Раствор для инъекции, капли, спрей, анестезирующий гель | Настоящая работа |
Обозначения: ЛД – линейный диапазон; BDD – алмазные электроды, легированные бором; УПЭ – угольно-пастовый электрод; КвВ – квадратно-волновая вольтамперометрия; ЛВ – линейная вольтамперометрия.
Межэлектродную повторяемость проверяли путем регистрации вольтамперометрического сигнала 0.64 мМ раствора лидокаина на восьми разных электродах. Относительное стандартное отклонение (sr) составило 3.3%. Внутриэлектродная повторяемость, которую оценивали по восьми измерениям сигнала 0.64 мМ раствора лидокаина на одном и том же электроде, составила 3.5%. Электрод стабилен при хранении на воздухе в течение трех недель. Величина сигнала к концу третьей недели снизилась на 5%.
Исследовали влияние мешающих ионов (Na+, Mg2+, Ca2+, Cl−, SO42−, СО32−) на сигнал 50 мкМ лидокаина. Установили, что отклик лидокаина в присутствии 200-кратного избытка Na+, СО32−, 250-кратного избытка Mg2+ и SO42−, 500-кратного избытка Ca2+ и Cl− остается на уровне 98.7% относительно исходного сигнала.
Разработанный сенсор применили для определения лидокаина в фармацевтических препаратах. Для доказательства правильности определения лидокаина с использованием разработанного сенсора в образцы вносили добавку стандартного раствора лидокаина. Результаты определения лидокаина в фармацевтических препаратах с использованием метода введено–найдено представлены в табл. 2. Показатель правильности (ПП), рассчитанный в соответствии с рекомендациям ИЮПАК [29], находится в диапазоне от 95 до 105%, что свидетельствует об отсутствии систематической погрешности. Относительное стандартное отклонение полученных результатов не превышает 5.5%.
Таблица 2. Результаты оценки показателя правильности определения лидокаина в фармацевтических образцах по методу введено–найдено с использованием Ш-CuОК/УВЭ (n = 5, Р = 0.95)
Образец | Введено, мкМ | Найдено, мкМ | sr, % | ПП, % |
Раствор для инъекций | 0 | 40 ± 4 | 4.6 | – |
50 | 91 ± 8 | 3.4 | 102 | |
Капли | 0 | 47 ± 6 | 5.5 | – |
50 | 97 ± 12 | 5.2 | 100 | |
Спрей для горла | 0 | 6.7 ± 0.5 | 3.1 | – |
25 | 32 ± 1 | 1.9 | 101 | |
Анестезирующий гель | 0 | 5.5 ± 0.3 | 1.8 | – |
25 | 30 ± 3 | 3.6 | 98 |
***
Таким образом, разработан планарный сенсор на основе трехмерной углеволоконной бумаги, модифицированной шунгитом и металлорганическим комплексом. Сенсор показал высокочувствительную и избирательную реакцию на лидокаин, отличную воспроизводимость, правильность и стабильность результатов измерений. Сенсор способен обеспечить быстрое, прямое и экономичное определение лидокаина в фармпрепаратах. По сравнению с другими электрохимическими сенсорами, предназначенными для определения лидокаина в фармпрепаратах, разработанный сенсор характеризуется более низким пределом определения, широким диапазоном определяемых концентраций и может применяться для разовых анализов. Конструктивные особенности (миниатюрность, планарность, простота) сенсора позволяют использовать его как элемент портативных, мобильных приборных устройств.
Финансирование работы
Синтез комплекса осуществлен при финансовой поддержке Минобрнауки РФ в рамках госзадания “Разработка современных методов “зеленой” химии для конструирования органических соединений как платформы для практически полезных веществ” (регистрационный номер 124020200072-0).
Конфликт интересов
Авторы данной работы заявляют, что у них нет конфликта интересов.
About the authors
M. А. Bukharinova
Ural State Economic University
Email: sny@usue.ru
Russian Federation, 620144, Yekaterinburg
N. Yu. Stozhko
Ural State Economic University
Author for correspondence.
Email: sny@usue.ru
Russian Federation, 620144, Yekaterinburg
T. G. Fedorchenko
Postovskii Institute of Organic Synthesis, Ural Branch, Russian Academy of Sciences
Email: sny@usue.ru
Russian Federation, 620990, Yekaterinburg
G. N. Lipunova
Postovskii Institute of Organic Synthesis, Ural Branch, Russian Academy of Sciences
Email: sny@usue.ru
Russian Federation, 620990, Yekaterinburg
E. V. Shabrova
Ural State Economic University
Email: sny@usue.ru
Russian Federation, 620144, Yekaterinburg
Е. I. Khamzina
Ural State Economic University
Email: sny@usue.ru
Russian Federation, 620144, Yekaterinburg
А. V. Tarasov
Ural State Economic University
Email: sny@usue.ru
Russian Federation, 620144, Yekaterinburgс
References
- Фелькер Е.Ю., Заболотский Д.В., Корячкин В.А., Малашенко Н.С., Колосов А.О., Горбачева Т.В. Эффективность и безопасность внутривенной инфузии лидокаина у детей // Анестезиология и реаниматология. 2021. № 2. C. 50.
- Leung Y.L. Lidocaine. Encyclopedia of Toxicology. 3rd Ed. Academic Press, 2014. P. 71.
- Stozhko N.Yu., Bukharinova M.A., Khamzina E.I., Tarasov A.V., Sokolkov S.V. Film carbon veil-based electrode modified with Triton X-100 for nitrite determination // Chemosensors. 2020. V. 8. Article 78.
- Brainina Kh.Z., Bukharinova M.A., Stozhko N.Yu., Sokolkov S.V., Tarasov A.V., Vidrevich M.B. Electrochemical sensor based on a carbon veil modified by phytosynthesized gold nanoparticles for determination of ascorbic acid // Sensors. 2020. V. 12. Article 1800.
- Stozhko N.Yu., Khamzina E.I., Bukharinova M.A., Tarasov A.V. A novel voltammetricsensor based on carbon paper modified by graphite powder for determination of sunset yellow and tartrazine in drinks // Sensors. 2022. V. 22. Article 4092.
- Stozhko N.Yu., Khamzina E.I., Bukharinova M.A., Tarasov A.V., Kolotygina V.Yu., Lakiza N.V., Kuznetcova E.D. Carbon paper modified with functionalized poly(diallyldimethylammonium chloride) graphene and gold phytonanoparticles as a promising sensing material: Characterization and electroanalysis of Ponceau 4R in food samples // Nanomaterials. 2022. V. 12. Article 4197.
- Matos C.R.S., Souza Jr H.O., Santana T.B.S., Candido L.P.M., Cunha F.G.C., Sussuchi E.M., Gimenez I.F. Cd1-xMgxTe semiconductor nanocrystal alloys: Synthesis preparation of nanocomposites with graphene-based materials , and electrochemical detection of lidocaine and epinephrine // Microchim. Acta. 2017. V. 184. P. 1755.
- Zhang J., Liu J., Zhang Y., Yu F., Wang F., Peng Z., Li Y. Voltammetric lidocaine sensor by using a glassy carbon electrode modified with porous carbon prepared from a MOF, and with a molecularly imprinted polymer // Microchim. Acta. 2018. V. 185. Article 78.
- Yang G., Zhao F. A novel electrochemical sensor for the determination of lidocaine based on surface-imprinting on porous three-dimensional film // J. Mater. Chem. C. 2014. V. 2. P. 10201.
- Rahbar N., Ramezani Z., Ghanavati J. CuO-nanoparticles modified carbon paste electrode for square wave voltammetric determination of lidocaine: Comparing classical and Box–Behnken optimization methodologies // Chin. Chem. Lett. 2016. V. 27. P. 837.
- Alham A., Ibraimov A., Alimzhanova M. Mamedova M. Natural material shungite as solid-phase extraction sorbent for the extraction of red synthetic dye Ponceau 4R from tap water, wine, and juice // Food Anal. Methods. 2022. V. 15. P. 707.
- Diyuk V.E., Ishchenko O.V., Loginova O.B., Melnik L.M., Kisterska L.D., Garashchenko V.V., Turchun O.V. Recovery of adsorption properties of shungite // J. Superhard Mater. 2019. V. 41. P. 221.
- Bukharinova M.A., Khamzina E.I., Stozhko N.Yu., Tarasov A.V. Highly sensitive voltammetric determination of Allura Red (E129) food colourant on a planar carbon fiber sensor modified with shungite // Anal. Chim. Acta. 2023. V. 1272. Article. 341481.
- Kajal N., Singh V., Gupta R., Gautam S. Metal organic frameworks for electrochemical sensor applications: A review // Environ. Res. 2022. V. 204. Article 112320.
- Бузыкин Б.И., Липунова Г.Н., Первова И.Г. Прогресс в химии формазанов. Синтез-свойства-применение. М.: Научный мир, 2009. 296 с.
- Garkani Nejad F., Beitollahi H., Sheikhshoaie I. A UiO-66-NH2 MOF/PAMAM dendrimer nanocomposite for electrochemical detection of tramadol in the presence of acetaminophen in pharmaceutical formulations // Biosensors. 2023. V. 13. Article 514.
- Tajik S., Sharifi F., Aflatoonian B., Di Bartolomeo A. A new electrochemical sensor for the detection of ketoconazole using carbon paste electrode modified with sheaf-like Ce-BTC MOF nanostructure and ionic liquid // Nanomaterials. 2023. V. 13. Article 523.
- Zhao J., Kan Y., Chen Z., Li H., ZhangW. MOFs-modified electrochemical sensors and the application in the detection of opioids // Biosensors. 2023. V. 13. Article 284.
- Ольховикова Н.Б., Русинова Л.И., Шмелев Л.В., Липунова Г.Н., Клюев Н.А., Ельцов А.В. Метилирование 1-арил-3-фенил-5-(бензтиазолил)формазанов // Журн. орг. химии. 1988. Т. 58. С. 1626.
- Бузыкин Б.И., Липунова Г.Н., Сысоева Л.П., Русинова Л.И. Химия формазанов. М.: Наука, 1992. С. 233.
- Tabrizi L., Dao D.Q., Vu T.A. Experimental and theoretical evaluation on the antioxidant activity of a copper(II) complex based on lidocaine and ibuprofen amide-phenanthroline agents // RSC Adv. 2019. V. 9. P. 3320.
- Saad A.S., Al-Alamein A.M. A., Galal M.M., Zaazaa H.E. voltammetric determination of lidocaine and its toxic metabolite in pharmaceutical formulation and milk using carbon paste electrode modified with C18 Silica // J. Electrochem. Soc. 2019. V. 166. P. B103.
- Крылов Ю.Ф., Бобырев В.М. Фармакология. М.: ВУНМЦ МЗ РФ, 1999. 352 с.
- Krishnakumar A., Kumar Mishra R., Kadian S., Zareei A., Heredia Rivera U., Rahimi R. Printed graphene-based electrochemical sensor with integrated paper microfluidics for rapid lidocaine detection in blood // Anal. Chim. Acta. 2022. V. 1229. Article 340332.
- Rahbar N., Ramezani Z., Babapour A. Electro-oxidation mechanism and direct square-wave voltammetric determination of lidocaine with a carbon-paste electrode // Jundishapur J. Nat. Pharm. Prod. 2015. V. 10. Article 19382.
- Nouri-Nigjeh E., Permentier H.P., Bischoff R., Bruins A.P. Lidocaine oxidation by electrogenerated reactive oxygen species in the light of oxidative drug metabolism // Anal. Chem. 2010. V. 82. P. 7625.
- Сурмилло А.С. N-Деалкилирование аминов при обеззараживании воды / Тез. докл. X Всерос. конф. с междунар. участием “Масс-спектрометрия и ее прикладные проблемы”. 2023. Москва. 30 октября–03 ноября 2023. С. 55.
- Oliveira R.T.S., Salazar-Banda G.R., Ferreira V.S., Oliveira S.C., Avaca L.S. Electroanalytical determination of lidocaine in pharmaceutical preparations using boron-doped diamond electrodes // Electroanalysis. 2007. V. 19. P. 1189.
- Burns D.T., Danzer K., Townshend A. Use of the terms “Recovery” and “Apparent recovery” in analytical procedures (IU-752 PAC Recommendations 2002) // Pure Appl. Chem. 2002. V. 74. P. 2201.
Supplementary files















